Trivaris Drug Description: Detailed Datasheet
- Generic Name: triamcinolone acetonide injectable suspension
- Brand Name: Trivaris
side effects drug center trivaris (triamcinolone acetonide injectable suspension) drug
Drug Description
TRIVARIS™
(triamcinolone acetonide) Injectable Suspension 80 mg/mL
DESCRIPTION
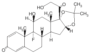
TRIVARIS™ (triamcinolone acetonide injectable suspension) 80 mg/mL is a synthetic glucocorticoid corticosteroid with anti-inflammatory action. This formulation is suitable for intravitreal, intra-muscular, and intra-articular use. This formulation is not for intravenous injection. Each syringe of the sterile aqueous gel suspension contains 8 mg triamcinolone acetonide in 0.1 mL (8% suspension) in a vehicle containing w/w percents of 2.3% sodium hyaluronate; 0.63% sodium chloride; 0.3% sodium phosphate, dibasic; 0.04% sodium phosphate, monobasic; and water for injection. TRIVARIS (triamcinolone acetonide injectable suspension) ™ is preservativefree with a pH of 7.0 to 7.4. The chemical name for triamcinolone acetonide is 9αfluoro-11β,16α,17,21-tetrahydroxypregna1,4-diene-3,20-dione cyclic 16,17-acetal with acetone.
Its structural formula is:
![]() |
MW 434.50 with a molecular formula of C24H31FO6. Triamcinolone acetonide occurs as a white to cream-colored crystalline powder having not more than a slight odor, and is practically insoluble in water and very soluble in alcohol.
Indications
Ophthalmic Use
TRIVARIS™ (triamcinolone acetonide injectable suspension) 80 mg/mL is indicated for:
- sympathetic ophthalmia,
- temporal arteritis,
- uveitis, and
- ocular inflammatory conditions unresponsive to topical corticosteroids.
Intramuscular Use
Where oral therapy is not feasible, TRIVARIS™ (triamcinolone acetonide injectable suspension) 80 mg/mL is indicated for intramuscular use as follows:
Allergic states: Control of severe or incapacitating allergic conditions intractable to adequate trials of conventional treatment in asthma, atopic dermatitis, contact dermatitis, drug hypersensitivity reactions, perennial or seasonal allergic rhinitis, serum sickness, transfusion reactions.
Dermatologic diseases: Bullous dermatitis herpetiformis, exfoliative erythroderma, mycosis fungoides, pemphigus, severe erythema multiforme (Stevens-Johnson syndrome).
Endocrine disorders: Primary or secondary adrenocortical insufficiency (hydrocortisone or cortisone is the drug of choice; synthetic analogs may be used in conjunction with mineralocorticoids where applicable; in infancy, mineralocorticoid supplementation is of particular importance), congenital adrenal hyperplasia, hypercalcemia associated with cancer, nonsuppurative thyroiditis.
Gastrointestinal diseases: To tide the patient over a critical period of the disease in regional enteritis and ulcerative colitis.
Hematologic disorders: Acquired (autoimmune) hemolytic anemia, Diamond-Blackfan anemia, pure red cell aplasia, selected cases of secondary thrombocytopenia.
Miscellaneous: Trichinosis with neurologic or myocardial involvement, tuberculous meningitis with subarachnoid block or impending block when used with appropriate antituberculous chemotherapy.
Neoplastic diseases: For the palliative management of leukemias and lymphomas.
Nervous system: Acute exacerbations of multiple sclerosis; cerebral edema associated with primary or metastatic brain tumor, craniotomy, or head injury.
Renal diseases: To induce diuresis or remission of proteinuria in idiopathic nephrotic syndrome or that due to lupus erythematosus.
Respiratory diseases: Berylliosis, fulminating or disseminated pulmonary tuberculosis when used concurrently with appropriate antituberculous chemotherapy, idiopathic eosinophilic pneumonias, symptomatic sarcoidosis.
Rheumatic disorders: As adjunctive therapy for short-term administration (to tide the patient over an acute episode or exacerbation) in acute gouty arthritis; acute rheumatic carditis; ankylosing spondylitis; psoriatic arthritis; rheumatoid arthritis, including juvenile rheumatoid arthritis (selected cases may require low-dose maintenance therapy). For the treatment of dermatomyositis, polymyositis, and systemic lupus erythematosus.
