Oracea Drug Description: Detailed Datasheet
- Generic Name: doxycycline
- Brand Name: Oracea
- Drug Class: Tetracyclines
side effects drug center oracea (doxycycline) drug
Drug Description
What is Oracea and how is it used?
Oracea is a prescription medicine used to treat the symptoms of various bacterial infections such as acne, urinary tract infections, intestinal infections, eye infections, sexually transmitted infections (gonorrhea, chlamydia), periodontitis and Rickettsial Infections. Oracea may be used alone or with other medications.
Oracea belongs to a class of drugs called Tetracyclines.
It is not known if Oracea is safe and effective in children younger than 8 years of age.
What are the possible side effects of Oracea?
Oracea may cause serious side effects including:
- hives,
- difficulty breathing,
- swelling in your face or throat,
- fever,
- sore throat,
- burning in your eyes,
- skin pain,
- red or purple skin rash that spreads and causes blistering and peeling,
- skin rash,
- swollen glands,
- flu-like symptoms,
- muscle aches,
- severe weakness,
- unusual bruising,
- yellowing of your skin or eyes (jaundice),
- severe stomach pain,
- diarrhea that is watery or bloody,
- throat irritation,
- trouble swallowing,
- chest pain,
- irregular heart rhythm,
- shortness of breath,
- severe headaches,
- ringing in your ears,
- dizziness,
- nausea,
- vision problems,
- pain behind your eyes,
- loss of appetite,
- upper stomach pain that may spread to your back,
- tiredness,
- vomiting,
- fast heart rate,
- dark urine,
- little or no urination,
- chills,
- pale skin, and
- easy bruising or bleeding
Get medical help right away, if you have any of the symptoms listed above.
The most common side effects of Oracea include:
- nausea,
- vomiting,
- upset stomach,
- loss of appetite,
- mild diarrhea,
- skin rash or itching,
- darkened skin color, and
- vaginal itching or discharge
Tell the doctor if you have any side effect that bothers you or that does not go away.
These are not all the possible side effects of Oracea. For more information, ask your doctor or pharmacist.
Call your doctor for medical advice about side effects. You may report side effects to FDA at 1-800-FDA-1088.
DESCRIPTION
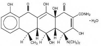
ORACEA (doxycycline, USP) Capsules 40 mg are hard gelatin capsule shells filled with two types of doxycycline beads (30 mg immediate release and 10 mg delayed release) that together provide a dose of 40 mg of anhydrous doxycycline (C22H24N2O8). The structural formula of doxycycline, USP is:
![]() |
with an empirical formula of C22H24N2O8•H2O and a molecular weight of 462.46. The chemical designation for doxycycline is 2-Naphthacenecarboxamide,4-(dimethylamino)-1,4,4a,5,5a,6,11,12a-octahydro-3,5,10,12,12a-pentahydroxy-6-methyl-1,11-dioxo-, [4S-(4α, 4aα, 5α, 5aα, 6α,12aα)]-, monohydrate. It is very slightly soluble in water. Inert ingredients in the formulation are: hypromellose, iron oxide red, iron oxide yellow, methacrylic acid copolymer, polyethylene glycol, Polysorbate 80, sugar spheres, talc, titanium dioxide, and triethyl citrate. Active ingredients: Each capsule contains doxycycline, USP in an amount equivalent to 40 mg of anhydrous doxycycline.
Indications
Indication
ORACEA is indicated for the treatment of only inflammatory lesions (papules and pustules) of rosacea in adult patients. No meaningful effect was demonstrated for generalized erythema (redness) of rosacea.
Limitations of Use
This formulation of doxycycline has not been evaluated in the treatment or prevention of infections. ORACEA should not be used for treating bacterial infections, providing antibacterial prophylaxis, or reducing the numbers or eliminating microorganisms associated with any bacterial disease. To reduce the development of drug-resistant bacteria as well as to maintain the effectiveness of other antibacterial drugs, ORACEA should be used only as indicated.
Efficacy of ORACEA beyond 16 weeks and safety beyond 9 months have not been established.
