Medical Information Only: This medication is not sold on this site. The information provided is for reference purposes only. Please consult your local physician or pharmacist for treatment.

Uniretic Drug Description: Detailed Datasheet

Medically reviewed by Dr. Otari Nergadze, Neurosurgeon | Updated: January 2026
  • Generic Name: moexipril hcl hydrochlorothiazide tablets
  • Brand Name: Uniretic
  • Drug Class: ACEIHCTZ Combos

side effects drug center uniretic (moexipril hcl hydrochlorothiazide tablets) drug

 

PROFESSIONAL

CONSUMER

SIDE EFFECTS

Drug Description

Uniretic®
(moexipril HCl / hydrochlorothiazide) Tablets 7.5 mg/12.5 mg 15 mg/12.5 mg 15 mg/25 mg

WARNING

FETAL TOXICITY

See full prescribing information for complete boxed warning.

  • When pregnancy is detected, discontinue uniretic ® as soon as possible.
  • Drugs that act directly on the renin-angiotensin system can cause injury and death to the developing fetus. See WARNINGS: Fetal Toxicity

 

DESCRIPTION

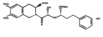
Uniretic® (moexipril hydrochloride/hydrochlorothiazide) is a combination of an angiotensinconverting enzyme (ACE) inhibitor, moexipril hydrochloride, and a diuretic, hydrochlorothiazide. Moexipril hydrochloride is a fine white to off-white powder. It is soluble (about 10% weight-tovolume) in distilled water at room temperature. It has the empirical formula C27H34N2O7·HCl and a molecular weight of 535.04. It is chemically described as [3S-[2[R*(R*)],3R*]]-2-[2-[[1(Ethoxycarbonyl)-3-phenyl-propyl]amino]-1-oxopropyl]-1,2,3,4-tetrahydro-6,7-dimethoxy-3isoquino-linecarboxylic acid, monohydrochloride. Moexipril hydrochloride is a non-sulfhydryl containing precursor of the active ACE inhibitor moexiprilat and its structural formula is:

Moexipril hydrochloride Structural Formula Illustration

Hydrochlorothiazide is a white, or practically white, crystalline powder. It is slightly soluble in water, freely soluble in sodium hydroxide solution, in n-butylamine and in dimethylformamide. Hydrochlorothiazide has the empirical formula C7H8CIN3O4S2 and a molecular weight of 297.75. It is chemically described as 2H-1,2,4-Benzothiadiazine-7-sulfonamide,6-chloro-3,4-dihydro-,1,1dioxide. Hydrochlorothiazide is a thiazide diuretic and its structural formula is:

Hydrochlorothiazide Structural Formula Illustration

Uniretic® is available for oral administration in three tablet strengths. The inactive ingredients in all strengths are lactose, magnesium oxide, crospovidone, magnesium stearate and gelatin. The film coating in all strengths contains hydroxypropyl cellulose, hypromellose, polyethylene glycol 6000, magnesium stearate and titanium dioxide. In addition, the film coating for uniretic® 7.5 mg / 12.5 mg and uniretic® 15 mg / 25 mg contains ferric oxide.

 

Indications

Uniretic® is indicated for treatment of patients with hypertension. This fixed combination is not indicated for the initial therapy of hypertension (see DOSAGE AND ADMINISTRATION).

In using uniretic®, consideration should be given to the fact that another ACE inhibitor, captopril, has caused agranulocytosis, particularly in patients with renal impairment or collagen-vascular disease. Available data are insufficient to show that uniretic® does not have a similar risk (see WARNINGS, Neutropenia/ Agranulocytosis). In addition, ACE inhibitors, for which adequate data are available, cause a higher rate of angioedema in black than in nonblack patients (see WARNINGS, Angioedema).

 

Dosage

DOSAGE AND ADMINISTRATION

Moexipril and hydrochlorothiazide are effective treatments for hypertension. The recommended dosage range of moexipril is 7.5 to 30 mg daily, administered in a single or two divided doses one hour before meals, while hydrochlorothiazide is effective in a dosage of 12.5 to 50 mg daily.

The side effects (see WARNINGS) of moexipril are generally rare and apparently independent of dose; those of hydrochlorothiazide are a mixture of dose-dependent phenomena (primarily hypokalemia) and dose-independent phenomena (e.g., pancreatitis), the former much more common than the latter. Therapy with any combination of moexipril and hydrochlorothiazide will be associated with both sets of dose-independent side effects, but regimens in which moexipril is combined with low doses of hydrochlorothiazide produce minimal effects on serum potassium. In uniretic® controlled clinical trials, the average change in serum potassium was near zero in subjects who received 3.75 mg / 6.25 mg or 7.5 mg / 12.5 mg, but subjects who received 15 mg / 12.5 mg or 15 mg / 25 mg experienced a mild decrease in serum potassium, similar to that experienced by subjects who received the same dose of hydrochlorothiazide monotherapy. To minimize dose-independent side effects, it is usually appropriate to begin combination therapy only after a patient has failed to achieve the desired effect with monotherapy.

Dose Titration Guided by Clinical Effect

A patient whose blood pressure is not adequately controlled with either moexipril or hydrochlorothiazide monotherapy may be given uniretic® 7.5 mg / 12.5 mg, uniretic® 15 mg / 12.5 mg or uniretic® 15 mg / 25 mg one hour before a meal. Further increases of moexipril, hydrochlorothiazide or both depend on clinical response. The hydrochlorothiazide dose should generally not be increased until 2-3 weeks have elapsed.

Total daily doses above 30 mg / 50 mg a day have not been studied in hypertensive patients. Patients whose blood pressures are adequately controlled with 25 mg of hydrochlorothiazide daily, but who experience significant potassium loss with this regimen, may achieve blood pressure control without electrolyte disturbance if they are switched to moexipril 3.75 mg/hydrochlorothiazide 6.25 mg (onehalf of the uniretic® 7.5 mg / 12.5 mg tablet). For patients who experience an excessive reduction in blood pressure with uniretic® 7.5 mg / 12.5 mg, the physician may consider prescribing moexipril 3.75 mg/hydrochlorothiazide 6.25 mg.

Replacement Therapy

The combination may be substituted for the titrated individual active ingredients.