Intra-articular Use
The intra-articular or soft tissue administration of TRIVARIS™ (triamcinolone acetonide injectable suspension) (triamcinolone acetonide injectable suspension) 80 mg/mL is indicated as adjunctive therapy for short-term administration (to tide the patient over an acute episode or exacerbation) in acute gouty arthritis, acute and subacute bursitis, acute nonspecific tenosynovitis, epicondylitis, rheumatoid arthritis, synovitis of osteoarthritis.
Dosage
DOSAGE AND ADMINISTRATION
Recommended Dosing
The initial dose of TRIVARIS™ (triamcinolone acetonide injectable suspension) 80 mg/mL may vary from 2.5 mg to 100 mg per day depending on the specific disease entity being treated (see DOSAGE AND ADMINISTRATION). However, in certain overwhelming, acute, life threatening situations, administration in dosages exceeding the usual dosages may be justified and may be in multiples of the oral dosages. It should be emphasized that dosage requirements are variable and must be individualized on the basis of the disease under treatment and the response of the patient.
After a favorable response is noted, the proper maintenance dosage should be determined by decreasing the initial drugdosage in small decrements at appropriate time intervals until the lowest dosage which will maintain an adequate clinical response is reached. Situations which may make dosage adjustments necessary are changes in clinical status secondary to remissions or exacerbations in the disease process, the patient's individual drug responsiveness, and the effect of patient exposure to stressful situations not directly related to the disease entity under treatment. In this latter situation it may be necessary to increase the dosage of the corticosteroid for a period of time consistent with the patient's condition. If after long-term therapy the drug is to be stopped, it is recommended that it be withdrawn gradually, rather than abruptly.
General Administration
Strict Aseptic Technique Is Mandatory.
Careful technique should be employed to avoid the possibility of entering a blood vessel or introducing infection.
TRIVARIS™ (triamcinolone acetonide injectable suspension) should be inspected visually for particulate matter and discoloration prior to administration.
Always allow the pre-filled glass syringe to sit at room temperature for at least 30 minutes before the procedure.
Intravitreal Dosing
The recommended intravitreal dose is a single injection of 4 mg per 0.05 mL (i.e., 50 microliters of 80 mg/mL suspension).
Preparation for Intravitreal Injection
TRIVARIS™ (triamcinolone acetonide injectable suspension) is available without an attached needle. Therefore, it is necessary to firmly attach a desired needle to the syringe. A 27 gauge ½ inch needle is suggested. Prepare the proper volume of TRIVARIS™ (triamcinolone acetonide injectable suspension) to be injected by advancing the plunger to the single line marked on the pre-filled glass syringe shaft. Hold the syringe and the needle at an angle and express excess gel suspension over a sterile surface. The plunger is correctly positioned when white compound is no longer visible between the plunger and the fill line on the syringe. This will provide the recommended dose of 4 mg per 0.05 mL. Always check the needle to ensure it is firmly attached to the syringe before injecting the patient.
The intravitreal injection procedure should be carried out under controlled aseptic conditions which include the use of sterile gloves, a sterile drape, and a sterile eyelid speculum (or equivalent). Adequate anesthesia and a broad-spectrum microbicide should be given prior to the injection.
Following the intravitreal injection, patients should be monitored for elevation in intraocular pressure and for endophthalmitis. Monitoring may consist of a check for reperfusion of the optic nerve head immediately after the injection, tonometry within 30 minutes following the injection, and biomicroscopy between two and seven days following the injection. Patients should be instructed to report any symptoms suggestive of endophthalmitis without delay.
Each syringe should only be used for the treatment of a single eye. If the contralateral eye requires treatment, a new syringe should be used and the sterile field, syringe, gloves, drapes, and eyelid speculum and injection needles should be changed before TRIVARIS™ (triamcinolone acetonide injectable suspension) is administered to the other eye.
Systemic Dosing
The suggested initial dose is 60 mg, injected deeply into the gluteal muscle. Atrophy of subcutaneous fat may occur if the injection is not properly given. Dosage is usually adjusted within the range of 40 to 80 mg, depending upon patient response and duration of relief. However, some patients may be well controlled on doses as low as 20 mg or less.
For adults, a minimum needle length of 1½ inches is recommended. In obese patients, a longer needle may be required. Use alternative sites for subsequent injections. Each syringe should only be used for a single treatment. Multiple injections are required to reach the recommended dose. In pediatric patients, the initial dose of triamcinolone may vary depending on the specific disease entity being treated. The range of initial doses is 0.11 to 1.6 mg/kg/day in three or four divided doses (3.2 to 48 mg/m² bsa/day).