ORACEA has not been evaluated for the treatment of the erythematous, telangiectatic, or ocular components of rosacea.
Dosage
DOSAGE AND ADMINISTRATION
General Dosing Information
One ORACEA Capsule (40 mg) should be taken once daily in the morning on an empty stomach, preferably at least one hour prior to or two hours after meals. Administration of adequate amounts of fluid along with the capsules is recommended to wash down the capsule to reduce the risk of esophageal irritation and ulceration [see ADVERSE REACTIONS].
Important Considerations for Dosing Regimen
The dosage of ORACEA differs from that of doxycycline used to treat infections. Exceeding the recommended dosage may result in an increased incidence of side effects including the development of resistant organisms.
HOW SUPPLIED
Dosage Forms And Strengths
40 mg beige opaque capsule imprinted with “GLD 40”
Storage And Handling
ORACEA (beige opaque capsule imprinted with “GLD 40”) containing doxycycline, USP in an amount equivalent to 40 mg of anhydrous doxycycline. Bottle of 30 (NDC 0299-3822-30).
Storage
All products are to be stored at controlled room temperatures of 15°C - 30°C (59°F - 86°F) and dispensed in tight, light-resistant containers (USP). Keep out of reach of children
Revised: 07/2013. Marketed by: Galderma Laboratories, L.P. Fort Worth, Texas 76177 USA. Manufactured by: Catalent Pharma Solutions, LLC Winchester, Kentucky 40391 USA. Revised: 07/2013
Side Effects
Clinical Trials Experience
Because clinical trials are conducted under widely varying conditions, adverse reaction rates observed in the clinical trials of a drug cannot be directly compared to rates in the clinical trials of another drug and may not reflect the rates observed in practice.
Adverse Reactions in Clinical Trials of ORACEA
In controlled clinical trials of adult subjects with mild to moderate rosacea, 537 subjects received ORACEA or placebo over a 16-week period. The following table summarizes selected adverse reactions that occurred in the clinical trials at a rate of ≥ 1% for the active arm:
Table 1: Incidence (%) of Selected Adverse Reactions
in Clinical Trials of ORACEA (n=269) vs. Placebo (n=268)
| ORACEA | Placebo | |
| Nasopharyngitis | 13 (5) | 9 (3) |
| Pharyngolaryngeal Pain | 3 (1) | 2 (1) |
| Sinusitis | 7 (3) | 2 (1) |
| Nasal Congestion | 4 (2) | 2 (1) |
| Fungal Infection | 5 (2) | 1 (0) |
| Influenza | 5 (2) | 3 (1) |
| Diarrhea | 12 (5) | 7 (3) |
| Abdominal Pain Upper | 5 (2) | 1 (0) |
| Abdominal Distention | 3 (1) | 1 (0) |
| Abdominal Pain | 3 (1) | 1 (0) |
| Stomach Discomfort | 3 (1) | 2 (1) |
| Dry Mouth | 3 (1) | 0 (0) |
| Hypertension | 8 (3) | 2 (1) |
| Blood Pressure Increase | 4 (2) | 1 (0) |
| Aspartate Aminotransferase Increase | 6 (2) | 2 (1) |
| Blood Lactate Dehydrogenase Increase | 4 (2) | 1 (0) |
| Blood Glucose Increase | 3 (1) | 0 (0) |
| Anxiety | 4 (2) | 0 (0) |
| Pain | 4 (2) | 1 (0) |
| Back Pain | 3 (1) | 0 (0) |
| Sinus Headache | 3 (1) | 0 (0) |
Note: Percentages based on total number of study participants in each treatment group.
Adverse Reactions for Tetracyclines
The following adverse reactions have been observed in patients receiving tetracyclines at higher, antimicrobial doses:
Gastrointestinal: anorexia, nausea, vomiting, diarrhea, glossitis, dysphagia, enterocolitis, and inflammatory lesions (with vaginal candidiasis) in the anogenital region. Hepatotoxicity has been reported rarely. Rare instances of esophagitis and esophageal ulcerations have been reported in patients receiving the capsule forms of the drugs in the tetracycline-class. Most of the patients experiencing esophagitis and/or esophageal ulceration took their medication immediately before lying down [see DOSAGE AND ADMINISTRATION].
