Clindamycin Drug Description: Detailed Datasheet
- Generic Name: clindamycin
- Brand Name: Cleocin
- Drug Class: Antibiotics, Lincosamide
side effects drug center cleocin (clindamycin) drug
Drug Description
What is Clindam (clindamycin) and how is it used?
Clindam (clindamycin) is a prescription antibiotic medication used to treat serious infections caused by anaerobic bacteria. Clindamycin may be used alone or with other medications.
Clindam (clindamycin) is an antibiotic, lincosamide drug class.
What are the possible side effects of Clindam (clindamycin)?
Clindam (clindamycin) may cause serious side effects including:
- any changes in bowel habits,
- severe stomach pain,
- diarrhea that is watery or bloody,
- little or no urination, and
- metallic taste in your mouth (after injecting Clindamycin)
Get medical help right away, if you have any of the symptoms listed above.
The most common side effects of Clindam (clindamycin) include:
- nausea,
- vomiting,
- stomach pain,
- mild skin rash, and
- vaginal itching or discharge
Get medical help right away, if you have any of the symptoms listed above.
These are not all the possible side effects of Clindamycin. For more information, ask your doctor or pharmacist.
Call your doctor for medical advice about side effects. You may report side effects to FDA at 1-800-FDA-1088.
To reduce the development of drug-resistant bacteria and maintain the effectiveness of CLEOCIN HCl and other antibacterial drugs, CLEOCIN HCl should be used only to treat or prevent infections that are proven or strongly suspected to be caused by bacteria.
WARNING
Clostridium difficile associated diarrhea (CDAD) has been reported with the use of nearly all antibacterial agents, including CLEOCIN HCl and may range in severity from mild diarrhea to fatal colitis. Treatment with antibacterial agents alters the normal flora of the colon, leading to overgrowth of C. difficle.
Because CLEOCIN HCl therapy has been associated with severe colitis which may end fatally, it should be reserved for serious infections where less toxic antimicrobial agents are inappropriate, as described in the INDICATIONS AND USAGE section. It should not be used in patients with nonbacterial infections such as most upper respiratory tract infections.
C. difficile produces toxins A and B, which contribute to the development of CDAD. Hypertoxin producing strains of C. difficile cause increased morbidity and mortality, as these infections can be refractory to antimicrobial therapy and may require colectomy. CDAD must be considered in all patients who present with diarrhea following antibiotic use. Careful medical history is necessary since CDAD has been reported to occur over two months after the administration of antibacterial agents.
If CDAD is suspected or confirmed, ongoing antibiotic use not directed against C. difficile may need to be discontinued. Appropriate fluid and electrolyte management, protein supplementation, antibiotic treatment of C. difficile, and surgical evaluation should be instituted as clinically indicated.
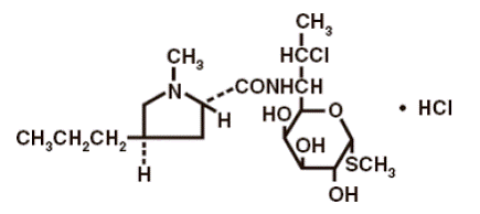
DESCRIPTION
Clindamycin hydrochloride is the hydrated hydrochloride salt of clindamycin. Clindamycin is a semisynthetic antibiotic produced by a 7(S)-chloro-substitution of the 7(R)-hydroxyl group of the parent compound lincomycin.
CLEOCIN HCl Capsules contain clindamycin hydrochloride equivalent to 75 mg, 150 mg, or 300 mg of clindamycin.
Inactive ingredients:
- 75 mg - corn starch, FD&C blue no. 1, FD&C yellow no. 5, gelatin, lactose, magnesium stearate, and talc;
- 150 mg - corn starch, FD&C blue no. 1, FD&C yellow no. 5, gelatin, lactose, magnesium stearate, talc and titanium dioxide;
- 300 mg - corn starch, FD&C blue no. 1, gelatin, lactose, magnesium stearate, talc, and titanium dioxide.
The structural formula is represented below:
![]() |
The chemical name for clindamycin hydrochloride is Methyl 7-chloro-6,7,8-trideoxy-6Â(1-methyl-trans-4-propyl-L-2-pyrrolidinecarboxamido)-1-thio-L-threo-α-D-galactoÂoctopyranoside monohydrochloride.
Indications
Clindamycin is indicated in the treatment of serious infections caused by susceptible anaerobic bacteria.