Use in Renal Impairment

The usual dosage regimen of uniretic® does not need to be adjusted as long as the patient's creatinine clearance is > 40 mL/min/1.73 m² (serum creatinine approximately ≤ 3 mg/dL or 265 μmol/L). In patients with more severe renal impairment, loop diuretics are preferred to thiazides, so uniretic® is not recommended (see PRECAUTIONS, General).

 

HOW SUPPLIED

Uniretic® (moexipril hydrochloride/hydrochlorothiazide) 7.5 mg / 12.5 mg tablets are yellow, oval, film-coated and scored with engraved code 712 on the unscored side and S and P on either side of the score. They are supplied as follows:

Bottles of 100 NDC 0091-3712-01

Uniretic® (moexipril hydrochloride/hydrochlorothiazide) 15 mg / 12.5 mg tablets are white, oval, film-coated and scored with engraved code 720 on the unscored side and S and P on either side of the score. They are supplied as follows:

Bottles of 100 NDC 0091-3720-01

Uniretic® (moexipril hydrochloride/hydrochlorothiazide) 15 mg / 25 mg tablets are yellow, oval, film-coated and scored with engraved code 725 on the unscored side and S and P on either side of the score. They are supplied as follows:

Bottles of 100 NDC 0091-3725-01

Store, tightly closed, at controlled room temperature 20° to 25°C (68° to 77°F). Protect from excessive moisture.

If product package is subdivided, dispense in tight containers as described in USP-NF.

Manufactured for: UCB, Inc. Smyrna, GA 30080. Rev. 2012

 

Side Effects

Uniretic® has been evaluated for safety in more than 1140 patients with hypertension with more than 120 treated for more than one year. uniretic® has not demonstrated a potential for causing adverse experiences different from those previously associated with other ACE inhibitor/diuretic combinations. The overall incidence of reported adverse events was slightly less in patients treated with uniretic® than patients treated with placebo.

Adverse experiences were usually mild and transient, and there was no relationship between adverse experiences and gender, race, age, or total daily dosage (except for serum potassium decreases at 50 mg hydrochlorothiazide) within the moexipril/ hydrochlorothiazide dosage range of 3.75 mg / 3.125 mg to 30 mg / 50 mg. Discontinuation of therapy due to adverse experiences was required in 5.3% of patients treated with uniretic® and in 8.4% of patients treated with placebo. The most common reasons for discontinuation of therapy with uniretic® were cough (0.5%) and dizziness (0.5%).

All adverse experiences considered at least possibly related to treatment that occurred at any dose in placebo-controlled trials of once-daily dosing in more than 1% of patients treated with uniretic® and that were at least as frequent in the uniretic® group as in the placebo group are shown in the following table.

Adverse Events in Placebo-Controlled Trials

ADVERSE EVENT UNIRETIC
(N=506)
N (%)
PLACEBO
(N=202)
N (%)
Cough 15 (3)

2 (1)
Dizziness 7 (1.4)
2 (1)
Fatigue 5 (1)
1 (0.5)

Other adverse experiences occurring in more than 1% of patients treated with uniretic® in controlled or uncontrolled trials, some of which were of uncertain drug relationship, listed in decreasing frequency include: upper respiratory infection, headache, pain, flu syndrome, pharyngitis, hyperuricemia, diarrhea, back pain, rhinitis, sinusitis, abnormal ECG, infection, abdominal pain, chest pain, dyspepsia, hyperglycemia, hypokalemia, rash, vertigo, nausea, hypertonia, increased SGPT, urinary tract infection, impotence, peripheral edema, pyuria, bronchitis, and fever. See WARNINGS and PRECAUTIONS for discussion of anaphylactoid reactions, angioedema, hypotension, neutropenia/agranulocytosis, fetal/neonatal morbidity and mortality, serum electrolyte imbalances, and cough.

The following adverse experiences, some of which are of uncertain drug relationship, were reported in uniretic® controlled or uncontrolled clinical trials in less than 1% of patients or have been attributed to other ACE inhibitors. Within each organ system, adverse experiences are listed in decreasing frequency.

Cardiovascular: palpitation, flushing, syncope, tachycardia, myocardial infarct, hypotension, postural hypotension, arrhythmia, first degree AV block, ventricular extrasystoles, atrial fibrillation, migraine, hemorrhage, sinus bradycardia, bigeminy, bradycardia, bundle branch block, heart arrest, myocardial ischemia, peripheral vascular disorder, prolonged QT interval, inverted T wave, ventricular fibrillation

Dermatologic: eczema, pruritus, sweating, acne, dry skin, herpes simplex, contact dermatitis, herpes zoster, psoriasis, alopecia, angioedema, erythema nodosum, fungal dermatitis, furunculosis, maculopapular rash, purpuric rash, skin carcinoma, subcutaneous nodule, urticaria, pemphigus

Gastrointestinal: vomiting, constipation, gastroenteritis, periodontal abscess, cholelithiasis, gastritis, gingivitis, esophagitis, flatulence, anorexia, colitis, dysphagia, tooth caries, cheilitis, enteritis, eructation, gastrointestinal carcinoma, gastrointestinal hemorrhage, glossitis, increased appetite, jaundice, melena, rectal hemorrhage, stomatitis, tongue discoloration, tongue edema

Hematologic: anemia, hypochromic anemia, leukopenia, abnormal erythrocytes, ecchymosis, lymphocytosis, hemolysis, lymphadenopathy, eosinophilia, petechia, abnormal WBC, hemolytic anemia

Metabolic: hyperlipemia, increased SGOT, gout, bilirubinemia, increased creatinine, hypercholesterolemia, increased BUN, increased CPK, diabetes mellitus, hyponatremia, thirst, edema, increased alkaline phosphatase, increased amylase, dehydration, decreased glucose tolerance, goiter, hypercalcemia, hyperkalemia, hypocalcemia, hypochloremia, hypoproteinemia, weight gain

Neurologic/Psychiatric: insomnia, postural dizziness, somnolence, dry mouth, anxiety, nervousness, paresthesia, depression, neuritis, hypesthesia, decreased libido, neuralgia, amnesia, ataxia, cerebral infarct, emotional lability, facial paralysis, hypokinesia, neurosis, vocal cord paralysis

Renal: albuminuria, urinary frequency, hematuria, glycosuria, cystitis, dysuria, nocturia, polyuria, kidney calculus, pyelonephritis, urate crystalluria, urinary casts, urinary retention

Respiratory: epistaxis, pneumonia, dyspnea, asthma, lung carcinoma, hemoptysis, laryngitis, voice alteration, eosinophilic pneumonitis

Urogenital: vaginal hemorrhage, breast carcinoma, scrotal edema, vaginitis, breast enlargement, breast pain, dysmenorrhea, leukorrhea

Other: asthenia, conjunctivitis, myalgia, arthralgia, arthrosis, hernia, neck pain, cyst, tenosynovitis, abnormal vision, allergic reaction, arthritis, cataract, cellulitis, moniliasis, otitis media, eye hemorrhage, chills, abscess, bursitis, deafness, ear pain, glaucoma, iritis, neck rigidity, photosensitivity, retinal degeneration, tinnitus

Monotherapy with moexipril has been evaluated for safety in over 3000 patients. In clinical trials, the observed adverse experiences with moexipril were similar to those seen in the uniretic® trials.