For the purpose of comparison, the following is the equivalent milligram dosage of the various glucocorticoids:
| Cortisone, 25 | Triamcinolone, 4 |
| Hydrocortisone, 20 | Paramethasone, 2 |
| Prednisolone, 5 | Betamethasone, 0.75 |
| Prednisone, 5 | Dexamethasone, 0.75 |
| Methylprednisolone, 4 |
These dose relationships generally apply to oral or intravenous administration of these compounds. When these substances or their derivatives are injected intramuscularly or into joint spaces, their relative properties may be greatly altered.
Hay fever or pollen asthma: Patients with hay fever or pollen asthma who are not responding to pollen administration and other conventional therapy may obtain a remission of symptoms lasting throughout the pollen season after a single injection of 40 to 100 mg.
In the treatment of acute exacerbations of multiple sclerosis, daily doses of 160 mg of triamcinolone for a week followed by 64 mg every other day for one month, are recommended (see WARNINGS AND PRECAUTIONS).
Intra-articular Dosing
A single local injection of triamcinolone acetonide is frequently sufficient, but several injections may be needed for adequate relief of symptoms.
Initial dose: 2.5 to 5 mg for smaller joints and from 5 to 15 mg for larger joints, depending on the specific disease entity being treated. For adults, doses up to 10 mg for smaller areas and up to 40 mg for larger areas have usually been sufficient. Single injections into several joints, up to a total of 80 mg, have been given.
For treatment of joints, the usual intraarticular injection technique should be followed. If an excessive amount of synovial fluid is present in the joint, some, but not all, should be aspirated to aid in the relief of pain and to prevent undue dilution of the steroid. Each syringe should only be used for a single treatment. Multiple injections may be required to reach the recommended dose.
With intra-articular administration, prior use of a local anesthetic may often be desirable. Care should be taken with this kind of injection, particularly in the deltoid region, to avoid injecting the gel suspension into the tissues surrounding the site, since this may lead to tissue atrophy.
In treating acute nonspecific tenosynovitis, care should be taken to ensure that the injection of the corticosteroid is made into the tendon sheath, rather than the tendon substance. Epicondylitis may be treated by infiltrating the preparation into the area of greatest tenderness.
HOW SUPPLIED
Dosage Forms And Strengths
Single-use 0.1 mL syringe containing 8 mg (80 mg/mL) of triamcinolone acetonide suspension.
Storage And Handling
TRIVARIS™ (triamcinolone acetonide injectable suspension) 80 mg/mL is supplied in blister packs with 1 single-use glass syringe containing 8 mg in 0.1 mL as follows:
Syringe without needle: NDC 0023XXXX-XX
Storage: Keep refrigerated 36°- 46°F (2°8°C) until use. Avoid freezing and protect from light.
Allergan, Inc., Irvine, CA 92612, U.S.A. FDA revision date: 6/16/2008
Side Effects
(listed alphabetically under each subsection)
The following adverse reactions may be associated with corticosteroid therapy:
Allergic Reactions
Anaphylactoid reaction, anaphylaxis, angioedema.
Cardiovascular
Bradycardia, cardiac arrest, cardiac arrhythmias, cardiac enlargement, circulatory collapse, congestive heart failure, fat embolism, hypertension, hypertrophic cardiomyopathy in premature infants, myocardial rupture following recent myocardial infarction (see WARNINGS AND PRECAUTIONS), pulmonary edema, syncope, tachycardia, thromboembolism, thrombophlebitis, vasculitis.
Dermatologic
Acne, allergic dermatitis, cutaneous and subcutaneous atrophy, dry scaly skin, ecchymoses and petechiae, edema, erythema, hyperpigmentation, hypopigmentation, impaired wound healing, increased sweating, lupus erythematosuslike lesions, purpura, rash, sterile abscess, striae, suppressed reactions to skin tests, thin fragile skin, thinning scalp hair, urticaria.
Endocrine
Decreased carbohydrate and glucose tolerance, development of cushingoid state, glycosuria, hirsutism, hypertrichosis, increased requirements for insulin or oral hypoglycemic agents in diabetes, manifestations of latent diabetes mellitus, menstrual irregularities, secondary adrenocortical and pituitary unresponsiveness (particularly in times of stress, as in trauma, surgery, or illness), suppression of growth in pediatric patients.
