Lotrisone Drug Description: Detailed Datasheet
- Generic Name: clotrimazole and betamethasone
- Brand Name: Lotrisone
side effects drug center lotrisone (clotrimazole and betamethasone) drug
Drug Description
What is Lotrisone and how is it used?
Lotrisone is a prescription medicine used to treat the symptoms of fungal infections of the skin such as Tinea Cruris (Jock Itch), Tinea Corporis (Ringworm) and Tinea Pedis (Athlete’s Foot). Lotrisone may be used alone or with other medications.
Lotrisone belongs to a class of drugs called Antifungal/Corticosteroid Topical.
It is not known if Lotrisone is safe and effective in children.
What are the possible side effects of Lotrisone?
Lotrisone may cause serious side effects including:
- nausea,
- vomiting,
- severe dizziness,
- muscle weakness,
- depressed mood,
- feeling irritable,
- weight loss, and
- tired feeling
Get medical help right away, if you have any of the symptoms listed above.
The most common side effects of Lotrisone include:
- burning or tingling of treated skin,
- rash, and
- swelling
Tell the doctor if you have any side effect that bothers you or that does not go away.
These are not all the possible side effects of Lotrisone. For more information, ask your doctor or pharmacist.
Call your doctor for medical advice about side effects. You may report side effects to FDA at 1-800-FDA-1088.
DESCRIPTION
LOTRISONE (clotrimazole and betamethasone dipropionate) cream, 1%/0.05%, contains combinations of clotrimazole, an azole antifungal, and betamethasone dipropionate, a corticosteroid, for topical use.
Chemically, clotrimazole is 1–(o-chloro-α,α-diphenylbenzyl) imidazole, with the empirical formula C22H17CLN2, a molecular weight of 344.84, and the following structural formula:
![]() |
Clotrimazole is an odorless, white crystalline powder, insoluble in water and soluble in ethanol.
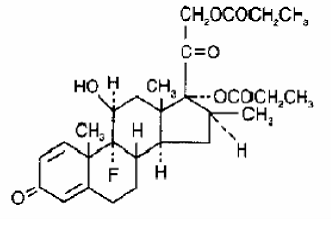
Betamethasone dipropionate has 9-fluoro-11β,17,21-trihydroxy-16β-methylpregna-1,4-diene-3,20-dione 17,21dipropionate, with the empirical formula C28H37FO7, a molecular weight of 504.59, and the following structural formula:
![]() |
Betamethasone dipropionate is a white to creamy-white, odorless crystalline powder, insoluble in water.
Each gram of LOTRISONE cream contains 10 mg clotrimazole and 0.643 mg betamethasone dipropionate (equivalent to 0.5 mg betamethasone), in a white to off-white, hydrophilic cream consisting of benzyl alcohol as a preservative, ceteareth-30, cetyl alcohol plus stearyl alcohol, mineral oil, phosphoric acid, propylene glycol, purified water, sodium phosphate monobasic monohydrate, and white petrolatum.
Indications & Dosage
INDICATIONS
LOTRISONE® cream is a combination of an azole antifungal and corticosteroid and is indicated for the topical treatment of symptomatic inflammatory tinea pedis, tinea cruris, and tinea corporis due to Epidermophyton floccosum, Trichophyton mentagrophytes, and Trichophyton rubrum in patients 17 years and older.
DOSAGE AND ADMINISTRATION
Treatment of tinea corporis or tinea cruris:
- Apply a thin film of LOTRISONE cream into the affected skin areas twice a day for one week.
- Do not use more than 45 grams per week. Do not use with occlusive dressings.
- If a patient shows no clinical improvement after 1 week of treatment with LOTRISONE cream, the diagnosis should be reviewed.
- Do not use longer than 2 weeks.
Treatment of tinea pedis:
- Gently massage a sufficient amount of LOTRISONE cream into the affected skin areas twice a day for two weeks.
