Acanya Drug Description: Detailed Datasheet
- Generic Name: clindamycin phosphate 1.2% and benzoyl peroxide 2.5%
- Brand Name: Acanya Gel
side effects drug center acanya gel (clindamycin phosphate 1.2% and benzoyl peroxide 2.5%) drug
Drug Description
What is Acanya and how is it used?
Acanya is a prescription medicine used to treat the symptoms of Acne Vulgaris. Acanya may be used alone or with other medications.
Acanya belongs to a class of drugs called Acne Agents, Topical Combos.
It is not known if Acanya is safe and effective in children younger than 12 years of age.
What are the possible side effects of Acanya?
Acanya may cause serious side effects including:
- hives,
- difficulty breathing,
- swelling of your face, lips, tongue, or throat,
- itching,
- lightheadedness,
- severe redness, burning, stinging, or peeling of treated skin areas, and
- diarrhea that is watery or bloody
Get medical help right away, if you have any of the symptoms listed above.
The most common side effects of Acanya include:
- mild burning or stinging,
- itching or tingly feeling,
- dryness or peeling of treaded skin, and
- redness or other irritated skin
Tell the doctor if you have any side effect that bothers you or that does not go away.
These are not all the possible side effects of Acanya. For more information, ask your doctor or pharmacist.
Call your doctor for medical advice about side effects. You may report side effects to FDA at 1-800-FDA-1088.
DESCRIPTION
ACANYA (clindamycin phosphate and benzoyl peroxide) Gel, 1.2%/2.5% is a combination product with two active ingredients in a white to off-white, opaque, smooth, aqueous gel formulation intended for topical use. Clindamycin phosphate is a water-soluble ester of the semi-synthetic antibiotic produced by a 7(S)-chloro-substitution of the 7(R)-hydroxyl group of the parent antibiotic lincomycin.
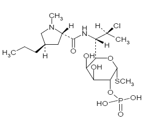
The chemical name for clindamycin phosphate is Methyl 7-chloro-6,7,8-trideoxy-6-(1-methyl-trans-4-propyl-L-2-pyrrolidinecarboxamido)-1-thio-L-threo-α-D-galactooctopyranoside 2-(dihydrogen phosphate). The structural formula for clindamycin phosphate is represented below:
Clindamycin phosphate:
![]() |
Molecular Formula: C18H34ClN2O8PS Molecular Weight: 504.97
Benzoyl peroxide is an antibacterial and keratolytic agent. The structural formula for benzoyl peroxide is represented below:
Benzoyl peroxide:
![]() |
Molecular Formula: C14H10O4 Molecular Weight: 242.23
ACANYA Gel contains the following inactive ingredients: purified water, carbomer 980, propylene glycol, and potassium hydroxide. Each gram of ACANYA Gel contains 1.2% of clindamycin phosphate which is equivalent to 1% clindamycin.
Indications & Dosage
INDICATIONS
ACANYA® Gel is indicated for the topical treatment of acne vulgaris in patients 12 years or older.
DOSAGE AND ADMINISTRATION
Before applying ACANYA Gel, wash your face gently with a mild soap, rinse with warm water, and pat your skin dry. Apply a pea-sized amount of ACANYA Gel to the face once daily. Avoid the eyes, mouth, mucous membranes, or areas of broken skin.
Use of ACANYA Gel beyond 12 weeks has not been evaluated.
Concomitant topical acne therapy should be used with caution because a possible cumulative irritancy effect may occur, especially with the use of peeling, desquamating, or abrasive agents.
ACANYA Gel is not for oral, ophthalmic, or intravaginal use.
HOW SUPPLIED
Dosage Forms And Strengths
Gel, 1.2%/2.5%
Each gram of ACANYA Gel contains 10 mg (1%) clindamycin as phosphate, and 25 mg (2.5%) benzoyl peroxide in a white to off-white, opaque, smooth gel.
ACANYA Gel, 1.2%/2.5% is a white to off-white smooth gel is supplied as:
NDC 13548-132-50 50 g pump
Dispensing Instructions For The Pharmacist
- Dispense ACANYA Gel with a 10-week expiration date.
- Specify “Store at room temperature up to 25°C (77°F). Do not freeze.”
Storage And Handling
- PHARMACIST: Prior to Dispensing: Store in a refrigerator, 2° to 8°C (36° to 46°F).
- PATIENT: Store at room temperature at or below 25°C (77°F).
- Protect from freezing.
- Store pump upright.
- Keep out of the reach of children.
- Keep container tightly closed.