Clindamycin is also indicated in the treatment of serious infections due to susceptible strains of streptococci, pneumococci, and staphylococci. Its use should be reserved for penicillin-allergic patients or other patients for whom, in the judgment of the physician, a penicillin is inappropriate. Because of the risk of colitis, as described in the BOXED WARNING, before selecting clindamycin, the physician should consider the nature of the infection and the suitability of less toxic alternatives (e.g., erythromycin).
Anaerobes
Serious respiratory tract infections such as empyema, anaerobic pneumonitis, and lung abscess; serious skin and soft tissue infections; septicemia; intraÂabdominal infections such as peritonitis and intra-abdominal abscess (typically resulting from anaerobic organisms resident in the normal gastrointestinal tract); infections of the female pelvis and genital tract such as endometritis, nongonococcal tubo-ovarian abscess, pelvic cellulitis, and postsurgical vaginal cuff infection.
Streptococci
Serious respiratory tract infections; serious skin and soft tissue infections.
Staphylococci
Serious respiratory tract infections; serious skin and soft tissue infections.
Pneumococci
Serious respiratory tract infections.
Bacteriologic studies should be performed to determine the causative organisms and their susceptibility to clindamycin.
To reduce the development of drug-resistant bacteria and maintain the effectiveness of CLEOCIN HCl and other antibacterial drugs, CLEOCIN HCl should be used only to treat or prevent infections that are proven or strongly suspected to be caused by susceptible bacteria. When culture and susceptibility information are available, they should be considered in selecting or modifying antibacterial therapy. In the absence of such data, local epidemiology and susceptibility patterns may contribute to the empiric selection of therapy.
Dosage
DOSAGE AND ADMINISTRATION
If significant diarrhea occurs during therapy, this antibiotic should be discontinued (see BOXED WARNING).
Adults:
- Serious infections - 150 to 300 mg every 6 hours.
- More severe infections - 300 to 450 mg every 6 hours.
Pediatric Patients:
- Serious infections - 8 to 16 mg/kg/day (4 to 8 mg/lb/day) divided into three or four equal doses.
- More severe infections - 16 to 20 mg/kg/day (8 to 10 mg/lb/day) divided into three or four equal doses.
To avoid the possibility of esophageal irritation, CLEOCIN HCl Capsules should be taken with a full glass of water.
Serious infections due to anaerobic bacteria are usually treated with CLEOCIN PHOSPHATE® Sterile Solution. However, in clinically appropriate circumstances, the physician may elect to initiate treatment or continue treatment with CLEOCIN HCl Capsules.
In cases of β-hemolytic streptococcal infections, treatment should continue for at least 10 days.
HOW SUPPLIED
CLEOCIN HCl Capsules are available in the following strengths, colors and sizes:
75 mg Green
Bottles of 100 NDC 0009-0331-02
150 mg Light Blue and Green
Bottles of 100 NDC 0009-0225-02
Unit dose package of 100 NDC 0009-0225-03
300 mg Light Blue
Bottles of 100 NDC 0009-0395-14
Unit dose package of 100 NDC 0009-0395-02
Store at controlled room temperature 20° to 25° C (68° to 77° F) [see USP].
Distributed by; Pharmacia & Upjohn Co, Division of Pfizer Inc., NY, NY 10017. Revised July 2016
Side Effects & Drug Interactions
SIDE EFFECTS
The following reactions have been reported with the use of clindamycin.
Infections and Infestations: Clostridium difficile colitis
Gastrointestinal: Abdominal pain, pseudomembranous colitis, esophagitis, nausea, vomiting, and diarrhea (see BOXED WARNING). The onset of pseudomembranous colitis symptoms may occur during or after antibacterial treatment (see WARNINGS). Esophageal ulcer has been reported. An unpleasant or metallic taste has been reported after oral administration.
Hypersensitivity Reactions: Generalized mild to moderate morbilliform-like (maculopapular) skin rashes are the most frequently reported adverse reactions. Vesiculobullous rashes, as well as urticaria, have been observed during drug therapy. Severe skin reactions such as Toxic Epidermal Necrolysis, some with fatal outcome, have been reported (See WARNINGS). Cases of Acute Generalized Exanthematous Pustulosis (AGEP), erythema multiforme, some resembling Stevens-Johnson syndrome, anaphylactic shock, anaphylactic reaction and hypersensitivity have also been reported.
Skin and Mucous Membranes: Pruritus, vaginitis, angioedema and rare instances of exfoliative dermatitis have been reported. (See Hypersensitivity Reactions.)
Liver: Jaundice and abnormalities in liver function tests have been observed during clindamycin therapy.