Hydrochlorothiazide: The following adverse reactions have been reported with hydrochlorothiazide and, within each organ system, are listed by decreasing severity.

Cardiovascular: orthostatic hypotension (may be potentiated by alcohol, barbiturates, or narcotics)

Gastrointestinal: pancreatitis, jaundice (intrahepatic cholestatic, see WARNINGS), sialadenitis, vomiting, diarrhea, cramping, nausea, gastric irritation, constipation, anorexia

Neurologic/Psychiatric: vertigo, dizziness, transient blurred vision, headache, paresthesia, xanthopsia, weakness, restlessness

Musculoskeletal: muscle spasm

Hematologic: aplastic anemia, agranulocytosis, leukopenia, thrombocytopenia

Metabolic: hyperglycemia, glycosuria, hyperuricemia

Hypersensitivity: necrotizing angiitis, Stevens-Johnson syndrome, respiratory distress including pneumonitis and pulmonary edema, purpura, urticaria, rash, photosensitivity

Clinical Laboratory Test Findings

Serum Electrolytes

See PRECAUTIONS, General.

Creatinine and Blood Urea Nitrogen

As with other ACE inhibitors, minor increases in blood urea nitrogen or serum creatinine, reversible upon discontinuation of therapy, were observed in less than 1% of patients with essential hypertension who were treated with uniretic®. Increases are more likely to occur in patients with compromised renal function (see PRECAUTIONS, General).

Other (causal relationship unknown)

Clinically important changes in standard laboratory tests were rarely associated with uniretic® administration.

 

Drug Interactions

Potassium Supplements and Potassium-Sparing Diuretics

As noted above (Serum Electrolyte Imbalances), the net effect of uniretic® may be to elevate a patient's serum potassium, to reduce it, or to leave it unchanged. Potassium-sparing diuretics (spironolactone, amiloride, triamterene) or potassium supplements can increase the risk of hyperkalemia. If concomitant use of such agents is indicated, they should be given with caution, and the patient's serum potassium should be monitored.

Oral Anticoagulants

Interaction studies with warfarin failed to identify any clinically important effect of moexipril monotherapy on the serum concentrations of the anticoagulant or on its anticoagulant effect.

Lithium

Increased serum lithium levels and symptoms of lithium toxicity have been reported in patients receiving ACE inhibitors during therapy with lithium. Because renal clearance of lithium is reduced by thiazides, the risk of lithium toxicity is presumably raised further when, as in therapy with uniretic®, a thiazide diuretic is coadministered with the ACE inhibitor. These drugs should be coadministered with caution, and frequent monitoring of serum lithium levels is recommended.

Gold

Nitritoid reactions (symptoms include facial flusing, nausea, vomiting and hypotension) have been reported rarely in patients on therapy with injectable gold (sodium aurothiomalate) and concomitant ACE inhibitor therapy including uniretic®.

Alcohol, Barbiturates, or Narcotics

Potentiation of orthostatic hypotension may occur in patients on thiazide diuretic therapy with concomitant use of alcohol, barbiturates, or narcotics.

Antidiabetic Agents

Use of thiazide diuretics concomitantly with antidiabetic agents (oral agents and insulin) may require dosage adjustment of the antidiabetic agent. Moexipril has been used in clinical trials concomitantly with oral hypoglycemic agents and there was no evidence of any clinically important adverse interactions.

Cholestyramine and Colestipol Resins

Absorption of hydrochlorothiazide is impaired in the presence of anionic exchange resins. Single doses of either cholestyramine or colestipol resins bind the hydrochlorothiazide and reduce its absorption from the gastrointestinal tract by up to 85% and 43%, respectively.

Corticosteroids, ACTH

Use of thiazide diuretics concomitantly with corticosteroids or ACTH may intensify electrolyte depletion, particularly hypokalemia.

Pressor Amines: Thiazide diuretics may decrease arterial responsiveness to pressor amines (e.g. norepinephrine), but not enough to preclude effectiveness of the pressor agent for therapeutic use.

Skeletal Muscle Relaxants, Nondepolarizing

Thiazide diuretics may increase the responsiveness to tubocurarine.

Non-Steroidal Anti-Inflammatory Agents including Selective Cyclooxygenase-2 Inhibitors (COX-2 Inhibitors)

In patients who are elderly, volume-depleted (including those on diuretic therapy), or with compromised renal function, co-administration of NSAIDS, including selective COX-2 inhibitors, with ACE inhibitors, including moexipril, may result in deterioration of renal function, including possible acute renal failure. These effects are usually reversible. Monitor renal function periodically in patients receiving moexipril and NSAID therapy.

The antihypertensive effect of ACE inhibitors and hydrochlorothiazide, as well as the diuretic and natriuretic effects of hydrochlorothiazide, may be attenuated by NSAIDS.

Dual Blockade of the Renin-Angiotensin System (RAS)

Dual blockade of the RAS with angiotensin receptor blockers, ACE inhibitors, or aliskiren is associated with increased risks of hypotension, hyperkalemia, and changes in renal function (including acute renal failure) compared to monotherapy. Closely monitor blood pressure, renal function and electrolytes in patients on uniretic® and other agents that affect the RAS.

Do not co-administer aliskiren with uniretic® in patients with diabetes. Avoid use of aliskiren with uniretic® in patients with renal impairment (GFR < 60 mL/min).

Other Agents

No clinically important pharmacokinetic interactions occurred when moexipril was administered concomitantly with digoxin or cimetidine.