Fluid and Electrolyte Disturbances
Congestive heart failure in susceptible patients, fluid retention, hypokalemic alkalosis, potassium loss, sodium retention.
Gastrointestinal
Abdominal distention, bowel/bladder dysfunction (after intrathecal administration), elevation in serum liver enzyme levels (usually reversible upon discontinuation), hepatomegaly, increased appetite, nausea, pancreatitis, peptic ulcer with possible perforation and hemorrhage, perforation of the small and large intestine (particularly in patients with inflammatory bowel disease), ulcerative esophagitis.
Metabolic
Negative nitrogen balance due to protein catabolism.
Musculoskeletal
Aseptic necrosis of femoral and humeral heads, calcinosis (following intra-articular or intralesional use), Charcot-like arthropathy, loss of muscle mass, muscle weakness, osteoporosis, pathologic fracture of long bones, post injection flare (following intra-articular use), steroid myopathy, tendon rupture, vertebral compression fractures.
Neurologic/Psychiatric
Convulsions, depression, emotional instability, euphoria, headache, increased intracranial pressure with papilledema (pseudotumor cerebri) usually following discontinuation of treatment, insomnia, mood swings, neuritis, neuropathy, paresthesia, personality changes, psychic disorders, vertigo. Arachnoiditis, meningitis, paraparesis/paraplegia, and sensory disturbances have occurred after intrathecal administration
Ophthalmic
Abnormal sensation in eye, anterior chamber cells, anterior chamber flare, cataract, cataract cortical, cataract nuclear, cataract subcapsular, conjunctival haemorrhage, exophthalmos, eye irritation, eye pain, eye pruritus, foreign body sensation in eyes, glaucoma, intraocular pressure increased, injection site haemorrhage, lacrimation increased, vitreous detachment, vitreous floaters and rare instances of blindness associated with intravitreal or periocular injections.
Other
Abnormal fat deposits, decreased resistance to infection, hiccups, increased or decreased motility and number of spermatozoa, malaise, moon face, weight gain.
Drug Interactions
Aminoglutethimide
Aminoglutethimide may lead to a loss of corticosteroid-induced adrenal suppression.
Amphotericin B Injection and Potassium-depleting Agents
When corticosteroids are administered concomitantly with potassium-depleting agents (i.e., amphotericin B, diuretics), patients should be observed closely for development of hypokalemia. There have been cases reported in which concomitant use of amphotericin B and hydrocortisone was followed by cardiac enlargement and congestive heart failure.
Antibiotics
Macrolide antibiotics have been reported to cause a significant decrease in corticosteroid clearance.
Anticholinesterases
Concomitant use of anticholinesterase agents and corticosteroids may produce severe weakness in patients with myasthenia gravis. If possible, anticholinesterase agents should be withdrawn at least 24 hours before initiating corticosteroid therapy.
Anticoagulants, Oral
Coadministration of corticosteroids and warfarin usually results in inhibition of response to warfarin, although there have been some conflicting reports. Therefore, coagulation indices should be monitored frequently to maintain the desired anticoagulant effect.
Antidiabetics
Because corticosteroids may increase blood glucose concentrations, dosage adjustments of antidiabetic agents may be required.
Antitubercular Drugs
Serum concentrations of isoniazid may be decreased.
Cholestyramine
Cholestyramine may increase the clearance of corticosteroids.
Cyclosporine
Increased activity of both cyclosporine and corticosteroids may occur when the two are used concurrently. Convulsions have been reported with this concurrent use.
Digitalis Glycosides
Patients on digitalis glycosides may be at increased risk of arrhythmias due to hypokalemia.
Estrogens, including Oral Contraceptives
Estrogens may decrease the hepatic metabolism of certain corticosteroids, thereby increasing their effect.
Hepatic Enzyme Inducers (e.g., barbiturates, phenytoin, carbamazepine, and rifampin)
Drugs which induce hepatic microsomal drug metabolizing enzyme activity may enhance the metabolism of corticosteroids and require that the dosage of the corticosteroid be increased.
Ketoconazole
Ketoconazole has been reported to decrease the metabolism of certain corticosteroids by up to 60%, leading to an increased risk of corticosteroid side effects.