Distributed by: Bausch Health US, LLC Bridgewater, NJ 08807 USA. Manufactured by: Bausch Health Companies Inc. Laval, Quebec H7L 4A8, Canada. Â Revised: Feb 2020
Side Effects & Drug Interactions
SIDE EFFECTS
Clinical Trials Experience
Because clinical trials are conducted under widely varying conditions, adverse reactions observed in the clinical trials of a drug cannot always be directly compared to rates in the clinical trials of another drug and may not reflect the rates observed in practice.
The following selected adverse reactions occurred in less than 0.2% of subjects treated with ACANYA Gel: application site pain (0.1%); application site exfoliation (0.1%); and application site irritation (0.1%).
During clinical trials, subjects were assessed for local cutaneous signs and symptoms of erythema, scaling, itching, burning and stinging. Most local skin reactions increased and peaked around Week 4 and continually decreased over time reaching near baseline levels by Week 12. The percentage of subjects that had symptoms present before treatment, the maximum value recorded during treatment, and the percent with symptoms present at Week 12 are shown in Table 1.
Table 1: Percent of Subjects with Local Skin Reactions. Combined Results from the Two Phase 3 Trials (N = 773)
| Before Treatment (Baseline) | Maximum During Treatment | End of Treatment (Week 12) | |||||||
| Mild | Mod.* | Severe | Mild | Mod.* | Severe | Mild | Mod.* | Severe | |
| Erythema | 22 | 4 | 0 | 25 | 5 | < 1 | 15 | 2 | 0 |
| Scaling | 8 | < 1 | 0 | 18 | 3 | 0 | 8 | 1 | 0 |
| Itching | 10 | 2 | 0 | 15 | 2 | 0 | 6 | < 1 | 0 |
| Burning | 3 | < 1 | 0 | 8 | 2 | 0 | 2 | < 1 | 0 |
| Stinging | 2 | < 1 | 0 | 6 | 1 | 0 | 1 | < 1 | 0 |
| *Mod. = Moderate | |||||||||
Postmarketing Experience
Because these reactions are reported voluntarily from a population of uncertain size, it is not always possible to reliably estimate their frequency or establish a causal relationship to drug exposure.
Anaphylaxis, as well as allergic reactions leading to hospitalizations, has been reported in postmarketing use of products containing clindamycin/benzoyl peroxide.
DRUG INTERACTIONS
Erythromycin
ACANYA Gel should not be used in combination with topical or oral erythromycin-containing products due to its clindamycin component. In vitro studies have shown antagonism between erythromycin and clindamycin. The clinical significance of this in vitro antagonism is not known.
Neuromuscular Blocking Agents
Clindamycin has been shown to have neuromuscular blocking properties that may enhance the action of other neuromuscular blocking agents. Therefore, ACANYA Gel should be used with caution in patients receiving such agents.
Warnings & Precautions
WARNINGS
Included as part of the PRECAUTIONS section.
PRECAUTIONS
Colitis
Systemic absorption of clindamycin has been demonstrated following topical use of clindamycin. Diarrhea, bloody diarrhea, and colitis (including pseudomembranous colitis) have been reported with the use of topical and systemic clindamycin. When significant diarrhea occurs, ACANYA Gel should be discontinued.
Severe colitis has occurred following oral and parenteral administration of clindamycin with an onset of up to several weeks following cessation of therapy. Antiperistaltic agents such as opiates and diphenoxylate with atropine may prolong and/or worsen severe colitis. Severe colitis may result in death.
Studies indicate toxin(s) produced by Clostridia is one primary cause of antibiotic-associated colitis. The colitis is usually characterized by severe persistent diarrhea and severe abdominal cramps and may be associated with the passage of blood and mucus. Stool cultures for Clostridium difficile and stool assay for C. difficile toxin may be helpful diagnostically.
Ultraviolet Light And Environmental Exposure
Minimize sun exposure including use of tanning beds or sun lamps following drug application.
Concomitant Topical Medications
Concomitant topical acne therapy should be used with caution since a possible cumulative irritancy effect may occur, especially with the use of peeling, desquamating, or abrasive agents. If irritancy or dermatitis occurs, reduce frequency of application or temporarily interrupt treatment and resume once the irritation subsides. Treatment should be discontinued if the irritation persists.
Patient Counseling Information
Advise the patient to read the FDA-approved patient labeling (Patient Information).
- Patients who develop allergic reactions such as severe swelling or shortness of breath should discontinue use and contact their physician immediately.