Skin: maculopapular and erythematous rashes. Exfoliative dermatitis has been reported but is uncommon. Photosensitivity is discussed above [see WARNINGS AND PRECAUTIONS].
Renal toxicity: Rise in BUN has been reported and is apparently dose-related [see WARNINGS AND PRECAUTIONS]. Hypersensitivity reactions: urticaria, angioneurotic edema, anaphylaxis, anaphylactoid purpura, serum sickness, pericarditis, and exacerbation of systemic lupus erythematosus. Blood: Hemolytic anemia, thrombocytopenia, neutropenia, and eosinophilia have been reported.
Postmarketing Experience
Because these reactions are reported voluntarily from a population of uncertain size, it is not always possible to reliably estimate their frequency or establish a causal relationship to drug exposure. The following adverse reactions have been identified during post approval use of ORACEA.
- Nervous system: Pseudotumor cerebri (benign intracranial hypertension), headache.
Drug Interactions
Anticoagulants
Because tetracyclines have been shown to depress plasma prothrombin activity, patients who are on anticoagulant therapy may require downward adjustment of their anticoagulant dosage.
Penicillin
Since bacteriostatic drugs may interfere with the bactericidal action of penicillin, it is advisable to avoid giving tetracycline-class drugs in conjunction with penicillin.
Methoxyflurane
The concurrent use of tetracycline and methoxyflurane has been reported to result in fatal renal toxicity.
Antacids and Iron Preparations
Absorption of tetracyclines is impaired by bismuth subsalicylate, proton pump inhibitors, antacids containing aluminum, calcium or magnesium and iron-containing preparations.
Low Dose Oral Contraceptives
Doxycycline may interfere with the effectiveness of low dose oral contraceptives. To avoid contraceptive failure, females are advised to use a second form of contraceptive during treatment with doxycycline.
Oral Retinoids
There have been reports of pseudotumor cerebri (benign intracranial hypertension) associated with the concomitant use of isotretinoin and tetracyclines. Since both oral retinoids, including isotretinoin and acitretin, and the tetracyclines, primarily minocycline, can cause increased intracranial pressure, the concurrent use of an oral retinoid and a tetracycline should be avoided.
Barbiturates and Anti-epileptics
Barbiturates, carbamazepine, and phenytoin decrease the half-life of doxycycline.
Drug/Laboratory Test Interactions
False elevations of urinary catecholamine levels may occur due to interference with the fluorescence test.
Warnings & Precautions
WARNINGS
Included as part of the PRECAUTIONS section.
PRECAUTIONS
Teratogenic Effects
ORACEA should not be used during pregnancy. Doxycycline, like other tetracycline-class antibiotics, can cause fetal harm when administered to a pregnant woman. If any tetracycline is used during pregnancy or if the patient becomes pregnant while taking these drugs, the patient should be informed of the potential hazard to the fetus and treatment stopped immediately.
The use of drugs of the tetracycline-class during tooth development (last half of pregnancy, infancy, and childhood up to the age of 8 years) may cause permanent discoloration of the teeth (yellow-gray-brown). This adverse reaction is more common during long-term use of the drug but has been observed following repeated short-term courses. Enamel hypoplasia has also been reported. Tetracycline drugs, therefore, should not be used during tooth development unless other drugs are not likely to be effective or are contraindicated.
All tetracyclines form a stable calcium complex in any bone-forming tissue. A decrease in fibula growth rate has been observed in premature human infants given oral tetracycline in doses of 25 mg/kg every 6 hours. This reaction was shown to be reversible when the drug was discontinued. Results of animal studies indicate that tetracyclines cross the placenta, are found in fetal tissues, and can cause retardation of skeletal development on the developing fetus. Evidence of embryotoxicity has been noted in animals treated early in pregnancy.