Moexipril has been used in clinical trials concomitantly with calcium-channel-blocking agents, diuretics, H2 blockers, digoxin, and cholesterol-lowering agents. There was no evidence of clinically important adverse interactions. In general, ACE inhibitors have less than additive effects with betaadrenergic blockers, presumably because both work by inhibiting the renin-angiotensin system.

Coadministration of propantheline or guanabenz increased the absorption of hydrochlorothiazide.

 

Warnings

Anaphylactoid and Possibly Related Reactions

Presumably because angiotensin-converting enzyme inhibitors affect the metabolism of eicosanoids and polypeptides, including endogenous bradykinin, patients receiving ACE inhibitors, including uniretic®, may be subject to a variety of adverse reactions, some of them serious.

Head and Neck Angioedema

Angioedema involving the face, extremities, lips, tongue, glottis, and/or larynx has been reported in patients treated with ACE inhibitors, including moexipril. Symptoms suggestive of angioedema or facial edema occurred in < 0.5% of moexipril-treated patients in placebo-controlled trials. None of the cases were considered life-threatening and all resolved either without treatment or with medication (antihistamines or glucocorticoids). One patient treated with hydrochlorothiazide alone experienced laryngeal edema. No instances of angioedema were reported in placebo-treated patients.

In cases of angioedema, treatment with uniretic® should be promptly discontinued and the patient carefully observed until the swelling disappears. In instances where swelling has been confined to the face and lips, the condition has generally resolved without treatment, although antihistamines have been useful in relieving symptoms.

Angioedema associated with involvement of the tongue, glottis, or larynx may be fatal due to airway obstruction. Appropriate therapy, e.g., subcutaneous epinephrine solution 1:1000 (0.3 to 0.5 mL) and/or measures to ensure a patent airway, should be promptly provided (see ADVERSE REACTIONS).

Intestinal Angioedema

Intestinal angioedema has been reported in patients treated with ACE inhibitors. These patients presented with abdominal pain (with or without nausea or vomiting); in some cases there was no prior history of facial angioedema and C-1 esterase levels were normal. The angioedema was diagnosed by procedures including abdominal CT scan or ultrasound, or at surgery, and symptoms resolved after stopping the ACE inhibitor. Intestinal angioedema should be included in the differential diagnosis of patients on ACE inhibitors presenting with abdominal pain.

Anaphylactoid Reactions During Desensitization

Two patients undergoing desensitizing treatment with hymenoptera venom while receiving ACE inhibitors sustained life-threatening anaphylactoid reactions. In the same patients, these reactions did not occur when ACE inhibitors were temporarily withheld, but they reappeared when the ACE inhibitors were inadvertently readministered.

Anaphylactoid Reactions During Membrane Exposure

Anaphylactoid reactions have been reported in patients dialyzed with high-flux membranes and treated concomitantly with an ACE inhibitor. Anaphylactoid reactions have also been reported in patients undergoing low-density lipoprotein apheresis with dextran sulfate absorption.

Hypotension

Uniretic® can cause symptomatic hypotension, although, as with other ACE inhibitors, this is unusual in uncomplicated hypertensive patients treated with uniretic® alone. Symptomatic hypotension is most likely to occur in patients who have been salt- and/or volume-depleted as a result of prolonged diuretic therapy, dietary salt restriction, dialysis, diarrhea, or vomiting. Volume- and/or salt-depletion should be corrected before initiating therapy with uniretic® (see ADVERSE REACTIONS).

The thiazide component of uniretic® may potentiate the action of other antihypertensive drugs, especially ganglionic or peripheral adrenergic-blocking drugs. The antihypertensive effects of the thiazide component may also be enhanced in the postsympathectomy patient.

In patients with congestive heart failure, with or without associated renal insufficiency, ACE inhibitor therapy may cause excessive hypotension, which may be associated with oliguria or progressive azotemia, and rarely, with acute renal failure and death. In these patients, uniretic® therapy should be started under close medical supervision, and patients should be followed closely for the first two weeks of treatment and whenever the dose of uniretic® is increased. Care in avoiding hypotension should also be taken in patients with ischemic heart disease, aortic stenosis, or cerebrovascular disease, in whom an excessive decrease in blood pressure could result in a myocardial infarction or a cerebrovascular accident.

If hypotension occurs, the patient should be placed in a supine position and, if necessary, treated with an intravenous infusion of normal saline. uniretic® treatment usually can be continued following restoration of blood pressure and volume.

Impaired Renal Function

Uniretic® should be used with caution in patients with severe renal disease. Thiazide diuretics may precipitate azotemia in such patients and the effects of repeated dosing may be cumulative.

As a consequence of inhibition of the renin-angiotensin-aldosterone system, changes in renal function may be anticipated in susceptible individuals. There is no clinical experience of uniretic® in the treatment of hypertension in patients with renal failure.

Some hypertensive patients with no apparent preexisting renal vascular disease have developed increases in blood urea nitrogen and serum creatinine, usually minor and transient, especially when moexipril has been given concomitantly with a thiazide diuretic. This is more likely to occur in patients with preexisting renal impairment. There may be a need for dose adjustment of uniretic®. Evaluation of hypertensive patients should always include assessment of renal function (see DOSAGE AND ADMINISTRATION).

In hypertensive patients with severe congestive heart failure, whose renal function may depend on the activity of the renin-angiotensin-aldosterone system, treatment with ACE inhibitors, including moexipril, may be associated with oliguria and/or progressive azotemia and, rarely, acute renal failure and/or death.

In hypertensive patients with unilateral or bilateral renal artery stenosis, increases in blood urea nitrogen and serum creatinine have been observed in some patients following ACE inhibitor therapy. These increases were almost always reversible upon discontinuation of the ACE inhibitor and/or diuretic therapy. In such patients, renal function should be monitored during the first few weeks of therapy.

Neutropenia/Agranulocytosis

Another ACE inhibitor, captopril, has been shown to cause agranulocytosis and bone marrow depression, rarely in patients with uncomplicated hypertension, but more frequently in hypertensive patients with renal impairment, especially if they also have a collagen-vascular disease such as systemic lupus erythematosus or scleroderma. Although there were no instances of severe neutropenia (absolute neutrophil count < 500/mm³) among patients given moexipril, as with other ACE inhibitors, monitoring of white blood cell counts should be considered for patients who have collagen-vascular disease, especially if the disease is associated with impaired renal function. Available data from clinical trials of moexipril are insufficient to show that moexipril does not cause agranulocytosis at rates similar to captopril.