- ACANYA Gel may cause irritation such as erythema, scaling, itching, or burning, especially when used in combination with other topical acne therapies.
- Excessive or prolonged exposure to sunlight should be limited. To minimize exposure to sunlight, a hat or other clothing should be worn. Sunscreen may also be used.
- ACANYA Gel may bleach hair or colored fabric.
Nonclinical Toxicology
Carcinogenesis, Mutagenesis, Impairment Of Fertility
Carcinogenicity, mutagenicity, and impairment of fertility testing of ACANYA Gel have not been performed.
Benzoyl peroxide has been shown to be a tumor promoter and progression agent in a number of animal studies. Benzoyl peroxide in acetone at doses of 5 and 10 mg administered topically twice per week for 20 weeks induced skin tumors in transgenic Tg.AC mice. The clinical significance of this is unknown.
Carcinogenicity studies have been conducted with a gel formulation containing 1% clindamycin and 5% benzoyl peroxide. In a 2-year dermal carcinogenicity study in mice, treatment with the gel formulation at doses of 900, 2700, and 15000 mg/kg/day (1.8, 5.4, and 30 times the MRHD for clindamycin and 3.6, 10.8, and 60 times the MRHD for benzoyl peroxide, respectively, based on BSA comparisons) did not cause any increase in tumors. However, topical treatment with a different gel formulation containing 1% clindamycin and 5% benzoyl peroxide at doses of 100, 500, and 2000 mg/kg/day caused a dose-dependent increase in the incidence of keratoacanthoma at the treated skin site of male rats in a 2-year dermal carcinogenicity study in rats. In an oral (gavage) carcinogenicity study in rats, treatment with the gel formulation at doses of 300, 900, and 3000 mg/kg/day (1.2, 3.6, and 12 times the MRHD for clindamycin and 2.4, 7.2, and 24 times the MRHD for benzoyl peroxide, respectively, based on BSA comparisons) for up to 97 weeks did not cause any increase in tumors.
Clindamycin phosphate was not genotoxic in the human lymphocyte chromosome aberration assay. Benzoyl peroxide has been found to cause DNA strand breaks in a variety of mammalian cell types, to be mutagenic in S. typhimurium tests by some but not all investigators, and to cause sister chromatid exchanges in Chinese hamster ovary cells.
Fertility studies have not been performed with ACANYA Gel or benzoyl peroxide, but fertility and mating ability have been studied with clindamycin. Fertility studies in rats treated orally with up to 300 mg/kg/day of clindamycin (approximately 120 times the MRHD for clindamycin, based on BSA comparisons) revealed no effects on fertility or mating ability.
Use In Specific Populations
Pregnancy
Risk Summary
There are no available data on ACANYA Gel use in pregnant women to evaluate a drug-associated risk of major birth defects, miscarriage, or adverse maternal or fetal outcomes. The limited published data on use of clindamycin in pregnant women with exposure during the first trimester are insufficient to inform a drug-associated risk of pregnancy-related adverse outcomes (see Data). In limited published clinical trials with pregnant women, the systemic administration of clindamycin during the second and third trimesters has not been associated with an increased frequency of major birth defects.
In animal reproduction studies, clindamycin did not cause malformations or embryo-fetal development toxicity in pregnant rats and mice when administered during the period of organogenesis at systemic doses up to 240 times the maximum recommended human dose (MRHD) of 2.5 g ACANYA Gel, based on body surface area (BSA) comparisons (see Data).
The estimated background risk of major birth defects and miscarriage for the indicated population is unknown. All pregnancies have a background risk of major birth defects, loss, and other adverse outcomes. In the U.S. general population, the estimated background risk of major birth defects and miscarriage in clinically recognized pregnancies is 24% and 15-20%, respectively.
Data
Human Data
In limited published trials in pregnant women administered clindamycin during the first trimester of pregnancy, there was no difference in the rate of major birth defects reported among in utero exposed infants compared to unexposed infants. These data cannot definitely establish or exclude any clindamycin-associated risk during pregnancy.
Animal Data
Animal reproductive/developmental toxicity studies have not been conducted with ACANYA Gel or benzoyl peroxide. Developmental toxicity studies of clindamycin performed in pregnant rats and mice administered during the period of organogenesis at oral doses of up to 600 mg/kg/day (240 and 120 times the MRHD for, respectively, based on BSA comparisons) or subcutaneous doses of up to 200 mg/kg/day (80 and 40 times the MRHD for clindamycin, respectively, based on BSA comparisons) revealed no malformations or embryo-fetal development toxicity.