Nonsteroidal Anti-inflammatory Agents (NSAIDS)
Concomitant use of aspirin (or other nonsteroidal anti-inflammatory agents) and corticosteroids increases the risk of gastrointestinal side effects. Aspirin should be used cautiously in conjunction with corticosteroids in hypoprothrombinemia. The clearance of salicylates may be increased with concurrent use of corticosteroids.
Skin Tests
Corticosteroids may suppress reactions to allergy skin tests.
Vaccines
Patients on prolonged corticosteroid therapy may exhibit a diminished response to toxoids and live or inactivated vaccines due to inhibition of antibody response. Corticosteroids may also potentiate the replication of some organisms contained in live attenuated vaccines. Routine administration of vaccines or toxoids should be deferred until corticosteroid therapy is discontinued if possible (see WARNINGS AND PRECAUTIONS).
Warnings & Precautions
WARNINGS
Included as part of the PRECAUTIONS section.
PRECAUTIONS
Not for Intravenous Administration
Because TRIVARIS™ (triamcinolone acetonide injectable suspension) 80 mg/mL is a suspension, it should not be administered intravenously. Strict aseptic technique is mandatory.
Alterations in Endocrine Function
Hypothalamic-pituitary-adrenal (HPA) axis suppression, Cushing's syndrome, and hyperglycemia. Monitor patients for these conditions with chronic use.
Corticosteroids can produce reversible HPA axis suppression with the potential for glucocorticosteroid insufficiency after withdrawal of treatment. Drug inducedsecondary adrenocortical insufficiency may be minimized by gradual reduction of dosage. This type of relative insufficiency may persist for months after discontinuation of therapy; therefore, in any situation of stress occurring during that period, hormone therapy should be reinstituted.
Since mineralocorticoid secretion may be impaired, salt and/or a mineralocorticoid should be administered concurrently. Mineralocorticoid supplementation is of particular importance in infancy.
Metabolic clearance of corticosteroids is decreased in hypothyroid patients and increased in hyperthyroid patients. Changes in thyroid status of the patient may necessitate adjustment in dosage.
Increased Risks Related to Infections
- Corticosteroids may increase the risks related to infections with any pathogen, including viral, bacterial, fungal, protozoan, or helminthic infections. The degree to which the dose, route and duration of corticosteroid administration correlates with the specific risks of infection is not well characterized, however, with increasing doses of corticosteroids, the rate of occurrence of infectious complications increases.
- Corticosteroids may mask some signs of infection and may reduce resistance to new infections.
- Corticosteroids may exacerbate infections and increase risk of disseminated infection. The use of TRIVARIS™ (triamcinolone acetonide injectable suspension) in active tuberculosis should be restricted to those cases of fulminating or disseminated tuberculosis in which the corticosteroid is used for the management of the disease in conjunction with an appropriate antituberculous regimen. Chickenpox and measles can have a more serious or even fatal course in nonimmune children or adults on corticosteroids. In children or adults who have not had these diseases, particular care should be taken to avoid exposure. If a patient is exposed to chickenpox, prophylaxis with varicella zoster immune globulin (VZIG) may be indicated. If a patient is exposed to measles, prophylaxis with pooled intramuscular immunoglobulin (IG) may be indicated. If chickenpox develops, treatment with antiviral agents may be considered.
- Corticosteroids should be used with great care in patients with known or suspected Strongyloides (threadworm) infestation. In such patients, corticosteroid-induced immunosuppression may lead to Strongyloides hyperinfection and dissemination with widespread larval migration, often accompanied by severe enterocolitis and potentially fatal gramnegative septicemia.
- Corticosteroids may exacerbate systemic fungal infections and therefore should not be used in the presence of such infections unless they are needed to control drug reactions.
- Corticosteroids may increase risk of reactivation or exacerbation of latent infection. If corticosteroids are indicated in patients with latent tuberculosis or tuberculin reactivity, close observation is necessary as reactivation of the disease may occur. During prolonged
- corticosteroid therapy, these patients should receive chemoprophylaxis.
- Corticosteroids may activate latent amebiasis. Therefore, it is recommended that latent or active amebiasis be ruled out before initiating corticosteroid therapy in any patient who has spent time in the tropics or in any patient with unexplained diarrhea.
Ophthalmic Effects
Prolonged use of corticosteroids may produce posterior subcapsular cataracts, glaucoma with possible damage to the optic nerves, and may enhance the establishment of secondary ocular infections due to fungi or viruses.