Fetal Toxicity

Pregnancy category D

Use of drugs that act on the renin-angiotensin system during the second and third trimesters of pregnancy reduces fetal renal function and increases fetal and neonatal morbidity and death. Resulting oligohydramnios can be associated with fetal lung hypoplasia and skeletal deformations. Potential neonatal adverse events include skull hypoplasia, anuria, hypotension, renal failure and death. When pregnancy is detected, discontinue uniretic® as soon as possible. These adverse outcomes are usually associated with use of these drugs in the second and third trimester of pregnancy. Most epidemiologic studies examining fetal abnormalities after exposure to antihypertensive use in the first trimester have not distinguished drugs affecting the renin-angiotensin system from other antihypertensive agents. Appropriate management of maternal hypertension during pregnancy is important to optimize outcomes for both mother and fetus.

In the unusual case that there is no appropriate alternative to therapy with drugs affecting the reninangiotensin system for a particular patient, apprise the mother of the potential risk to the fetus. Perform serial ultrasound examinations to assess the intra-amniotic environment. If oligohydramnios is observed, discontinue uniretic®, unless it is considered lifesaving for the mother. Fetal testing may be appropriate, based on the week of pregnancy. Patients and physicians should be aware, however, that oligohydramnios may not appear until after the fetus has sustained irreversible injury. Closely observe infants with histories of in utero exposure to uniretic® for hypotension, oliguria, and hyperkalemia (see PRECAUTIONS, Pediatric Use).

Intrauterine exposure to thiazide diuretics is associated with fetal or neonatal jaundice, thrombocytopenia, and possibly other adverse reactions that have occurred in adults.

Reproduction studies with the combination of moexipril hydrochloride and hydrochlorothiazide (ratio 7.5:12.5) indicated that the combination possessed no teratogenic properties up to the lethal dose of 800 mg/kg/day in rats and up to the maternotoxic dose of 160 mg/kg/day in rabbits.

Hepatic Failure

Rarely, ACE inhibitors have been associated with a syndrome that starts with cholestatic jaundice and progresses to fulminant hepatic necrosis and sometimes death. The mechanism of this syndrome is not understood. Patients receiving ACE inhibitors who develop jaundice or marked elevations of hepatic enzymes should discontinue the ACE Inhibitor and receive appropriate medical follow-up.

Impaired Hepatic Function

uniretic® should be used with caution in patients with impaired hepatic function or progressive liver disease, since minor alterations of fluid and electrolyte balance may precipitate hepatic coma. In patients with mild to moderate cirrhosis given single 15 mg doses of moexipril, the Cmax of moexipril was increased by about 50% and the AUC increased by about 120%, while the Cmax for moexiprilat was decreased by about 50% and the AUC increased by almost 300%. No formal pharmacokinetic studies have been carried out with uniretic® in hypertensive patients with impaired liver function.

Systemic Lupus Erythematosus

Thiazide diuretics have been reported to cause exacerbation or activation of systemic lupus erythematosus.

Acute Myopia and Secondary Angle-Closure Glaucoma

Hydrochlorothiazide, a sulfonamide, can cause an idiosyncratic reaction, resulting in acute transient myopia and acute angle-closure glaucoma. Symptoms include acute onset of decreased visual acuity or ocular pain and typically occur within hours to weeks of drug initiation. Untreated acute angle-closure glaucoma can lead to permanent vision loss. The primary treatment is to discontinue hydrochlorothiazide as rapidly as possible. Prompt medical or surgical treatments may need to be considered if the intraocular pressure remains uncontrolled. Risk factors for developing acute angle-closure glaucoma may include a history of sulfonamide or penicillin allergy.

 

Precautions

General

Serum Electrolyte Imbalances

In clinical trials with moexipril monotherapy, persistent hyperkalemia (serum potassium above 5.4 mEq/L) occurred in approximately 1.3% of hypertensive patients receiving moexipril. Risk factors for the development of hyperkalemia with ACE inhibitors include renal insufficiency, diabetes mellitus, and the concomitant use of potassium-sparing diuretics, potassium supplements, and/or potassium-containing salt substitutes.

Treatment with thiazide diuretics has been associated with hypokalemia, hyponatremia, and hypochloremic alkalosis. These disturbances sometimes manifest as one or more of the following: dryness of mouth, thirst, weakness, lethargy, drowsiness, restlessness, muscle pains or cramps, muscular fatigue, hypotension, oliguria, tachycardia, nausea, and vomiting. Hypokalemia has also been reported to sensitize or exaggerate the response of the heart to the toxic effects of digitalis. The risk of hypokalemia is greatest in patients with cirrhosis of the liver, in patients experiencing a brisk diuresis, in patients who are receiving inadequate oral intake of electrolytes, and in patients receiving concomitant therapy with corticosteroids or ACTH.

The opposite effects of moexipril and hydrochlorothiazide on serum potassium will approximately counterbalance each other in many patients, so that little net effect upon serum potassium will be seen. Initial and periodic determinations of serum electrolytes to detect possible electrolyte imbalance should be performed at appropriate intervals.

Chloride deficits generally are mild and require specific treatment only under extraordinary circumstances (e.g., in liver disease or renal disease). Dilutional hyponatremia may occur in edematous patients; appropriate therapy is water restriction rather than administration of salt, except in rare instances when the hyponatremia is life-threatening. In actual salt depletion, appropriate replacement is the therapy of choice.

Calcium excretion is reduced by thiazides. In a few patients on prolonged thiazide therapy, pathological changes in the parathyroid gland have been seen, with hypercalcemia and hypophosphatemia. More serious complications of hyperparathyroidism (renal lithiasis, bone resorption, and peptic ulceration) have not been seen. Thiazides enhance urinary excretion of magnesium and hypomagnesemia may result.

Other Metabolic Disturbances

Thiazide diuretics may reduce glucose tolerance and may raise serum levels of cholesterol, triglycerides, and uric acid. These effects are usually minor, but frank gout or overt diabetes may be precipitated in susceptible patients.