Pseudomembranous Colitis
Clostridium difficile associated diarrhea (CDAD) has been reported with nearly all antibacterial agents, including doxycycline, and may range in severity from mild to fatal colitis.
Treatment with antibacterial agents alters the normal flora of the colon leading to overgrowth of C. difficile.
C. difficile produces toxins A and B which contribute to the development of CDAD. Hypertoxin producing strains of C. difficile cause increased morbidity and mortality, as these infections can be refractory to antimicrobial therapy and may require colectomy. CDAD must be considered in all patients who present with diarrhea following antibiotic use. Careful medical history is necessary since CDAD has been reported to occur over two months after the administration of antibacterial agents.
If CDAD is suspected or confirmed, ongoing antibiotic use not directed against C. difficile may need to be discontinued. Appropriate fluid and electrolyte management, protein supplementation, antibiotic treatment of C. difficile, and surgical evaluation should be instituted as clinically indicated.
Metabolic Effects
The anti-anabolic action of the tetracyclines may cause an increase in BUN. While this is not a problem in those with normal renal function, in patients with significantly impaired function, higher serum levels of tetracycline-class antibiotics may lead to azotemia, hyperphosphatemia, and acidosis. If renal impairment exists, even usual oral or parenteral doses may lead to excessive systemic accumulations of the drug and possible liver toxicity. Under such conditions, lower than usual total doses are indicated, and if therapy is prolonged, serum level determinations of the drug may be advisable.
Photosensitivity
Photosensitivity manifested by an exaggerated sunburn reaction has been observed in some individuals taking tetracyclines. Although this was not observed during the duration of the clinical studies with ORACEA, patients should minimize or avoid exposure to natural or artificial sunlight (tanning beds or UVA/B treatment) while using ORACEA. If patients need to be outdoors while using ORACEA, they should wear loose-fitting clothes that protect skin from sun exposure and discuss other sun protection measures with their physician.
Autoimmune Syndromes
Tetracyclines have been associated with the development of autoimmune syndromes. Symptoms may be manifested by fever, rash, arthralgia, and malaise. In symptomatic patients, liver function tests, ANA, CBC, and other appropriate tests should be performed to evaluate the patients. Use of all tetracycline-class drugs should be discontinued immediately.
Tissue Hyperpigmentation
Tetracycline-class drugs are known to cause hyperpigmentation. Tetracycline therapy may induce hyperpigmentation in many organs, including nails, bone, skin, eyes, thyroid, visceral tissue, oral cavity (teeth, mucosa, alveolar bone), sclerae and heart valves. Skin and oral pigmentation has been reported to occur independently of time or amount of drug administration, whereas other pigmentation has been reported to occur upon prolonged administration. Skin pigmentation includes diffuse pigmentation as well as over sites of scars or injury.
Pseudotumor cerebri
Pseudotumor cerebri (benign intracranial hypertension) in adults has been associated with the use of tetracyclines. The usual clinical manifestations are headache and blurred vision. Bulging fontanels have been associated with the use of tetracyclines in infants. While both of these conditions and related symptoms usually resolve after discontinuation of the tetracycline, the possibility for permanent sequelae exists. Patients should be questioned for visual disturbances prior to initiation of treatment with tetracyclines and should be routinely checked for papiledema while on treatment.
Development of Drug Resistant Bacteria
Bacterial resistance to tetracyclines may develop in patients using ORACEA. Because of the potential for drug-resistant bacteria to develop during the use of ORACEA, it should only be used as indicated.
Superinfection
As with other antibiotic preparations, use of ORACEA may result in overgrowth of non-susceptible microorganisms, including fungi. If superinfection occurs, ORACEA should be discontinued and appropriate therapy instituted. Although not observed in clinical trials with ORACEA, the use of tetracyclines may increase the incidence of vaginal candidiasis. ORACEA should be used with caution in patients with a history of or predisposition to Candida overgrowth.