- Do not use more than 45 grams per week. Do not use with occlusive dressings.
- If a patient shows no clinical improvement after 2 weeks of treatment with LOTRISONE cream, the diagnosis should be reviewed.
- Do not use longer than 4 weeks.
LOTRISONE cream is for topical use only. It is not for oral, ophthalmic, or intravaginal use.
Avoid contact with eyes. Wash hands after each application.
HOW SUPPLIED
Dosage Forms And Strengths
Cream, 1%/0.05%. Each gram of LOTRISONE cream contains 10 mg of clotrimazole and 0.643 mg of betamethasone dipropionate (equivalent to 0.5 mg of betamethasone) in a white to off-white cream base.
Storage And Handling
LOTRISONE cream is white to off-white and supplied in 15-gram (NDC 0085-0924-01) and 45-gram tubes (NDC 0085-0924-02), boxes of one. Store at 20-25°C (68-77°F); excursions permitted to 15-30°C (59-86°F) [see USP Controlled Room Temperature].
Distributed by: Merck Sharp & Dohme Corp., a subsidiary of MERCK & CO., INC., Whitehouse Station, NJ 08889, USA. Revised: May 2018.
Side Effects & Drug Interactions
SIDE EFFECTS
Clinical Trial Experience
Because clinical trials are conducted under widely varying conditions, adverse reaction rates observed in the clinical trials of a drug cannot be directly compared to rates in the clinical trials of another drug and may not reflect the rates observed in practice.
In clinical trials common adverse reaction reported for LOTRISONE cream was paresthesia in 1.9% of patients. Adverse reactions reported at a frequency < 1% included rash, edema, and secondary infection.
Postmarketing Experience
Because adverse reactions are reported voluntarily from a population of uncertain size, it is not always possible to reliably estimate their frequency or establish a causal relationship to drug exposure.
The following local adverse reactions have been reported with topical corticosteroids: itching, irritation, dryness, folliculitis, hypertrichosis, acneiform eruptions, hypopigmentation, perioral dermatitis, allergic contact dermatitis, maceration of the skin, skin atrophy, striae, miliaria, capillary fragility (ecchymoses), telangiectasia, and sensitization (local reactions upon repeated application of product).
Ophthalmic adverse reactions of blurred vision, cataracts, glaucoma, increased intraocular pressure, and central serous chorioretinopathy have been reported with the use of topical corticosteroids, including topical betamethasone products.
Adverse reactions reported with the use of clotrimazole are: erythema, stinging, blistering, peeling, edema, pruritus, urticaria, and general irritation of the skin.
DRUG INTERACTIONS
No Information Provided.
Warnings & Precautions
WARNINGS
Included as part of the "PRECAUTIONS" Section
PRECAUTIONS
Effects On Endocrine System
LOTRISONE cream can cause reversible hypothalamic-pituitary-adrenal (HPA) axis suppression with the potential for glucocorticosteroid insufficiency. This may occur during treatment or after withdrawal of treatment. Cushing’s syndrome and hyperglycemia may also occur due to the systemic effect of corticosteroids while on treatment. Factors that predispose a patient to HPA axis suppression include the use of high-potency steroids, large treatment surface areas, prolonged use, use of occlusive dressing, altered skin barrier, liver failure, and young age.
Because of the potential for systemic corticosteroid effects, patients may need to be periodically evaluated for HPA axis suppression. This may be done by using the adrenocorticotropic hormone (ACTH) stimulation test.
In a small trial, LOTRISONE cream was applied using large dosages, 7 g daily for 14 days (BID) to the crural area of normal adult subjects. Three of the 8 normal subjects on whom LOTRISONE cream was applied exhibited low morning plasma cortisol levels during treatment. One of these subjects had an abnormal cosyntropin test. The effect on morning plasma cortisol was transient and subjects recovered 1 week after discontinuing dosing. In addition, 2 separate trials in pediatric subjects demonstrated adrenal suppression as determined by cosyntropin testing [see Use In Specific Populations].