Renal: Although no direct relationship of clindamycin to renal damage has been established, renal dysfunction as evidenced by azotemia, oliguria, and/or proteinuria has been observed.
Hematopoietic: Transient neutropenia (leukopenia) and eosinophilia have been reported. Reports of agranulocytosis and thrombocytopenia have been made. No direct etiologic relationship to concurrent clindamycin therapy could be made in any of the foregoing.
Immune System: Drug reaction with eosinophilia and systemic symptoms (DRESS) cases have been reported.
Musculoskeletal: Cases of polyarthritis have been reported.
DRUG INTERACTIONS
Clindamycin has been shown to have neuromuscular blocking properties that may enhance the action of other neuromuscular blocking agents. Therefore, it should be used with caution in patients receiving such agents.
Antagonism has been demonstrated between clindamycin and erythromycin in vitro. Because of possible clinical significance, these two drugs should not be administered concurrently.
Warnings
See BOXED WARNING
Clostridium Difficile Associated Diarrhea
Clostridium difficile associated diarrhea (CDAD) has been reported with use of nearly all antibacterial agents, including CLEOCIN HCl, and may range in severity from mild diarrhea to fatal colitis. Treatment with antibacterial agents alters the normal flora of the colon, leading to overgrowth of C. difficile.
C. difficile produces toxins A and B, which contribute to the development of CDAD. Hypertoxin producing strains of C. difficile cause increased morbidity and mortality, as these infections can be refractory to antimicrobial therapy and may require colectomy. CDAD must be considered in all patients who present with diarrhea following antibiotic use. Careful medical history is necessary since CDAD has been reported to occur over two months after the administration of antibacterial agents.
If CDAD is suspected or confirmed, ongoing antibiotic use not directed against C. difficile may need to be discontinued. Appropriate fluid and electrolyte management, protein supplementation, antibiotic treatment of C. difficile, and surgical evaluation should be instituted as clinically indicated.
Anaphylactic And Severe Hypersensitivity Reactions
Anaphylactic shock and anaphylactic reactions have been reported (see ADVERSE REACTIONS).
Severe hypersensitivity reactions, including severe skin reactions such as toxic epidermal necrolysis (TEN), drug reaction with eosinophilia and systemic symptoms (DRESS), and Stevens-Johnson syndrome (SJS), some with fatal outcome, have been reported (see ADVERSE REACTIONS).
In case of such an anaphylactic or severe hypersensitivity reaction, discontinue treatment permanently and institute appropriate therapy.
A careful inquiry should be made concerning previous sensitivities to drugs and other allergens.
Usage In Meningitis
Since clindamycin does not diffuse adequately into the cerebrospinal fluid, the drug should not be used in the treatment of meningitis.
Precautions
General
Review of experience to date suggests that a subgroup of older patients with associated severe illness may tolerate diarrhea less well. When clindamycin is indicated in these patients, they should be carefully monitored for change in bowel frequency.
CLEOCIN HCl should be prescribed with caution in individuals with a history of gastrointestinal disease, particularly colitis.
CLEOCIN HCl should be prescribed with caution in atopic individuals.
Indicated surgical procedures should be performed in conjunction with antibiotic therapy.
The use of CLEOCIN HCl occasionally results in overgrowth of nonsusceptible organisms—particularly yeasts. Should superinfections occur, appropriate measures should be taken as indicated by the clinical situation.
Clindamycin dosage modification may not be necessary in patients with renal disease. In patients with moderate to severe liver disease, prolongation of clindamycin half-life has been found. However, it was postulated from studies that when given every eight hours, accumulation should rarely occur. Therefore, dosage modification in patients with liver disease may not be necessary. However, periodic liver enzyme determinations should be made when treating patients with severe liver disease.
The 75 mg and 150 mg capsules contain FD&C yellow no. 5 (tartrazine), which may cause allergic-type reactions (including bronchial asthma) in certain susceptible individuals. Although the overall incidence of FD&C yellow no. 5 (tartrazine) sensitivity in the general population is low, it is frequently seen in patients who also have aspirin hypersensitivity.
Prescribing CLEOCIN HCl in the absence of a proven or strongly suspected bacterial infection or a prophylactic indication is unlikely to provide benefit to the patient and increases the risk of the development of drug-resistant bacteria.
Laboratory Tests
During prolonged therapy, periodic liver and kidney function tests and blood counts should be performed.