The use of oral corticosteroids is not recommended in the treatment of optic neuritis and may lead to an increase in the risk of new episodes.
Intraocular pressure may become elevated in some individuals. If steroid therapy is continued for more than 6 weeks, intraocular pressure should be monitored.
Corticosteroids should be used cautiously in patients with a history of ocular herpes simplex because of possible corneal perforation. Corticosteroids should not be used in active ocular herpes simplex.
Endophthalmitis
The rate of infectious culture positive endophthalmitis is 0.5%. Proper aseptic techniques should always be used when administering triamcinolone acetonide.
In addition, patients should be monitored following the injection to permit early treatment should an infection occur.
Alterations in Cardiovascular/Renal Function
Corticosteroids can cause elevation of blood pressure, salt and water retention, and increased excretion of potassium and calcium. These effects are less likely to occur with the synthetic derivatives except when used in large doses. Dietary salt restriction and potassium supplementation may be necessary. These agents should be used with caution in patients with hypertension, congestive heart failure, or renal insufficiency.
Literature reports suggest an association between use of corticosteroids and left ventricular free wall rupture after a recent myocardial infarction; therefore, therapy with corticosteroids should be used with caution in these patients.
Behavioral and Mood Disturbances
Corticosteroid use may be associated with central nervous system effects ranging from euphoria, insomnia, mood swings, personality changes, and severe depression, to frank psychotic manifestations. Also, existing emotional instability or psychotic tendencies may be aggravated by corticosteroids.
Use in Patients with Gastrointestinal Disorders
There is an increased risk of gastrointestinal perforation in patients with certain GI disorders. Signs of GI perforation, such as peritoneal irritation, may be masked in patients receiving corticosteroids.
Corticosteroids should be used with caution if there is a probability of impending perforation, abscess or other pyogenic infections; diverticulitis; fresh intestinal anastomoses; and active or latent peptic ulcer.
Decrease in Bone Density
Corticosteroids decrease bone formation and increase bone resorption both through their effect on calcium regulation (i.e., decreasing absorption and increasing excretion) and inhibition of osteoblast function. This, together with a decrease in the protein matrix of the bone secondary to an increase in protein catabolism, and reduced sex hormone production, may lead to inhibition of bone growth in children and adolescents and the development of osteoporosis at any age. Special consideration should be given to patients at increased risk of osteoporosis (i.e., postmenopausal women) before initiating corticosteroid therapy and bone density should be monitored in patients on long term corticosteroid therapy.
Vaccination
Administration of live or live, attenuated vaccines is contraindicated in patients receiving immunosuppressive doses of corticosteroids. Killed or inactivated vaccines may be administered, however, the response to such vaccines can not be predicted. Immunization procedures may be undertaken in patients who are receiving corticosteroids as replacement therapy, e.g., for Addison's disease.
While on corticosteroid therapy, patients should not be vaccinated against smallpox. Other immunization procedures should not be undertaken in patients who are on corticosteroids, especially on high dose, because of possible hazards of neurological complications and a lack of antibody response.
Effect on Growth and Development
Long-term use of corticosteroids can have negative effects on growth and development in children.
Growth and development of pediatric patients on prolonged corticosteroid therapy should be carefully monitored.
Use in Pregnancy
Triamcinolone acetonide can cause fetal harm when administered to a pregnant woman. Human and animal studies suggest that use of corticosteroids during the first trimester of pregnancy is associated with an increased risk of orofacial clefts, intrauterine growth restriction and decreased birth weight. If this drug is used during pregnancy, or if the patient becomes pregnant while using this drug, the patient should be apprised of the potential hazard to the fetus. (see Use In Specific Populations).
Neuromuscular Effects
Although controlled clinical trials have shown corticosteroids to be effective in speeding the resolution of acute exacerbations of multiple sclerosis, they do not show that they affect the ultimate outcome or natural history of the disease. The studies do show that relatively high doses of corticosteroids are necessary to demonstrate a significant effect. (see DOSAGE AND ADMINISTRATION).
An acute myopathy has been observed with the use of high doses of corticosteroids, most often occurring in patients with disorders of neuromuscular transmission (e.g., myasthenia gravis), or in patients receiving concomitant therapy with neuromuscular blocking drugs (e.g., pancuronium). This acute myopathy is generalized, may involve ocular and respiratory muscles, and may result in quadriparesis. Elevation of creatine kinase may occur. Clinical improvement or recovery after stopping corticosteroids may require weeks to years.