If HPA axis suppression is documented, gradually withdraw the drug, reduce the frequency of application, or substitute with a less potent corticosteroid.
Pediatric patients may be more susceptible to systemic toxicity due to their larger skin-surface-to-body mass ratios [see Use In Specific Populations].
Diaper Dermatitis
The use of LOTRISONE cream in the treatment of diaper dermatitis is not recommended.
Ophthalmic Adverse Reactions
Use of topical corticosteroids may increase the risk of posterior subcapsular cataracts and glaucoma. Cataracts and glaucoma have been reported in postmarketing experience with the use of topical corticosteroid products, including topical betamethasone products [see ADVERSE REACTIONS].
Avoid contact of LOTRISONE cream with eyes. Advise patients to report any visual symptoms and consider referral to an ophthalmologist for evaluation.
Patient Counseling Information
Advise the patient to read the FDA-approved patient labeling (PATIENT INFORMATION).
Inform the patient of the following:
- Use LOTRISONE cream as directed by the physician. It is for external use only.
- Avoid contact with the eyes, the mouth, or intravaginally.
- Advise patients to report any visual symptoms to their healthcare providers.
- Do not use LOTRISONE cream on the face or underarms.
- Do not use more than 45 grams of LOTRISONE cream per week.
- When using LOTRISONE cream in the groin area, patients should use the medication for 2 weeks only, and apply the cream sparingly. Patients should wear loose-fitting clothing. Notify the physician if the condition persists after 2 weeks.
- Do not use LOTRISONE cream for any disorder other than that for which it was prescribed.
- Do not bandage, cover or wrap the treatment area unless directed by the physician. Avoid use of LOTRISONE cream in the diaper area, as diapers or plastic pants may constitute occlusive dressing.
- Report any signs of local adverse reactions to the physician. Advise patients that local reactions and skin atrophy are more likely to occur with occlusive use or prolonged use.
- This medication is to be used for the full prescribed treatment time, even though the symptoms may have improved. Notify the physician if there is no improvement after 1 week of treatment for tinea cruris or tinea corporis, or after 2 weeks for tinea pedis.
Nonclinical Toxicology
Carcinogenesis, Mutagenesis, Impairment Of Fertility
There are no adequate laboratory animal studies with either the combination of clotrimazole and betamethasone dipropionate or with either component individually to evaluate carcinogenesis.
Betamethasone was negative in the bacterial mutagenicity assay (Salmonella typhimurium and Escherichia coli) and in the mammalian cell mutagenicity assay (CHO/HGPRT). It was positive in the in vitro human lymphocyte chromosome aberration assay, and equivocal in the in vivo mouse bone marrow micronucleus assay.
Reproductive studies with betamethasone dipropionate carried out in rabbits at doses of 1.0 mg/kg by the intramuscular route and in mice up to 33 mg/kg by the intramuscular route indicated no impairment of fertility except for dose-related increases in fetal resorption rates in both species. These doses are approximately 5-and 38-fold the maximum human dose based on body surface areas, respectively.
In a combined study of the effects of clotrimazole on fertility, teratogenicity, and postnatal development, male and female rats were dosed orally (diet admixture) with levels of 5, 10, 25, or 50 mg/kg/day (approximately 1-8 times the maximum dose in a 60-kg adult based on body surface area) from 10 weeks prior to mating until 4 weeks postpartum. No adverse effects on the duration of estrous cycle, fertility, or duration of pregnancy were noted.
Use In Specific Populations
Pregnancy
Teratogenic Effects
Pregnancy Category C
There are no adequate and well-controlled studies with LOTRISONE cream in pregnant women. Therefore, LOTRISONE cream should be used during pregnancy only if the potential benefit justifies the potential risk to the fetus.