Lactation
Risk Summary
There are no data on the presence of clindamycin or benzoyl peroxide in human milk, the effects on the breastfed child, or the effects on milk production following topical administration. However, clindamycin has been reported to be present in breast milk in small amounts following oral and parenteral administration. The developmental and health benefits of breastfeeding should be considered along with the mother’s clinical need for ACANYA Gel and any potential adverse effects on the breastfed child from ACANYA Gel or from the underlying maternal condition.
Clinical Considerations
If used during lactation and ACANYA Gel is applied to the chest, care should be taken to avoid accidental ingestion by the infant.
Pediatric Use
Safety and effectiveness of ACANYA Gel in pediatric patients under the age of 12 have not been evaluated.
Geriatric Use
Clinical trials of ACANYA Gel did not include sufficient numbers of subjects aged 65 and older to determine whether they respond differently from younger subjects.
Overdosage & Contraindications
OVERDOSE
No Information provided
CONTRAINDICATIONS
Hypersensitivity
ACANYA Gel is contraindicated in those individuals who have shown hypersensitivity to clindamycin, benzoyl peroxide, any components of the formulation, or lincomycin. Anaphylaxis, as well as allergic reactions leading to hospitalization, has been reported in postmarketing use with ACANYA Gel [see Postmarketing Experience].
Colitis/Enteritis
ACANYA Gel is contraindicated in patients with a history of regional enteritis, ulcerative colitis, or antibiotic-associated colitis [see WARNINGS AND PRECAUTIONS].
Clinical Pharmacology
Mechanisms Of Action
Clindamycin
Clindamycin is a lincosamide antibacterial [see Microbiology].
Benzoyl Peroxide
Benzoyl peroxide is an oxidizing agent with bactericidal and keratolytic effects but the precise mechanism of action is unknown.
Pharmacokinetics
The systemic absorption of clindamycin was investigated in an open-label, multiple-dose trial in 16 adult subjects with moderate to severe acne vulgaris treated with 1 gram of ACANYA Gel applied to the face once daily for 30 days. Twelve subjects (75%) had at least one quantifiable clindamycin plasma concentration above the lower limit of quantification (LOQ = 0.5 ng/mL) on Day 1 or Day 30. On Day 1, the mean (± standard deviation) peak plasma concentration (Cmax) was 0.78 ± 0.22 ng/mL (n=9 with measurable concentrations), and the mean AUC0-t was 5.29 ± 0.81 h.ng/mL (n=4). On Day 30, the mean Cmax was 1.22 ± 0.88 ng/mL (n=10), and the mean AUC0-t was 8.42 ± 6.01 h.ng/mL (n=6). Clindamycin plasma concentrations were below LOQ in all subjects at 24 hours post-dose on the three tested days (Day 1, 15, and 30).
Benzoyl peroxide has been shown to be absorbed by the skin where it is converted to benzoic acid.
Microbiology
Clindamycin binds to the 50S ribosomal subunits of susceptible bacteria and prevents elongation of peptide chains by interfering with peptidyl transfer, thereby suppressing bacterial protein synthesis.
Clindamycin and benzoyl peroxide individually have been shown to have in vitro activity against Propionibacterium acnes, an organism which has been associated with acne vulgaris; however, the clinical significance of this activity against P. acnes is not known.
P. acnes resistance to clindamycin has been documented. Resistance to clindamycin is often associated with resistance to erythromycin.
Clinical Studies
The safety and efficacy of once daily use of ACANYA Gel were assessed in two 12-week multi-center, randomized, blinded trials in subjects 12 years and older with moderate to severe acne vulgaris. The two trials were identical in design and compared ACANYA Gel to clindamycin in the vehicle gel, benzoyl peroxide in the vehicle gel, and the vehicle gel alone.
The co-primary efficacy variables were:
- Mean absolute change from baseline at Week 12 in:
- Inflammatory lesion counts
- Non-inflammatory lesion counts
- Percent of subjects who had a 2-grade improvement from baseline on an Evaluator’s Global Severity (EGS) score.