Carcinogenesis, Mutagenesis, Impairment Of Fertility
Long-term studies in animals have not been performed with clindamycin to evaluate carcinogenic potential. Genotoxicity tests performed included a rat micronucleus test and an Ames Salmonella reversion test. Both tests were negative.
Fertility studies in rats treated orally with up to 300 mg/kg/day (approximately 1.6 times the highest recommended adult human dose based on mg/m²) revealed no effects on fertility or mating ability.
Pregnancy
Teratogenic Effects
Pregnancy Category B
In clinical trials with pregnant women, the systemic administration of clindamycin during the second and third trimesters, has not been associated with an increased frequency of congenital abnormalities.
Clindamycin should be used during the first trimester of pregnancy only if clearly needed. There are no adequate and well-controlled studies in pregnant women during the first trimester of pregnancy. Because animal reproduction studies are not always predictive of the human response, this drug should be used during pregnancy only if clearly needed.
Reproduction studies performed in rats and mice using oral doses of clindamycin up to 600 mg/kg/day (3.2 and 1.6 times the highest recommended adult human dose based on mg/m², respectively) or subcutaneous doses of clindamycin up to 250 mg/kg/day (1.3 and 0.7 times the highest recommended adult human dose based on mg/m², respectively) revealed no evidence of teratogenicity.
Nursing Mothers
Clindamycin has been reported to appear in breast milk in the range of 0.7 to 3.8 mcg/mL. Because of the potential for serious adverse reactions in nursing infants, clindamycin should not be taken by nursing mothers.
Pediatric Use
When CLEOCIN HCl is administered to the pediatric population (birth to 16 years), appropriate monitoring of organ system functions is desirable.
Geriatric Use
Clinical studies of clindamycin did not include sufficient numbers of patients age 65 and over to determine whether they respond differently from younger patients. However, other reported clinical experience indicates that antibiotic-associated colitis and diarrhea (due to Clostridium difficile) seen in association with most antibiotics occur more frequently in the elderly ( > 60 years) and may be more severe. These patients should be carefully monitored for the development of diarrhea.
Pharmacokinetic studies with clindamycin have shown no clinically important differences between young and elderly subjects with normal hepatic function and normal (age-adjusted) renal function after oral or intravenous administration.
Overdosage & Contraindications
OVERDOSE
Significant mortality was observed in mice at an intravenous dose of 855 mg/kg and in rats at an oral or subcutaneous dose of approximately 2618 mg/kg. In the mice, convulsions and depression were observed.
Hemodialysis and peritoneal dialysis are not effective in removing clindamycin from the serum.
CONTRAINDICATIONS
CLEOCIN HCl is contraindicated in individuals with a history of hypersensitivity to preparations containing clindamycin or lincomycin.
Clinical Pharmacology
Human Pharmacology
Absorption
Serum level studies with a 150 mg oral dose of clindamycin hydrochloride in 24 normal adult volunteers showed that clindamycin was rapidly absorbed after oral administration. An average peak serum level of 2.50 mcg/mL was reached in 45 minutes; serum levels averaged 1.51 mcg/mL at 3 hours and 0.70 mcg/mL at 6 hours. Absorption of an oral dose is virtually complete (90%), and the concomitant administration of food does not appreciably modify the serum concentrations; serum levels have been uniform and predictable from person to person and dose to dose. Serum level studies following multiple doses of CLEOCIN HCl for up to 14 days show no evidence of accumulation or altered metabolism of drug. Doses of up to 2 grams of clindamycin per day for 14 days have been well tolerated by healthy volunteers, except that the incidence of gastrointestinal side effects is greater with the higher doses.
Distribution
Concentrations of clindamycin in the serum increased linearly with increased dose. Serum levels exceed the MIC (minimum inhibitory concentration) for most indicated organisms for at least six hours following administration of the usually recommended doses. Clindamycin is widely distributed in body fluids and tissues (including bones). No significant levels of clindamycin are attained in the cerebrospinal fluid, even in the presence of inflamed meninges.
Excretion
The average biological half-life is 2.4 hours. Approximately 10% of the bioactivity is excreted in the urine and 3.6% in the feces; the remainder is excreted as bioinactive metabolites.
Special Populations
Renal Impairment
Serum half-life of clindamycin is increased slightly in patients with markedly reduced renal function. Hemodialysis and peritoneal dialysis are not effective in removing clindamycin from the serum.