There have been no teratogenic studies performed in animals or humans with the combination of clotrimazole and betamethasone dipropionate. Corticosteroids are generally teratogenic in laboratory animals when administered at relatively low dosage levels.
Studies in pregnant rats with intravaginal doses up to 100 mg/kg (15 times the maximum human dose) revealed no evidence of fetotoxicity due to clotrimazole exposure.
No increase in fetal malformations was noted in pregnant rats receiving oral (gastric tube) clotrimazole doses up to 100 mg/kg/day during gestation Days 6 to 15. However, clotrimazole dosed at 100 mg/kg/day was embryotoxic (increased resorptions), fetotoxic (reduced fetal weights), and maternally toxic (reduced body weight gain) to rats. Clotrimazole dosed at 200 mg/kg/day (30 times the maximum human dose) was maternally lethal, and therefore, fetuses were not evaluated in this group. Also in this study, doses up to 50 mg/kg/day (8 times the maximum human dose) had no adverse effects on dams or fetuses. However, in the combined fertility, teratogenicity, and postnatal development study described above, 50 mg/kg clotrimazole was associated with reduced maternal weight gain and reduced numbers of offspring reared to 4 weeks.
Oral clotrimazole doses of 25, 50, 100, and 200 mg/kg/day (2-15 times the maximum human dose) were not teratogenic in mice. No evidence of maternal toxicity or embryotoxicity was seen in pregnant rabbits dosed orally with 60, 120, or 180 mg/kg/day (18-55 times the maximum human dose).
Betamethasone dipropionate has been shown to be teratogenic in rabbits when given by the intramuscular route at doses of 0.05 mg/kg. This dose is approximately one-fifth the maximum human dose. The abnormalities observed included umbilical hernias, cephalocele, and cleft palates.
Betamethasone dipropionate has not been tested for teratogenic potential by the dermal route of administration. Some corticosteroids have been shown to be teratogenic after dermal application to laboratory animals.
Nursing Mothers
Systemically administered corticosteroids appear in human milk and can suppress growth, interfere with endogenous corticosteroid production, or cause other untoward effects. It is not known whether topical administration of corticosteroids can result in sufficient systemic absorption to produce detectable quantities in human milk. Because many drugs are excreted in human milk, caution should be exercised when LOTRISONE cream is administered to a nursing woman.
Pediatric Use
The use of LOTRISONE cream in patients under 17 years of age is not recommended.
Adverse events consistent with corticosteroid use have been observed in pediatric patients treated with LOTRISONE cream. In open-label trials, 17 of 43 (39.5%) evaluable pediatric subjects (aged 12-16 years old) using LOTRISONE cream for treatment of tinea pedis demonstrated adrenal suppression as determined by cosyntropin testing. In another open-label trial, 8 of 17 (47.1%) evaluable pediatric subjects (aged 12-16 years old) using LOTRISONE cream for treatment of tinea cruris demonstrated adrenal suppression as determined by cosyntropin testing.
Because of a higher ratio of skin surface area to body mass, pediatric patients are at a greater risk than adults of HPA axis suppression when they are treated with topical corticosteroids. They are, therefore also at greater risk of adrenal insufficiency during and/or after withdrawal of treatment. Pediatric patients may be more susceptible than adults to skin atrophy, including striae, when they are treated with topical corticosteroids.
HPA axis suppression, Cushing’s syndrome, linear growth retardation, delayed weight gain, and intracranial hypertension have been reported in pediatric patients receiving topical corticosteroids [see WARNINGS AND PRECAUTIONS].
Avoid use of LOTRISONE cream in the treatment of diaper dermatitis.
Geriatric Use
Clinical studies of LOTRISONE cream did not include sufficient numbers of subjects aged 65 and over to determine whether they respond differently from younger subjects. However, greater sensitivity of some older individuals cannot be ruled out. The use of LOTRISONE cream under occlusion, such as in diaper dermatitis, is not recommended.