The EGS scoring scale used in all of the clinical trials for ACANYA Gel is as follows:
| Grade | Description |
| Clear | Normal, clear skin with no evidence of acne vulgaris |
| Almost Clear | Rare non-inflammatory lesions present, with rare non-inflamed papules (papules must be resolving and may be hyperpigmented, though not pink-red) |
| Mild | Some non-inflammatory lesions are present, with few inflammatory lesions (papules/pustules only; no nodulocystic lesions) |
| Moderate | Non-inflammatory lesions predominate, with multiple inflammatory lesions evident: several to many comedones and papules/pustules, and there may or may not be one small nodulocystic lesion |
| Severe | Inflammatory lesions are more apparent, many comedones and papules/pustules, there may or may not be a few nodulocystic lesions |
| Very Severe | Highly inflammatory lesions predominate, variable number of comedones, many papules/pustules and many nodulocystic lesions |
The results of Trial 1 at Week 12 are presented in Table 2:
Table 2: Trial 1 Results
| Trial 1 | ACANYA Gel N = 399 | Clindamycin Gel N = 408 | Benzoyl Peroxide Gel N = 406 | Vehicle Gel N = 201 |
| EGSS Clear or Almost Clear | 115 (29%) | 84 (21%) | 76 (19%) | 29 (14%) |
| 2-grade reduction from baseline | 131 (33%) | 100 (25%) | 96 (24%) | 38 (19%) |
| Inflammatory Lesions: | ||||
| Mean absolute change | 14.8 | 12.2 | 13.0 | 9.0 |
| Mean percent (%) reduction | 55.0% | 47.1% | 49.3% | 34.5% |
| Non-Inflammatory Lesions: | ||||
| Mean absolute change | 22.1 | 17.9 | 20.6 | 13.2 |
| Mean percent (%) reduction | 45.3% | 38.0% | 40.2% | 28.6% |
The results of Trial 2 at Week 12 are presented in Table 3:
Table 3: Trial 2 Results
| Trial 2 | ACANYA Gel N = 398 | Clindamycin Gel N = 404 | Benzoyl Peroxide Gel N = 403 | Vehicle Gel N = 194 |
| EGSS Clear or Almost Clear | 113 (28%) | 94 (23%) | 94 (23%) | 21 (11%) |
| 2-grade reduction from baseline | 147 (37%) | 114 (28%) | 114 (28%) | 27 (14%) |
| Inflammatory Lesions: | ||||
| Mean absolute change | 13.7 | 11.3 | 11.2 | 5.7 |
| Mean percent (%) reduction | 54.2% | 45.3% | 45.7% | 23.3% |
| Non-Inflammatory Lesions: | ||||
| Mean absolute change | 19.0 | 14.9 | 15.2 | 8.3 |
| Mean percent (%) reduction | 41.2% | 34.3% | 34.5% | 19.2% |
Medication Guide
PATIENT INFORMATION
ACANYA®
(AH-CAN'-YAH)
(clindamycin phosphate and benzoyl peroxide) gel, 1.2%/2.5%
Important information: ACANYA Gel is for use on skin only (topical use). Do not use ACANYA Gel in your mouth, eyes, or vagina.
What is ACANYA Gel?
ACANYA Gel is a prescription medicine used on the skin (topical) to treat acne vulgaris in people 12 years of age and older.
It is not known if ACANYA Gel is safe and effective for use longer than 12 weeks.
It is not known if ACANYA Gel is safe and effective in children under 12 years of age.
Do not use ACANYA Gel if you have:
- had an allergic reaction to clindamycin, benzoyl peroxide, lincomycin or any of the ingredients in ACANYA Gel. See the end of this leaflet for a complete list of ingredients in ACANYA Gel.
- Crohn's disease or ulcerative colitis.
- had inflammation of the colon (colitis), or severe diarrhea with past antibiotic use. Talk with your doctor if you are not sure if you have any of the conditions listed above.
Before using ACANYA Gel, tell your doctor about all of your medical conditions, including if you:
- plan to have surgery. ACANYA Gel may affect how certain medicines work that may be given during
- surgery.
- are pregnant or plan to become pregnant. It is not known if ACANYA Gel will harm your unborn baby.
- are breastfeeding or plan to breastfeed. It is not known if ACANYA Gel passes into your breast milk. Clindamycin when taken by mouth or by injection has been reported to appear in breast milk. Talk to your doctor about the best way to feed your baby during treatment with ACANYA Gel.
Tell your doctor about all the medicines you take, including prescription and over-the-counter medicines, vitamins and herbal supplements. ACANYA Gel may affect the way other medicines work and other medicines may affect how ACANYA Gel works.
- Especially tell your doctor if you take medicine by mouth that contains erythromycin or use products on your skin that contain erythromycin. ACANYA Gel should not be used with products that contain erythromycin.
- Tell your doctor about any skin products you use. Other skin and topical acne products may increase the irritation of your skin when used with ACANYA Gel.