Use in Elderly
Pharmacokinetic studies in elderly volunteers (61-79 years) and younger adults (18-39 years) indicate that age alone does not alter clindamycin pharmacokinetics (clearance, elimination half-life, volume of distribution, and area under the serum concentration-time curve) after IV administration of clindamycin phosphate. After oral administration of clindamycin hydrochloride, elimination half-life is increased to approximately 4.0 hours (range 3.4-5.1 h) in the elderly compared to 3.2 hours (range 2.1 - 4.2 h) in younger adults. The extent of absorption, however, is not different between age groups and no dosage alteration is necessary for the elderly with normal hepatic function and normal (age-adjusted) renal function1.
Microbiology
Mechanism of Action
Clindamycin inhibits bacterial protein synthesis by binding to the 23S RNA of the 50S subunit of the ribosome. Clindamycin is bacteriostatic.
Resistance
Resistance to clindamycin is most often caused by modification of specific bases of the 23S ribosomal RNA. Cross-resistance between clindamycin and lincomycin is complete. Because the binding sites for these antibacterial drugs overlap, cross-resistance is sometimes observed among lincosamides, macrolides and streptogramin B. Macrolide-inducible resistance to clindamycin occurs in some isolates of macrolide-resistant bacteria. Macrolide-resistant isolates of staphylococci and beta-hemolytic streptococci should be screened for induction of clindamycin resistance using the D-zone test.
Antimicrobial Activity
Clindamycin has been shown to be active against most of the isolates of the following microorganisms, both in vitro and in clinical infections, as described in the INDICATIONS AND USAGE section.
Gram-positive Bacteria
Staphylococcus aureus (methicillin-susceptible
strains)
Streptococcus pneumoniae (penicillin-susceptible
strains)
Streptococcus pyogenes
Anaerobic Bacteria
Clostridium perfringens
Fusobacterium necrophorum
Fusobacterium nucleatum
Peptostreptococcus anaerobius
Prevotella melaninogenica
At least 90% of the microorganisms listed below exhibit in vitro minimum inhibitory concentrations (MICs) less than or equal to the clindamycin susceptible MIC breakpoint for organisms of a similar type to those shown in Table 1. However, the efficacy of clindamycin in treating clinical infections due to these microorganisms has not been established in adequate and well-controlled clinical trials.
Gram-positive Bacteria
Staphylococcus epidermidis (methicillin-susceptible
strains)
Streptococcus agalactiae
Streptococcus anginosus
Streptococcus mitis
Streptococcus oralis
Anaerobic Bacteria
Actinomyces israelii
Clostridium clostridioforme
Eggerthella lenta
Finegoldia (Peptostreptococcus) magna
Micromonas (Peptostreptococcus) micros
Prevotella bivia
Prevotella intermedia
Propionibacterium acnes
Susceptibility Testing Methods
When available, the clinical microbiology laboratory should provide cumulative in vitro susceptibility test results for antimicrobial drugs used in local hospitals and practice areas to the physician as periodic reports that describe the susceptibility profile of nosocomial and community-acquired pathogens. These reports should aid the physician in selecting an antibacterial drug for treatment.
Dilution Techniques
Quantitative methods are used to determine antimicrobial minimum inhibitory concentrations (MICs). These MICs provide estimates of the susceptibility of bacteria to antimicrobial compounds. The MICs should be determined using a standardized test method2,3 (broth and/or agar). The MIC values should be interpreted according to the criteria provided in Table 1.
Diffusion Techniques
Quantitative methods that require the measurement of zone diameters can also provide reproducible estimates of the susceptibility of bacteria to antimicrobial compounds. The zone size should be determined using a standardized method2,5. This procedure uses paper disks impregnated with 2 mcg of clindamycin to test the susceptibility of bacteria to clindamycin. The disk diffusion breakpoints are provided in Table 1.
Anaerobic Techniques
For anaerobic bacteria, the susceptibility to clindamycin can be determined by a standardized test method2,4. The MIC values obtained should be interpreted according to the criteria provided in Table 1.