Laboratory Monitoring
Periodic laboratory evaluations of organ systems, including hematopoietic, renal and hepatic studies should be performed. Appropriate tests for autoimmune syndromes should be performed as indicated.
Patient Counseling Information
See FDA-approved patient labeling (PATIENT INFORMATION)
Patients taking ORACEA Capsules 40 mg should receive the following information and instructions:
- It is recommended that ORACEA not be used by individuals of either gender who are attempting to conceive a child
- It is recommended that ORACEA not be used by pregnant or breast feeding women
- Patients should be advised that pseudomembranous colitis can occur with doxycycline therapy. If patients develop watery or bloody stools, they should seek medical attention.
- Patients should be advised that pseudotumor cerebri can occur with doxycycline therapy. If patients experience headache or blurred vision they should seek medical attention.
- Photosensitivity manifested by an exaggerated sunburn reaction has been observed in some individuals taking tetracyclines, including doxycycline. Patients should minimize or avoid exposure to natural or artificial sunlight (tanning beds or UVA/B treatment) while using doxycycline. If patients need to be outdoors while using doxycycline, they should wear loose-fitting clothes that protect skin from sun exposure and discuss other sun protection measures with their physician. Treatment should be discontinued at the first evidence of sunburn.
- Concurrent use of doxycycline may render oral contraceptives less effective.
- Autoimmune syndromes, including drug-induced lupus-like syndrome, autoimmune hepatitis, vasculitis and serum sickness have been observed with tetracycline-class drugs, including doxycycline. Symptoms may be manifested by arthralgia, fever, rash and malaise. Patients who experience such symptoms should be cautioned to stop the drug immediately and seek medical help.
- Patients should be counseled about discoloration of skin, scars, teeth or gums that can arise from doxycycline therapy.
- Take ORACEA exactly as directed. Increasing doses beyond 40 mg every morning may increase the likelihood that bacteria will develop resistance and will not be treatable by other antibacterial drugs in the future.
Nonclinical Toxicology
Carcinogenesis, Mutagenesis, Impairment of Fertility
Doxycycline was assessed for potential to induce carcinogenesis in a study in which the compound was administered to Sprague-Dawley rats by gavage at dosages of 20, 75, and 200 mg/kg/day for two years. An increased incidence of uterine polyps was observed in female rats that received 200 mg/kg/day, a dosage that resulted in a systemic exposure to doxycycline approximately 12.2 times that observed in female humans who use ORACEA [exposure comparison based upon area under the curve (AUC) values]. No impact upon tumor incidence was observed in male rats up to at 200 mg/kg/day, or in females at the lower dosages studied.
Doxycyline was assessed for potential to induce carcinogenesis in CD-1 mice by gavage at dosages 20, 75, and 150 mg/kg/day in males and at dosages of 20, 100, and 300 mg/kg/day in females. No impact upon tumor incidence was observed in male and female mice at systemic exposures approximately 4.2 and 8.3 times that observed in humans, respectively.
Doxycycline demonstrated no potential to cause genetic toxicity in an in vitro point mutation study with mammalian cells (CHO/HGPRT forward mutation assay) or in an in vivo micronucleus assay conducted in CD-1 mice. However, data from an in vitro mammalian chromosomal aberration assay conducted with CHO cells suggest that doxycycline is a weak clastogen. Oral administration of doxycycline to male and female Sprague-Dawley rats adversely affected fertility and reproductive performance, as evidenced by increased time for mating to occur, reduced sperm motility, velocity, and concentration, abnormal sperm morphology, and increased pre-and post-implantation losses. Doxycycline induced reproductive toxicity at all dosages that were examined in this study, as even the lowest dosage tested (50 mg/kg/day) induced a statistically significant reduction in sperm velocity. Note that 50 mg/kg/day is approximately 3.6 times the amount of doxycycline contained in the recommended daily dose of ORACEA when compared on the basis of AUC estimates. Although doxycycline impairs the fertility of rats when administered at sufficient dosage, the effect of ORACEA on human fertility is unknown.