Postmarket adverse event reporting for LOTRISONE cream in patients aged 65 and above includes reports of skin atrophy and rare reports of skin ulceration. Caution should be exercised with the use of these corticosteroid-containing topical products on thinning skin.
Overdosage & Contraindications
OVERDOSE
No Information Provided.
CONTRAINDICATIONS
None.
Clinical Pharmacology
Mechanism Of Action
Clotrimazole is an azole antifungal [see Microbiology].
Betamethasone dipropionate is a corticosteroid. Corticosteroids play a role in cellular signaling, immune function, inflammation, and protein regulation; however, the precise mechanism of action for the treatment of tinea pedis, tinea cruris and tinea corporis is unknown.
Pharmacodynamics
Vasoconstrictor Assay
Studies performed with LOTRISONE cream indicate that these topical combination antifungal/corticosteroids may have vasoconstrictor potencies in a range that is comparable to high-potency topical corticosteroids. However, similar blanching scores do not necessarily imply therapeutic equivalence.
Pharmacokinetics
Skin penetration and systemic absorption of clotrimazole and betamethasone dipropionate following topical application of LOTRISONE cream has not been studied.
The extent of percutaneous absorption of topical corticosteroids is determined by many factors, including the vehicle, the integrity of the epidermal barrier, and the use of occlusive dressings. Topical corticosteroids can be absorbed from normal intact skin. Inflammation and/or other disease processes in the skin may increase percutaneous absorption of topical corticosteroids. Occlusive dressings substantially increase the percutaneous absorption of topical corticosteroids [see DOSAGE AND ADMINISTRATION].
Once absorbed through the skin, the pharmacokinetics of topical corticosteroids are similar to systemically administered corticosteroids. Corticosteroids are bound to plasma proteins in varying degrees. Corticosteroids are metabolized primarily in the liver and are then excreted by the kidneys. Some of the topical corticosteroids and their metabolites are also excreted into the bile.
Microbiology
Mechanism Of Action
Clotrimazole, an azole antifungal agent, inhibits 14-α-demethylation of lanosterol in fungi by binding to one of the cytochrome P-450 enzymes. This leads to the accumulation of 14-α-methylsterols and reduced concentrations of ergosterol, a sterol essential for a normal fungal cytoplasmic membrane. The methylsterols may affect the electron transport system, thereby inhibiting growth of fungi.
Activity In Vitro And In Vivo
Clotrimazole has been shown to be active against most strains of the following dermatophytes, both in vitro and in clinical infections, Epidermophyton floccosum, Trichophyton mentagrophytes, and Trichophyton rubrum [see INDICATIONS].
Drug Resistance
Strains of dermatophytes having a natural resistance to clotrimazole have not been reported. Resistance to azoles, including clotrimazole, has been reported in some Candida species.
No single-step or multiple-step resistance to clotrimazole has developed during successive passages of Trichophyton mentagrophytes.
Clinical Studies
In clinical trials of tinea corporis, tinea cruris, and tinea pedis, subjects treated with LOTRISONE cream showed a better clinical response at the first return visit than subjects treated with clotrimazole cream. In tinea corporis and tinea cruris, the subject returned 3 to 5 days after starting treatment, and in tinea pedis, after 1 week. Mycological cure rates observed in subjects treated with LOTRISONE cream were as good as, or better than, in those subjects treated with clotrimazole cream. In these same clinical studies, patients treated with LOTRISONE cream showed better clinical responses and mycological cure rates when compared with subjects treated with betamethasone dipropionate cream.
Medication Guide
PATIENT INFORMATION
LOTRISONE®
(LOW-tre-zone)
(clotrimazole and betamethasone dipropionate) cream, 1%/0.05%
Important information: LOTRISONE cream is for use on skin only. Do not use LOTRISONE cream in your eyes, mouth, or vagina.
What is LOTRISONE cream?