Kaposi's Sarcoma
Kaposi's sarcoma has been reported to occur in patients receiving corticosteroid therapy, most often for chronic conditions. Discontinuation of corticosteroids may result in clinical improvement.
Intra-articular and Soft Tissue Administration
Intra-articularly injected corticosteroids may be systemically absorbed.
Appropriate examination of any joint fluid present is necessary to exclude a septic process.
A marked increase in pain accompanied by local swelling, further restriction of joint motion, fever, and malaise are suggestive of septic arthritis. If this complication occurs and the diagnosis of sepsis is confirmed, appropriate antimicrobial therapy should be instituted.
Injection of a steroid into an infected site is to be avoided. Local injection of a steroid into a previously infected joint is not usually recommended.
Corticosteroid injection into unstable joints is generally not recommended.
Intra-articular injection may result in damage to joint tissues (see ADVERSE REACTIONS).
Nonclinical Toxicology
Carcinogenesis, Mutagenesis, Impairment of Fertility
No adequate studies have been conducted in animals to determine whether corticosteroids have a potential for carcinogenesis.
Triamcinolone acetonide was not mutagenic or clastogenic in the Ames bacterial reversion test and chromosomal aberration assay in Chinese hamster ovary (CHO) cells. Positive results were noted in the in vivo micronucleus test with triamcinolone acetonide in mice.
Steroids may increase or decrease motility and number of spermatozoa in some patients.
Use In Specific Populations
Pregnancy
Pregnancy Category D (see WARNINGS AND PRECAUTIONS).
Teratogenic Effects: Multiple cohort and case controlled studies in humans suggest that maternal corticosteroid use during the first trimester increases the rate of cleft lip with or without cleft palate from about 1/1000 infants to 3 - 5/1000 infants. Two prospective case control studies showed decreased birth weight in infants exposed to maternal corticosteroids in utero. Triamcinolone acetonide was teratogenic in rats, rabbits, and monkeys. In rats and rabbits, triamcinolone acetonide was teratogenic at inhalation doses of 0.02 mg/kg and above and in monkeys, triamcinolone acetonide was teratogenic at an inhalation dose of 0.5 mg/kg. Doserelated teratogenic effects in rats and rabbits included cleft palate and/or internal hydrocephaly and axial skeletal defects, whereas the effects observed in monkeys were cranial malformations. These effects are similar to those noted with other corticosteroids.
Corticosteroids should be used during pregnancy only if the potential benefit justifies the potential risk to the fetus. Infants born to mothers who received corticosteroids during pregnancy should be carefully observed for signs of hypoadrenalism.
Nursing Mothers
Corticosteroids are secreted in human milk. Reports suggest that steroid concentrations in human milk are 5 to 25% of maternal serum levels, and that total infant daily doses are small, less than 0.2% of the maternal daily dose. The risk of infant exposure to steroids through breast milk should be weighed against the known benefits of breastfeeding for both the mother and baby.
Pediatric Use
The efficacy and safety of corticosteroids in the pediatric population are based on the well established course of effect of corticosteroids which is similar in pediatric and adult populations.
The adverse effects of corticosteroids in pediatric patients are similar to those in adults (see ADVERSE REACTIONS).
Like adults, pediatric patients should be carefully observed with frequent measurements of blood pressure, weight, height, intraocular pressure, and clinical evaluation for the presence of infection, psychosocial disturbances, thromboembolism, peptic ulcers, cataracts, and osteoporosis. Children, who are treated with corticosteroids by any route, including systemically administered corticosteroids, may experience a decrease in their growth velocity. This negative impact of corticosteroids on growth has been observed at low systemic doses and in the absence of laboratory evidence of HPA axis suppression (i.e., cosyntropin stimulation and basal cortisol plasma levels). Growth velocity may therefore be a more sensitive indicator of systemic corticosteroid exposure in children than some commonly used tests of HPA axis function. The linear growth of children treated with corticosteroids by any route should be monitored, and the potential growth effects of prolonged treatment should be weighed against clinical benefits obtained and the availability of other treatment alternatives. In order to minimize the potential growth effects of corticosteroids, children should be titrated to the lowest effective dose.