Use In Specific Populations
Pregnancy
Teratogenic Effects
Pregnancy Category D [see WARNINGS AND PRECAUTIONS]. Results from animal studies indicate that doxycycline crosses the placenta and is found in fetal tissues.
Nursing Mothers
Tetracyclines are excreted in human milk. Because of the potential for serious adverse reactions in infants from doxycycline, ORACEA should not be used in mothers who breastfeed.
Pediatric Use
ORACEA should not be used in infants and children less than 8 years of age [see WARNINGS AND PRECAUTIONS]. ORACEA has not been studied in children of any age with regard to safety or efficacy, therefore use in children is not recommended.
Geriatric Use
Clinical studies of ORACEA did not include sufficient numbers of subjects aged 65 and over to determine whether they respond differently from younger subjects. Other reported clinical experience has not identified differences in responses between elderly and younger patients. In general, dose selection for an elderly patient should be cautious, usually starting at the low end of the dosing range, reflecting the greater frequency of decreased hepatic, renal, or cardiac function, and concomitant disease or other drug therapy.
IMAGES
See Images
Overdosage & Contraindications
OVERDOSE
In case of overdosage, discontinue medication, treat symptomatically, and institute supportive measures. Dialysis does not alter serum half-life and thus would not be of benefit in treating cases of overdose.
CONTRAINDICATIONS
This drug is contraindicated in persons who have shown hypersensitivity to doxycycline or any of the other tetracyclines.
Clinical Pharmacology
Mechanism of Action
The mechanism of action of ORACEA in the treatment of inflammatory lesions of rosacea is unknown.
Pharmacokinetics
ORACEA capsules are not bioequivalent to other doxycycline products. The pharmacokinetics of doxycycline following oral administration of ORACEA was investigated in 2 volunteer studies involving 61 adults. Pharmacokinetic parameters for ORACEA following single oral doses and at steady-state in healthy subjects are presented in Table 2.
Table 2: Pharmacokinetic Parameters [Mean (±SD)] for
ORACEA
| N | Cmax* (ng/mL) | Tmax+ (hr) | AUC0-∞ * (ng•hr/mL) | t½* (hr) | |
| Single Dose 40 mg capsules | 30 | 510 ± 220.7 | 3.00 (1.0-4.1) | 9227± 3212.8 | 21.2 ± 7.6 |
| Steady-State# 40 mg capsules | 31 | 600 ± 194.2 | 2.00 (1.0-4.0) | 7543 ± 2443.9 | 23.2 ± 6.2 |
| *Mean +Median #Day 7 | |||||
Absorption
In a single-dose food-effect study involving administration of ORACEA to healthy volunteers, concomitant administration with a 1000 calorie, high-fat, high-protein meal that included dairy products, resulted in a decrease in the rate and extent of absorption (Cmax and AUC) by about 45% and 22%, respectively, compared to dosing under fasted conditions. This decrease in systemic exposure can be clinically significant, and therefore if ORACEA is taken close to meal times, it is recommended that it be taken at least one hour prior to or two hours after meals.
Distribution
Doxycycline is greater than 90% bound to plasma proteins.
Metabolism
Major metabolites of doxycycline have not been identified. However, enzyme inducers such as barbiturates, carbamazepine, and phenytoin decrease the half-life of doxycycline.
Excretion
Doxycycline is excreted in the urine and feces as unchanged drug. It is reported that between 29% and 55.4% of an administered dose can be accounted for in the urine by 72 hours. Terminal half-life averaged 21.2 hours in subjects receiving a single dose of ORACEA.
Special Populations
Geriatric: Doxycycline pharmacokinetics have not been evaluated in geriatric patients.
Pediatric: Doxycycline pharmacokinetics have not been evaluated in pediatric patients [see WARNINGS AND PRECAUTIONS].
Gender: The pharmacokinetics of ORACEA were compared in 16 male and 14 female subjects under fed and fasted conditions. While female subjects had a higher Cmax and AUC than male subjects, these differences were thought to be due to differences in body weight/lean body mass.