Surgery/Anesthesia

In patients undergoing major surgery or during anesthesia with agents that produce hypotension, moexipril may block the effects of compensatory renin release. If hypotension occurs in this setting and is considered to be due to this mechanism, it can be corrected by volume expansion.

Cough

Presumably due to the inhibition of the degradation of endogenous bradykinin, persistent nonproductive cough has been reported with all ACE inhibitors, always resolving after discontinuation of therapy. ACE inhibitor-induced cough should be considered in the differential diagnosis of cough. In placebo-controlled trials with uniretic®, cough was present in 3% of uniretic® patients and 1% of patients given placebo.

Carcinogenesis, Mutagenesis, Impairment of Fertility

Moexipril Hydrochloride

No evidence of carcinogenicity was detected in long-term studies when moexipril was administered to mice and rats at doses up to 14 or 27.3 times the Maximum Recommended Human Dose (MRHD) on a mg/m² basis. No mutagenicity was detected in the Ames test and microbial reverse mutation assay, with and without metabolic activation, or in an in vivo nucleus anomaly test. However, increased chromosomal aberration frequency in Chinese hamster ovary (CHO) cells was detected under metabolic activation conditions at a 20-hour harvest time. Reproduction studies have been performed in rabbits at oral doses up to 0.7 times the MRHD on a mg/m² basis, and in rats up to 90.9 times the MRHD on a mg/m² basis. No indication of impaired fertility, reproductive toxicity, or teratogenicity was observed.

Hydrochlorothiazide

Under the auspices of the National Toxicology Program, rats and mice received hydrochlorothiazide in their feed for two years, at doses up to 600 mg/kg/day in mice and up to 100 mg/kg/day in rats. These studies uncovered no evidence of a carcinogenic potential of hydrochlorothiazide in rats or female mice, but there was equivocal evidence of hepatocarcinogenicity in male mice. Hydrochlorothiazide was not genotoxic in in vitro assays using strains TA 98, TA 100, TA 1535, TA 1537, and TA 1538 of Salmonella typhimurium (the Ames test); in the CHO test for chromosomal aberrations; or in in vivo assays using mouse germinal cell chromosomes, Chinese hamster bone marrow chromosomes; and the Drosophila sex-linked recessive lethal trait gene. Positive test results were obtained in the in vitro CHO Sister Chromatid Exchange (clastogenicity) test and in the Mouse Lymphoma Cell (mutagenicity) assays, using concentrations of hydrochlorothiazide of 43–1300 mcg/mL. Positive test results were also obtained in the Aspergillus nidulans nondisjunction assay, using an unspecified concentration of hydrochlorothiazide.

Hydrochlorothiazide had no adverse effects on the fertility of mice and rats of either sex in studies wherein these species were exposed, via their diets, to doses up to 100 and 4 mg/kg/day, respectively, prior to mating and throughout gestation.

Nursing Mothers

It is not known whether moexipril or moexiprilat is excreted in human milk. Thiazides are excreted in human milk. Because of the potential for serious adverse reactions in nursing infants from hydrochlorothiazide and the unknown effects of moexipril or moexiprilat in infants, a decision should be made whether to discontinue nursing or to discontinue uniretic®, taking into account the importance of the drug to the mother.

Pediatric Use

Neonates with a history of in utero exposure to uniretic®: If oliguria or hypotension occurs, direct attention toward support of blood pressure and renal perfusion. Exchange transfusions or dialysis may be required as a means of reversing hypotension and/or substituting for disordered renal function.

Safety and effectiveness of uniretic® in pediatric patients have not been established.

Geriatric Use

Of the patients who received uniretic® in controlled clinical studies, 24% were 65 years of age or older. No overall differences in effectiveness or safety were observed between these patients and younger patients. In elderly patients receiving moexipril, plasma levels of drug are slightly higher and renal clearance is reduced when compared to younger patients, but these effects did not have detectable consequences. Hydrochlorothiazide is known to be substantially excreted by the kidney, and the risk of toxic reactions to this drug may be greater in patients with impaired renal function. Because elderly patients are more likely to have decreased renal function, care should be taken in dose selection, and it may be useful to monitor renal function.

 

Overdosage & Contraindications

OVERDOSE

No specific information is available on the treatment of overdosage with uniretic®. Treatment should be symptomatic and supportive. Therapy with uniretic® should be discontinued and the patient observed closely. Suggested measures include induction of emesis and/or gastric lavage and correction of dehydration, electrolyte imbalance and hypotension by established procedures.

Single oral doses of 2 g/kg moexipril were associated with significant lethality in mice. Rats, however, tolerated single oral doses of up to 3 g/kg. The oral LD50 of hydrochlorothiazide is greater than 10 g/kg in mice and rats. For the combination of moexipril hydrochloride and hydrochlorothiazide (ratio 7.5:12.5), the approximate LD50 was around 10 g/kg for mice and above 10 g/kg for rats. Addition of hydrochlorothiazide to moexipril hydrochloride did not increase the acute toxicity due to moexipril hydrochloride.

Human overdoses of moexipril have not been reported. In case reports of overdoses with other ACE inhibitors, hypotension has been the principal adverse effect noted. The most common signs and symptoms observed with an overdose of hydrochlorothiazide have been those of dehydration and electrolyte depletion (hypokalemia, hypochloremia, hyponatremia). If digitalis has also been administered, hypokalemia may accentuate cardiac arrhythmias.

No data are available to suggest that physiological maneuvers (e.g., maneuvers to change the pH of the urine) would accelerate elimination of moexipril and its metabolites. The dialyzability of moexipril is not known.

Angiotensin II could presumably serve as a specific antagonist-antidote in the setting of moexipril overdose, but angiotensin II is essentially unavailable outside of research facilities. Because the hypotensive effect of moexipril is achieved through vasodilation and effective hypovolemia, it is reasonable to treat moexipril overdose by infusion of normal saline solution. In addition, renal function and serum potassium should be monitored.

 

CONTRAINDICATIONS

Uniretic® is contraindicated in patients who are hypersensitive to any component of this product and in patients with a history of angioedema related to previous treatment with an ACE inhibitor. Because of the hydrochlorothiazide component, this product is contraindicated in patients with anuria or hypersensitivity to other sulfonamide-derived drugs. Hypersensitivity reactions are more likely to occur in patients with a history of allergy or bronchial asthma.

Do not co-administer aliskiren with Uniretic in patients with diabetes (see PRECAUTIONS: DRUG INTERACTIONS).