Know the medicines you take. Keep a list of them and show it to your doctor and pharmacist when you get a new medicine.
How should I use ACANYA Gel?
- Use ACANYA Gel exactly as your doctor tells you to use it. See the detailed “Instructions for Use” for directions about how to apply ACANYA Gel.
- Your doctor will tell you how long to use ACANYA Gel.
- Apply ACANYA Gel to your face 1 time each day.
What should I avoid while using ACANYA Gel?
- Limit your time in sunlight. You should avoid using tanning beds or sunlamps during treatment with ACANYA Gel. If you have to be in sunlight, wear a wide-brimmed hat or other protective clothing, and use sunscreen to cover the treated areas.
- Avoid getting ACANYA Gel in your hair or on colored fabric. ACANYA Gel may bleach hair or colored fabric.
What are possible side effects of ACANYA Gel?
ACANYA Gel can cause serious side effects including:
- Inflammation of the colon (colitis). Stop using ACANYA Gel and call your doctor right away if you have severe stomach (abdominal) cramps, watery diarrhea, or bloody diarrhea during treatment, and within several weeks after treatment with ACANYA Gel.
- Allergic reactions. Stop using ACANYA Gel, call your doctor and get help right away if you have any of the following symptoms during treatment with ACANYA Gel:
- severe itching
- swelling of your face, eyes, lips, tongue or throat
- trouble breathing
The most common side effects of ACANYA Gel include application site pain, application site irritation including redness, itching, burning, and stinging. Stop using ACANYA Gel and call your doctor if you have a skin rash or your skin becomes very red, itchy or swollen. Talk to your doctor about any side effect that bothers you or that does not go away.
These are not all of the possible side effects with ACANYA Gel.
Call your doctor for medical advice about side effects. You may report side effects to FDA at 1-800-FDA-1088.
How should I store ACANYA Gel?
- Store ACANYA Gel at room temperature at or below 77°F (25°C).
- Do not freeze ACANYA Gel.
- Throw away (discard) ACANYA Gel that has passed the expiration date.
- Store pump upright.
- Keep the container tightly closed.
Keep ACANYA Gel and all medicines out of the reach of children.
General information about the safe and effective use of ACANYA Gel.
Medicines are sometimes prescribed for purposes other than those listed in a Patient Information leaflet. Do not use ACANYA Gel for a condition for which it was not prescribed. Do not give ACANYA Gel to other people, even if they have the same condition you have. It may harm them. You can also ask your doctor or pharmacist for information about ACANYA Gel that is written for healthcare professionals.
What are the ingredients in ACANYA Gel?
Active Ingredients: clindamycin phosphate and benzoyl peroxide
Inactive Ingredients: purified water, carbomer 980, propylene glycol, and potassium hydroxide
INSTRUCTIONS FOR USE
ACANYA®
(AH-CAN'-YAH) (clindamycin phosphate and benzoyl peroxide) gel, 1.2%/2.5%
Important Information: ACANYA Gel is for use on skin only (topical use). ACANYA Gel is not for use in yourmouth, eyes or vagina.
Read this Instructions for Use before you start using ACANYA Gel and each time you get a refill. There may be new information. This information does not take the place of talking with your doctor about your medical condition or treatment.
- Apply ACANYA Gel to your face 1 time each day as prescribed.
- Before you apply ACANYA Gel, wash your face gently with a mild soap, rinse with warm water, and pat your skin dry.
- To apply ACANYA Gel to your face, use the pump to dispense one pea-sized amount of ACANYA Gel onto your fingertip. See Figure 1.
- One pea-sized amount of ACANYA Gel should be enough to cover your entire face.
Figure 1
![]() |
- Dot the one pea-sized amount of ACANYA Gel onto six areas of your face (chin, left cheek, right cheek, nose, left forehead, right forehead). See Figure 2.
Figure 2
![]() |
- Spread the gel over your face and gently rub it in. It is important to spread the gel over your entire face. If your doctor tells you to put ACANYA Gel on other areas of your skin with acne, be sure to ask how much you should use.
- Wash your hands with soap and water after applying ACANYA Gel.
How should I store ACANYA Gel?
- Store ACANYA Gel at room temperature at or below 77°F (25°C).
- Do not freeze ACANYA Gel.
- Throw away (discard) ACANYA Gel that has passed the expiration date.
- Store pump upright.
- Keep the container tightly closed.
Keep ACANYA Gel and all medicines out of the reach of children.
The Patient Information and Instructions for Use have been approved by the U.S. Food and Drug Administration.