Race: Differences in doxycycline pharmacokinetics among racial groups have not been evaluated.
Renal Insufficiency: Studies have shown no significant difference in serum half-life of doxycycline in patients with normal and severely impaired renal function. Hemodialysis does not alter the serum half-life of doxycycline.
Hepatic Insufficiency: Doxycycline pharmacokinetics have not been evaluated in patients with hepatic insufficiency.
Gastric Insufficiency: In a study in healthy volunteers (N=24) the bioavailability of doxycycline is reported to be reduced at high pH. This reduced bioavailability may be clinically significant in patients with gastrectomy, gastric bypass surgery or who are otherwise deemed achlorhydric.
Drug Interactions
[see DRUG INTERACTIONS].
Microbiology
Doxycycline is a member of the tetracycline-class of drugs. The plasma concentrations of doxycycline achieved with ORACEA during administration [see CLINICAL PHARMACOLOGY and DOSAGE AND ADMINISTRATION] are less than the concentration required to treat bacterial diseases. ORACEA should not be used for treating bacterial infections, providing antibacterial prophylaxis, or reducing the numbers or eliminating microorganisms associated with any bacterial disease [see INDICATIONS AND USAGE]. In vivo microbiological studies utilizing a similar drug exposure for up to 18 months demonstrated no detectable long term effects on bacterial flora of the oral cavity, skin, intestinal tract and vagina.
Clinical Studies
The safety and efficacy of ORACEA in the treatment of only inflammatory lesions (papules and pustules) of rosacea was evaluated in two randomized, placebo-controlled, multi-centered, double-blind, 16-week Phase 3 trials involving 537 subjects (total of 269 subjects on ORACEA from the two trials) with rosacea (10 to 40 papules and pustules and two or fewer nodules). Pregnant and nursing women, subjects < 18 years of age, and subjects with ocular rosacea and/or blepharitis/meibomianitis who require ophthalmologic treatment were excluded from trial. Mean baseline lesion counts were 20 and 21 for ORACEA and placebo subject groups respectively.
At Week 16, subjects in the ORACEA group were evaluated using co-primary endpoints of mean reduction in lesion counts and a dichotomized static Investigator's Global Assessment of Clear or Almost Clear (defined as 1 to 2 small papules or pustules) when compared to the placebo group in both Phase 3 trials.
Table 3: Clinical Results of ORACEA versus Placebo
| Study 1 | Study 2 | |||
| ORACEA | Placebo | ORACEA | Placebo | |
| 40 mg N=127 |
N=124 | 40 mg N=142 |
N=144 | |
| Mean Change in Lesion Count from Baseline | -11.8 | -5.9 | -9.5 | -4.3 |
| No. (%) of Subjects Clear or Almost Clear in the IGA* | 39 (30.7%) | 24 (19.4%) | 21 (14.8%) | 9 (6.3%) |
| *Investigator's Global Assessment | ||||
Subjects treated with ORACEA did not demonstrate significant improvement in erythema when compared to those treated with placebo.
Medication Guide
PATIENT INFORMATION
ORACEA
(Or-RAY-sha)
(doxycycline) capsules
Read this Patient Information before you start taking ORACEA and each time you get a refill. There may be new information. This information does not take the place of talking to your doctor about your medical condition or treatment.
What is ORACEA?
ORACEA is a tetracycline class medicine. ORACEA is a prescription medicine used in adults to treat only pimples or bumps (papules and pustules) caused by a condition called rosacea. ORACEA does not lessen redness caused by rosacea. ORACEA should not be used for the treatment or prevention of infections. It is not known if ORACEA is:
- effective for use for longer than 16 weeks.
- safe for use longer than 9 months.
- safe and effective in children. ORACEA should not be used in infants and children less than 8 years of age because it may cause stained teeth in infants and children.
Who should not take ORACEA?
Do not take ORACEA if you are allergic to doxycycline or other medicines in the tetracycline class. Ask your doctor or pharmacist for a list of these medicines if you are not sure.
What should I tell my doctor before taking ORACEA?