 

Clinical Pharmacology

Mechanism of Action

Moexipril Hydrochloride

Moexipril hydrochloride is a prodrug for moexiprilat, which inhibits ACE in humans and animals. The mechanism through which moexiprilat lowers blood pressure is believed to be primarily inhibition of ACE activity. ACE is a peptidyl dipeptidase that catalyzes the conversion of the inactive decapeptide angiotensin I to the vasoconstrictor substance angiotensin II. Angiotensin II is a potent peripheral vasoconstrictor that also stimulates aldosterone secretion by the adrenal cortex and provides negative feedback on renin secretion. ACE is identical to kininase II, an enzyme that degrades bradykinin, an endothelium-dependent vasodilator. Moexiprilat is about 1000 times as potent as moexipril in inhibiting ACE and kininase II. Inhibition of ACE results in decreased angiotensin II formation, leading to decreased vasoconstriction, increased plasma renin activity, and decreased aldosterone secretion. The latter results in diuresis and natriuresis and a small increase in serum potassium concentration (mean increases of about 0.25 mEq/L were seen when moexipril was used alone).

Whether increased levels of bradykinin, a potent vasodepressor peptide, play a role in the therapeutic effects of moexipril remains to be elucidated. Although the principal mechanism of moexipril in blood pressure reduction is believed to be through the renin-angiotensin-aldosterone system, ACE inhibitors have some effect on blood pressure even in apparent low-renin hypertension. As is the case with other ACE inhibitors, however, the antihypertensive effect of moexipril is smaller in black patients, a predominantly low-renin population, than in nonblack hypertensive patients. Although moexipril monotherapy is less effective in blacks than in nonblacks, the efficacy of combination therapy appears to be independent of race.

Hydrochlorothiazide

Hydrochlorothiazide is a thiazide diuretic and antihypertensive. Thiazides affect the distal renal tubular mechanisms of electrolyte reabsorption, directly increasing excretion of sodium and chloride in approximately equivalent amounts. Indirectly, the diuretic action of hydrochlorothiazide reduces plasma volume, with consequent increases in plasma renin activity, increases in aldosterone secretion, increases in urinary potassium loss, and decreases in serum potassium. The reninaldosterone link is mediated by angiotensin, so coadministration of an ACE inhibitor tends to reverse the potassium loss associated with these diuretics. The mechanism of the antihypertensive effect of thiazides is unknown.

Pharmacokinetics

Moexipril-Hydrochlorothiazide

Following oral administration of uniretic®, the moexipril peak plasma concentration was reached within 0.8 hour and the peak plasma concentration of moexiprilat occurred 1.6 hours after administration. After reaching the peak plasma level (Cmax), moexiprilat plasma concentrations decreased biphasically. After administration of uniretic®, renal excretion of unchanged hydrochlorothiazide is about 60% in 24 hours. The pharmacokinetics of moexipril and hydrochlorothiazide after administration of uniretic® are not different, respectively, from the pharmacokinetics of moexipril and hydrochlorothiazide from immediate-release monotherapy formulations.

Moexipril Hydrochloride

Moexipril's antihypertensive activity is almost entirely due to its deesterified metabolite, moexiprilat. Bioavailability of oral moexipril is about 13% compared to intravenous (I.V.) moexipril (both measuring the metabolite moexiprilat), and is markedly affected by food, which reduces Cmax and AUC (see Absorption). Moexipril should therefore be taken in a fasting state. The time of peak plasma concentration (Tmax) of moexiprilat is about 1 ½ hours and elimination half-life (t1/2) is estimated at 2 to 9 hours in various studies, the variability reflecting a complex elimination pattern that is not simply exponential. Like all ACE inhibitors, moexiprilat has a prolonged terminal elimination phase, presumably reflecting slow release of drug bound to the ACE. Accumulation of moexiprilat with repeated dosing is minimal, about 30%, compatible with a functional elimination t1/2 of about 12 hours. Over the dose range of 7.5 to 30 mg, pharmacokinetics are approximately dose proportional.

Absorption

Moexipril is incompletely absorbed, with bioavailability as moexiprilat of about 13%. Bioavailability varies with formulation and food intake which reduces Cmax and AUC of moexiprilat by about 70% and 40% respectively after the ingestion of a low-fat breakfast or by 80% and 50% respectively after the ingestion of a high-fat breakfast.

Distribution

The clearance (CL) for moexipril is 441 mL/min and for moexiprilat 232 mL/min with a t1/2 of 1.3 and 9.8 hours, respectively. Moexiprilat is about 50% protein bound. The volume of distribution of moexiprilat is about 2.8 L/kg.

Metabolism and Excretion

Moexipril is relatively rapidly converted to its active metabolite moexiprilat, but persists longer than some other ACE inhibitor prodrugs, such that its t1/2 is over one hour and it has a significant AUC. Both moexipril and moexiprilat are converted to diketopiperazine derivatives and unidentified metabolites. After I.V. administration of moexipril, about 40% of the dose appears in urine as moexiprilat, about 26% as moexipril, with small amounts of the metabolites; about 20% of the I.V. dose appears in feces, principally as moexiprilat. After oral administration, only about 7% of the dose appears in urine as moexiprilat, about 1% as moexipril, with about 5% as other metabolites. Fifty-two percent of the dose is recovered in feces as moexiprilat and 1% as moexipril.

Special Populations

Decreased Renal Function: The effective elimination t1/2 and AUC of both moexipril and moexiprilat are increased with decreasing renal function. There is insufficient information available to characterize this relationship fully, but at creatinine clearances in the range of 10 to 40 mL/min, the t1/2 of moexiprilat is increased by a factor of 3 to 4.

Decreased Hepatic Function: In patients with mild to moderate cirrhosis given single 15 mg doses of moexipril, the Cmax of moexipril was increased by about 50% and the AUC increased by about 120%, while the Cmax for moexiprilat was decreased by about 50% and the AUC increased by almost 300%.

Elderly Patients: In elderly male subjects (65-80 years old) with clinically normal renal and hepatic function, the AUC and Cmax of moexiprilat are about 30% greater than in younger subjects (19-42 years old).

Pharmacokinetic Interactions With Other Drugs: No clinically important pharmacokinetic interactions occurred when moexipril was administered concomitantly with hydrochlorothiazide, digoxin, or cimetidine.