Geriatric Use
The incidence of corticosteroid-induced side effects may be increased in geriatric patients and are dose-related. Osteoporosis is the most frequently encountered complication, which occurs at a higher incidence rate in corticosteroid-treated geriatric patients as compared to younger populations and in age-matched controls. Losses of bone mineral density appear to be greatest early on in the course of treatment and may recover over time after steroid withdrawal or use of lower doses.
Overdosage & Contraindications
OVERDOSE
Treatment of acute overdosage is by supportive and symptomatic therapy. For chronic overdosage in the face of severe disease requiring continuous steroid therapy, the dosage of the corticosteroid may be reduced only temporarily, or alternate day treatment may be introduced.
CONTRAINDICATIONS
Idiopathic Thrombocytopenic Purpura
Intramuscular corticosteroid preparations are contraindicated for idiopathic thrombocytopenic purpura.
Cerebral Malaria
Corticosteroids should not be used in cerebral malaria.
Hypersensitivity
TRIVARIS™ (triamcinolone acetonide injectable suspension) 80 mg/mL is contraindicated in patients who are hypersensitive to triamcinolone or any components of this product.
Clinical Pharmacology
Mechanism of Action
Naturally occurring glucocorticoids (hydrocortisone and cortisone), which also have salt-retaining properties, are used as replacement therapy in adrenocortical deficiency states. Synthetic analogs such as triamcinolone are primarily used for their anti-inflammatory effects in disorders of many organ systems.
Corticosteroids inhibit the inflammatory response to a variety of inciting agents and probably delay or slow healing. They inhibit the edema, fibrin deposition, capillary dilation, leukocyte migration, capillary proliferation, fibroblast proliferation, deposition of collagen, and scar formation associated with inflammation. There is no generally accepted explanation for the mechanism of action of ocular corticosteroids. However, corticosteroids are thought to act by the induction of phospholipase A2 inhibitory proteins, collectively called lipocortins. It is postulated that these proteins control the bio-synthesis of potent mediators of inflammation such as prostaglandins and leukotrienes by inhibiting the release of their common precursor arachidonic acid. Arachidonic acid is released from membrane phospholipids by phospholipase A2. Corticosteroids are capable of producing a rise in intraocular pressure.
Intravitreal corticosteroids can down regulate the production of proinflammatory mediators, and can be used in ocular inflammatory conditions.
Pharmacokinetics
Aqueous humor pharmacokinetics of triamcinolone acetonide were assessed in 5 patients following a single intravitreal administration (4 mg) of triamcinolone acetonide. Aqueous humor samples were obtained from 5 patients (5 eyes) via an anterior chamber paracentesis on Days 1, 3, 10, 17 and 31 post-injection. Peak aqueous humor concentrations of triamcinolone acetonide ranged from 2,151 to 7,202 ng/mL, the half-life ranged from 76 to 635 hours, and the area under the concentrationtime curve (AUC0-t) ranged from 231 to 1,911 ng·h/mL. The mean elimination halflife was 18.7 ± 5.7 days in 4 nonvitrectomized eyes (4 patients). In a patient who had undergone vitrectomy (1 eye), the elimination half-life of triamcinolone acetonide was much faster (3.2 days) relative to patients that had not undergone vitrectomy.
Medication Guide
PATIENT INFORMATION
Patients should discuss with their physician if they have had recent or ongoing infections or if they have recently received a vaccine.
There are a number of medicines that can interact with corticosteroids such as triamcinolone. Patients should inform their health-care provider of all the medicines they are taking, including over-the counter and prescription medicines (such as phenytoin, diuretics, digitalis or digoxin, rifampin, amphotericin B, cyclosporine, insulin or diabetes medicines, ketoconazole, estrogens including birth control pills and hormone replacement therapy, blood thinners such as warfarin, aspirin or other NSAIDS, barbiturates), dietary supplements, and herbal products. If patients are taking any of these drugs, alternate therapy, dosage adjustment, and/or special test may be needed during the treatment.
Patients should be advised of common adverse reactions that could occur with corticosteroid use to include elevated intraocular pressure, cataracts, fluid retention, alteration in glucose tolerance, elevation in blood pressure, behavioral and mood changes, increased appetite and weight gain.
In the days following intravitreal administration of TRIVARIS™ (triamcinolone acetonide injectable suspension) , patients are at risk for the development of endophthalmitis. If the eye becomes red, sensitive to light, painful or develops a change in vision, the patients should seek immediate care from an ophthalmologist.