- LOTRISONE cream is a prescription medication used on the skin (topical) to treat fungal infections of the feet, groin, and body in people 17 years of age and older. LOTRISONE cream is used for fungal infections that are inflamed and have symptoms of redness or itching.
- LOTRISONE cream should not be used in children under 17 years of age.
Before using LOTRISONE cream, tell your healthcare provider about all your medical conditions, including if you:
- are pregnant or plan to become pregnant. It is not known if LOTRISONE cream will harm your unborn baby.
- are breastfeeding or plan to breastfeed. It is not known if LOTRISONE cream passes into your breast milk.
Tell your healthcare provider about all the medicines you take, including prescription and over-the-counter medicines, vitamins, and herbal supplements. Especially tell your healthcare provider if you take other corticosteroid medicines by mouth or use other products on your skin or scalp that contain corticosteroids.
How should I use LOTRISONE cream?
- Use LOTRISONE cream exactly as your healthcare provider tells you to use it.
- Use LOTRISONE cream for the prescribed treatment time, even if your symptoms get better.
- Do not use more than 45 grams of LOTRISONE cream in 1 week.
- Do not bandage, cover, or wrap the treated area unless your healthcare provider tells you to. Wear loose-fitting clothing if you use LOTRISONE cream in the groin area.
- Do not use LOTRISONE cream on your face or underarms (armpits).
- For treatment of fungal infections of the groin and body:
- Apply a thin layer of LOTRISONE cream to the affected skin area 2 times a day for 1 week.
- Tell your healthcare provider if the treated skin area does not improve after 1 week of treatment.
- Do not use LOTRISONE cream for longer than 2 weeks.
- For treatment of fungal infections of the feet:
- Apply a thin layer of LOTRISONE cream to the affected skin area 2 times a day for 2 weeks.
- Tell your healthcare provider if the treated skin area does not improve after 2 weeks of treatment. Do not use LOTRISONE cream longer than 4 weeks.
- Wash your hands after applying LOTRISONE cream.
What should I avoid while using LOTRISONE cream?
LOTRISONE cream should not be used to treat diaper rash or redness. You should avoid applying LOTRISONE cream in the diaper area.
What are the possible side effects of LOTRISONE cream?
LOTRISONE cream may cause serious side effects, including:
- LOTRISONE cream can pass through your skin. Too much LOTRISONE cream passing through your skin can cause your adrenal glands to stop working. Your healthcare provider may do blood tests to check for adrenal gland problems.
- Vision problems. Topical corticosteroids may increase your chance of developing cataracts and glaucoma. Tell your healthcare provider if you develop blurred vision or other vision problems during treatment with LOTRISONE cream.
The most common side effects of LOTRISONE cream include burning, tingling, rash, swelling, and infections.
These are not all the possible side effects of LOTRISONE cream.
Call your doctor for medical advice about side effects. You may report side effects to FDA at 1-800-FDA-1088.
How should I store LOTRISONE cream?
- Store LOTRISONE cream at room temperature between 68 to 77°F (20 to 25°C).
- Keep LOTRISONE cream and all medicines out of the reach of children.
General information about the safe and effective use of LOTRISONE cream.
Medicines are sometimes prescribed for purposes other than those listed in a Patient Information leaflet. Do not use LOTRISONE cream for a condition for which it was not prescribed. Do not give LOTRISONE cream to other people, even if they have the same symptoms that you have. It may harm them. You can ask your pharmacist or healthcare provider for information about LOTRISONE cream that is written for health professionals.
What are the ingredients in LOTRISONE cream?
Active ingredients: clotrimazole and betamethasone dipropionate
Inactive ingredients: benzyl alcohol as a preservative, ceteareth-30, cetyl alcohol plus stearyl alcohol, mineral oil, phosphoric acid, propylene glycol, purified water, sodium phosphate monobasic monohydrate, and white petrolatum.
This Patient Information has been approved by the U.S. Food and Drug Administration.