Table 1: Susceptibility Test Interpretive Criteria for
Clindamycin
| Pathogen | Susceptibility Interpretive Criteria | |||||
| Minimal Inhibitory Concentrations (MIC in mcg/mL) | Disk Diffusion (Zone Diameters in mm) | |||||
| S | I | R | S | I | R | |
| Staphylococcus spp. | ≤ 0.5 | 1-2 | ≥ 4 | ≥ 21 | 15-20 | ≤ 14 |
| Streptococcus pneumoniae and other Streptococcus spp. | ≤ 0.25 | 0.5 | ≥ 1 | ≥ 19 | 16-18 | ≤ 15 |
| Anaerobic Bacteria | ≤ 2 | 4 | ≥ 8 | NA | NA | NA |
| NA=not applicable | ||||||
A report of Susceptible (S ) indicates that the antimicrobial drug is likely to inhibit growth of the pathogen if the antimicrobial drug reaches the concentration usually achievable at the site of infection. A report of Intermediate (I) indicates that the result should be considered equivocal, and, if the microorganism is not fully susceptible to alternative, clinically feasible drugs, the test should be repeated. This category implies possible clinical applicability in body sites where the drug is physiologically concentrated or in situations where high dosage of drug can be used. This category also provides a buffer zone that prevents small, uncontrolled technical factors from causing major discrepancies in interpretation. A report of Resistant (R) indicates that the antimicrobial drug is not likely to inhibit growth of the pathogen if the antimicrobial drug reaches the concentration usually achievable at the infection site; other therapy should be selected.
Quality Control
Standardized susceptibility test procedures require the use of laboratory controls to monitor and ensure the accuracy and precision of the supplies and reagents used in the assay, and the techniques of the individuals performing the test.2,3,4,5 Standard clindamycin powder should provide the MIC ranges in Table 2. For the disk diffusion technique using the 2 mcg clindamycin disk the criteria provided in Table 2 should be achieved.
Table 2: Acceptable Quality Control Ranges for
Clindamycin
| QC Strain | Acceptable Quality Control Ranges | |
| Minimum Inhibitory Concentration Range (mcg/mL) | Disk Diffusion Range (Zone Diameters in mm) | |
| Enterococcus faecalis1 ATCC 29212 | 4-16 | NA |
| Staphylococcus aureus ATCC 29213 | 0.06-0.25 | NA |
| Staphylococcus aureus ATCC 25923 | NA | 24-30 |
| Streptococcus pneumoniae ATCC 49619 | 0.03-0.12 | 19-25 |
| Bacteroides fragilis ATCC 25285 | 0.5-2 | NA |
| Bacteroides thetaiotaomicron ATCC 29741 | 2-8 | NA |
| Clostridium difficile2 ATCC 700057 | 2-8 | NA |
| Eggerthella lenta ATCC 43055 | 0.06-0.25 | NA |
| 1Enterococcus faecalis has been included in
this table for quality control purposes only. 2Quality control for C. difficile is performed using the agar dilution method only, all other obligate anaerobes may be tested by either broth microdilution or agar dilution methods. NA=Not applicable ATCC® is a registered trademark of the American Type Culture Collection |
||
REFERENCES
1. Smith RB, Phillips JP: Evaluation of CLEOCIN HCl and CLEOCIN Phosphate in an Aged Population. Upjohn TR 8147-82-9122-021, December 1982.
2. CLSI. Performance Standards for Antimicrobial Susceptibility Testing: 26th ed. CLSI supplement M100S. Wayne, PA: Clinical and Laboratory Standards Institute; 2016.
3. CLSI. Methods for Dilution Antimicrobial Susceptibility Tests for Bacteria that Grow Aerobically; Approved Standard – Tenth Edition. CLSI document M07-A10. Wayne, PA: Clinical and Laboratory Standards Institute; 2015.
4. CLSI. Methods for Antimicrobial Susceptibility Testing of Anaerobic Bacteria; Approved Standard-Eighth Edition. CLSI document M11-A8. Wayne, PA: Clinical and Laboratory Standards Institute; 2012.
5. CLSI. Performance Standards for Antimicrobial Disk Susceptibility Tests; Approved Standard -Twelfth Edition. CLSI document M02-A12. Wayne, PA: Clinical and Laboratory Standards Institute; 2015.
Medication Guide
PATIENT INFORMATION
Patients should be counseled that antibacterial drugs, including CLEOCIN HCl, should only be used to treat bacterial infections. They do not treat viral infections (e.g., the common cold). When CLEOCIN HCl is prescribed to treat a bacterial infection, patients should be told that although it is common to feel better early in the course of therapy, the medication should be taken exactly as directed. Skipping doses or not completing the full course of therapy may
- decrease the effectiveness of the immediate treatment and
- increase the likelihood that bacteria will develop resistance and will not be treatable by CLEOCIN HCl or other antibacterial drugs in the future.
- Diarrhea is a common problem caused by antibiotics which usually ends when the antibiotic is discontinued.
- Sometimes after starting treatment with antibiotics, patients can develop watery and bloody stools (with or without stomach cramps and fever) even as late as two or more months after having taken the last dose of the antibiotic. If this occurs, patients should contact their physician as soon as possible.