Hydrochlorothiazide

Absorption: After oral administration, 60-80% of a single dose of hydrochlorothiazide is absorbed. The reported studies of food effects on hydrochlorothiazide absorption have been inconclusive. The absorption of hydrochlorothiazide is reported to be reduced by 50% in patients with congestive heart failure. Hydrochlorothiazide exhibits dose proportionality over the dose range of 12.5 to 75 mg.

Distribution: The apparent volume of distribution has been observed to vary between 1.5-4.2 L/kg. Hydrochlorothiazide accumulates in red blood cells, so that whole blood levels are higher than those measured in plasma. Equilibrium between whole blood levels and plasma levels is reached 4 hours after oral administration. Hydrochlorothiazide crosses the placental barrier. Hydrochlorothiazide has a protein binding of 21-24%.

Metabolism and Excretion: Hydrochlorothiazide is not metabolized. Hydrochlorothiazide is eliminated rapidly by the kidney. More than 60 percent of the oral dose is eliminated unchanged within 24 hours. When plasma levels have been followed for at least 24 hours, the plasma half-life has been observed to vary between 5.6 and 14.8 hours. The renal clearance has been observed to vary between 3.1-5.5 mL/min/kg.

Special Populations

Decreased Renal Function: In a study of patients with impaired renal function (mean creatinine clearance of 19 mL/min), the elimination half-life of hydrochlorothiazide was increased to 21 hours.

Pharmacokinetic Interactions With Other Drugs: Coadministration of propantheline or guanabenz increased the absorption of hydrochlorothiazide and coadministration of cholestyramine or colestipol decreased the absorption of hydrochlorothiazide.

Pharmacodynamics and Clinical Effect

Moexipril - Hydrochlorothiazide

In uniretic® clinical trials using moexipril doses of 3.75-30 mg and hydrochlorothiazide doses of 3.125-50 mg, the antihypertensive effects were sustained for at least 24 hours and they increased with increasing dose of either component. The extent of blood pressure reduction seen with uniretic® was approximately additive as compared to monotherapy of each component. The antihypertensive effects of uniretic® continue during therapy for up to 24 months. The effectiveness of uniretic® was not significantly influenced by patient age or gender. Although moexipril monotherapy is less effective in blacks than in nonblacks, the efficacy of uniretic® appears to be independent of race.

By blocking the renin-angiotensin-aldosterone axis, administration of moexipril tends to reduce the potassium loss associated with hydrochlorothiazide. In uniretic® controlled clinical trials, the average change in serum potassium was near zero in subjects who received 3.75 mg / 6.25 mg or 7.5 mg / 12.5 mg, but subjects who received 15 mg / 12.5 mg or 15 mg / 25 mg experienced a mild decrease in serum potassium, similar to that experienced by subjects who received the same dose of hydrochlorothiazide monotherapy.

Moexipril Hydrochloride

Single and multiple doses of 15 mg or more of moexipril give sustained inhibition of plasma ACE activity of 80-90%, beginning within 2 hours and lasting 24 hours (80%).

In controlled trials, the peak effects of orally administered moexipril increased with the dose administered over a dose range of 7.5 to 60 mg, given once a day. Antihypertensive effects were first detectable about 1 hour after dosing, with a peak effect between 3 and 6 hours after dosing. Just before dosing (i.e., at trough), the antihypertensive effects were less prominently related to dose and the antihypertensive effect tended to diminish during the 24-hour dosing interval when the drug was administered once a day.

In multiple-dose studies in the dose range of 7.5 to 30 mg once daily, moexipril lowered sitting blood pressure at trough by 4-11/3-6 mmHg more than placebo, a tendency toward increased response with higher doses. These effects are typical of ACE inhibitors; there are no trials of adequate size comparing moexipril with other antihypertensive agents.

Higher doses of moexipril generally leave a greater fraction of the peak blood pressure effect still present at trough. During dose titration, any decision as to the adequacy of a dosing regimen should be based on trough blood pressure measurements. If diastolic blood pressure control is not adequate at the end of the dosing interval, the dose can be increased or given as a divided (BID) regimen.

During chronic therapy, the antihypertensive effect of any dose of moexipril is generally evident within 2 weeks of treatment, with maximal reduction after 4 weeks. The antihypertensive effects of moexipril have been proven to continue during therapy for up to 24 months.

Moexipril, like other ACE inhibitors, is less effective in decreasing trough blood pressures in blacks than in nonblacks. Placebo-corrected trough group diastolic blood pressure effects in blacks in the proposed dose range were +1 to -3 mmHg compared with responses in nonblacks of -4 to -6 mmHg.

The effectiveness of moexipril was not significantly influenced by patient age, gender, or weight. Moexipril has been shown to have antihypertensive activity in both pre- and postmenopausal women who have participated in placebo-controlled clinical trials.

 

Medication Guide

PATIENT INFORMATION

Food

Patients should be advised to take uniretic® one hour before a meal (see CLINICAL PHARMACOLOGY and DOSAGE AND ADMINISTRATION).

Angioedema

Angioedema, including laryngeal edema, may occur with treatment with ACE inhibitors, usually occurring early in therapy (within the first month). Patients should be so advised and told to report immediately any signs or symptoms suggesting angioedema (swelling of the face, extremities, eyes, lips, tongue, difficulty in breathing) and to take no more drug until they have consulted with the prescribing physician.

Symptomatic Hypotension

Patients should be cautioned that lightheadedness can occur with uniretic®, especially during the first few days of therapy. If fainting occurs, the patient should stop taking uniretic® and consult the prescribing physician.

All patients should be cautioned that excessive perspiration and dehydration may lead to an excessive fall in blood pressure because of reduction in fluid volume. Other causes of volume depletion such as vomiting or diarrhea may also lead to a fall in blood pressure; patients should be advised to consult their physician if they develop these conditions.

Hyperkalemia

Patients should be told not to use potassium supplements or salt substitutes containing potassium without consulting their physician.

Neutropenia

Patients should be told to report promptly any indication of infection (e.g., sore throat, fever) that could be a sign of neutropenia.

Pregnancy

Female patients of childbearing age should be told about the consequences of exposure to uniretic® during pregnancy. Discuss treatment options with women planning to become pregnant. Patients should be asked to report pregnancies to their physicians as soon as possible.