Before you take ORACEA tell your doctor if you:
- have kidney problems.
- have liver problems.
- have diarrhea or watery stools.
- have vision problems.
- have had surgery on your stomach (gastric surgery).
- have or had a yeast or fungal infection in your mouth or vagina.
- have any other medical condition.
- are pregnant or plan to become pregnant. ORACEA may harm your unborn baby. Taking ORACEA while you are pregnant may cause serious side effects on the growth of bone and teeth of your baby. Stop taking ORACEA and call your doctor right away if you become pregnant while taking ORACEA.
- are breastfeeding or plan to breastfeed. ORACEA can pass into your breast milk and may harm your baby. Talk to your doctor about the best way to feed your baby if you take ORACEA. You and your doctor should decide if you will take ORACEA or breastfeed. You should not do both.
You should not take ORACEA if you are a male with a female sexual partner who plans to become pregnant at any time while you are being treated with ORACEA.
Tell your doctor about all of the medicines you take, including prescription and non-prescription medicines, vitamins, and herbal supplements. ORACEA and other medicines can affect each other causing serious side effects.
Especially tell your doctor if you take:
birth control pills. ORACEA may reduce the effectiveness of birth control pills. Talk to your doctor about what types of birth control you can use to prevent pregnancy while taking ORACEA.
- a blood thinner medicine.
- a penicillin (antibacterial medicine).
- proton pump inhibitors or antacids that contain aluminum, calcium, or magnesium.
- products containing iron or bismuth subsalicylate.
- a medicine taken by mouth that contains isotretinoin or acitretin.
- a medicine to treat seizures, such as carbamazepineor or phenytoin.
Ask your doctor or pharmacist for a full list of these medicines, if you are not sure.
Know the medicines you take. Keep a list of your medicines and show it to your doctor and pharmacist when you get a new medicine.
How should I take ORACEA?
- Take ORACEA exactly as prescribed by your doctor. Taking more than your prescribed dose may increase your chance of side effects, including the chance that bacteria will become resistant to ORACEA.
- Take ORACEA 1 time a day in the morning on an empty stomach.
- You should take ORACEA at least one hour before or two hours after a meal.
- Take ORACEA with enough fluid to completely swallow the capsule and to lower your risk of getting irritation or ulcer in your esophagus. Your esophagus is the tube that connects your mouth to your stomach.
- If you took too much ORACEA call your doctor right away.
- Your doctor may do blood tests during treatment with ORACEA to check for side effects.
What should I avoid while taking ORACEA?
Avoid sunlight or artificial sunlight, such as a tanning booth or sunlamp. You could get severe sunburn. Use sunscreen and wear clothes that cover your skin while out in sunlight.
What are the possible side effects of ORACEA?
ORACEA may cause serious side effects, including:
- Harm to an unborn baby. See “What should I tell my doctor before taking ORACEA?”
- Permanent teeth discoloration. ORACEA may permanently turn a baby or child's teeth yellow-grey-brown during tooth development. ORACEA should not be used during tooth development. Tooth development happens in the last half of pregnancy, and from birth to 8 years of age. See “What should I tell my doctor before taking ORACEA?”
- Intestine infection (pseudomembranous colitis). Pseudomembranous colitis can happen with most antibiotics, including ORACEA. Call your doctor right away if you get diarrhea or bloody stools.
- Immune system reactions including a lupus-like syndrome, hepatitis, and inflammation of blood or lymph vessels (vasculitis). Stop taking ORACEA and tell your doctor right away if you get joint pain, fever, rash, or body weakness.
- Discoloration (hyperpigmentation). ORACEA can cause darkening of your skin, scars, teeth, gums, nails, and whites of your eyes.
- Benign intracranial hypertension, also called pseudotumor cerebri. This is a condition where there is high pressure in the fluid around the brain. This swelling may lead to vision changes and permanent vision loss. Stop taking ORACEA and tell your doctor right away if you have blurred vision, vision loss, or unusual headaches.
The most common side effects of ORACEA include:

