Qvar Drug Description: Detailed Datasheet
- Generic Name: beclomethasone dipropionate hfa
- Brand Name: Qvar
side effects drug center qvar (beclomethasone dipropionate hfa) drug
Drug Description
What is Qvar and how is it used?
Qvar is a prescription medicine used to treat the symptoms of Chronic Asthma. Qvar may be used alone or with other medications.
Qvar belongs to a class of drugs called Corticosteriods, Inhalants.
It is not known if Qvar is safe and effective in children younger than 4 years of age.
What are the possible side effects of Qvar?
Qvar may cause serious side effects including:
- wheezing,
- choking,
- other breathing problems after using the medicine,
- worsening asthma symptoms,
- white patches or sores inside your mouth or on your lips,
- blurred vision,
- tunnel vision,
- eye pain,
- seeing halos around lights,
- fever,
- chills,
- body aches,
- vomiting,
- worsening tiredness,
- lack of energy,
- weakness,
- lightheadedness,
- nausea, and
- vomiting
Get medical help right away, if you have any of the symptoms listed above.
The most common side effects of Qvar include:
- yeast infection in the mouth,
- headache,
- sore throat,
- runny nose,
- sinus pain, and
- irritation in your nose
Tell the doctor if you have any side effect that bothers you or that does not go away.
These are not all the possible side effects of Qvar. For more information, ask your doctor or pharmacist.
DESCRIPTION
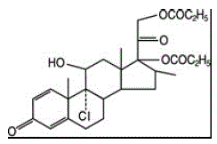
The active component of QVAR 40 mcg Inhalation Aerosol and QVAR 80 mcg Inhalation Aerosol is beclomethasone dipropionate, USP, a corticosteroid having the chemical name 9-chloro-11ß,17,21- trihydroxy-16ß-methylpregna-1,4-diene-3,20-dione 17,21-dipropionate. Beclomethasone dipropionate (BDP) is a diester of beclomethasone, a synthetic corticosteroid chemically related to dexamethasone. Beclomethasone differs from dexamethasone in having a chlorine at the 9-alpha carbon in place of a fluorine, and in having a 16 beta-methyl group instead of a 16 alpha-methyl group. Beclomethasone dipropionate is a white to creamy white, odorless powder with a molecular formula of C28H37ClO7 and a molecular weight of 521.1. Its chemical structure is:
![]() |
QVAR is a pressurized, metered-dose aerosol with a dose counter intended for oral inhalation only. Each unit contains a solution of beclomethasone dipropionate in propellant HFA-134a (1,1,1,2 tetrafluoroethane) and ethanol. QVAR 40 mcg delivers 40 mcg of beclomethasone dipropionate from the actuator and 50 mcg from the valve. QVAR 80 mcg delivers 80 mcg of beclomethasone dipropionate from the actuator and 100 mcg from the valve. Both products deliver 50 microliters (59 milligrams) of solution formulation from the valve with each actuation. The 40 mcg canisters and the 80 mcg canisters provide 120 inhalations each. QVAR should be "primed" or actuated twice prior to taking the first dose from a new canister, or when the inhaler has not been used for more than 10 days. Avoid spraying in the eyes or face while priming QVAR. This product does not contain chlorofluorocarbons (CFCs).
Indications & Dosage
INDICATIONS
Treatment Of Asthma
QVAR is indicated in the maintenance treatment of asthma as prophylactic therapy in patients 5 years of age and older. QVAR is also indicated for asthma patients who require systemic corticosteroid administration, where adding QVAR may reduce or eliminate the need for the systemic corticosteroids.
Important Limitations of Use
- QVAR is NOT indicated for the relief of acute bronchospasm.
DOSAGE AND ADMINISTRATION
Administration Information
Administer QVAR by the orally inhaled route only. Patients should prime QVAR by actuating into the air twice before using for the first time or if QVAR has not been used for over 10 days. Avoid spraying in the eyes or face when priming QVAR. QVAR is a solution aerosol, which does not require shaking. Consistent dose delivery is achieved, whether using the 40 or 80 mcg strengths, due to proportionality of the 2 products (i.e., 2 actuations of 40 mcg strength should provide a dose comparable to 1 actuation of the 80 mcg strength). Rinsing the mouth after inhalation is advised.
QVAR has a dose counter attached to the actuator. When the patient receives the inhaler, a black dot will appear in the viewing window until it has been primed 2 times, at which point the total number ofactuations will be displayed. The dose counter will count down each time a spray is released. The dose-counter window displays the number of sprays left in the inhaler in units of two (e.g., 120, 118, 116, etc). When the dose counter reaches 20, the color of the numbers will change to red to remind the patient to contact their pharmacist for a refill of medication or consult their physician for a prescription refill. When the dose counter reaches 0, the background will change to solid red.
Discard QVAR inhaler when the dose counter displays 0 or after the expiration date on the product, whichever comesfirst.
Maintenance Treatment Of Asthma
QVAR should be administered by the oral inhaled route in patients 5 years of age and older. Use of QVAR with a spacer device in children less than 5 years of age is not recommended. [see Use In Specific Populations] The onset and degree of symptom relief will vary in individual patients. Improvement in asthma symptoms can occur within 24 hours of the beginning of treatment and should be expected within the first or second week, but maximum benefit should not be expected until 3 to 4 weeks of therapy. For patients who do not respond adequately to the starting dose after 3 to 4 weeks of therapy, higher doses may provide additional asthma control. The safety and efficacy of QVAR when administered in excess of recommended doses has not been established.
Table 1 Recommended Dosing for Patients Aged 12 Years and Older
| Patient’s Previous Therapy | Recommended Starting Dose | Highest Dose Recommended |
| Bronchodilators Alone | 40 to 80 mcg twice daily | 320 mcg twice daily |
| Inhaled Corticosteroids | 40 to 160 mcg twice daily | 320 mcg twice daily |
Table 2 Recommended Dosing for Children 5 to 11 Years
| Patient’s Previous Therapy | Recommended Starting Dose | Highest Dose Recommended |
| Bronchodilators Alone | 40 mcg twice daily | 80 mcg twice daily |
| Inhaled Corticosteroids | 40 mcg twice daily | 80 mcg twice daily |
As with any inhaled corticosteroid, physicians are advised to titrate the dose of QVAR downward over time to the lowest level that maintains proper asthma control. This is particularly important in children since a controlled study has shown that QVAR has the potential to affect growth in children. Patients should be instructed on the proper use of their inhaler.
Patients Not Receiving Systemic Corticosteroids
Patients who require maintenance therapy of their asthma may benefit from treatment with QVAR at the doses recommended above. In patients who respond to QVAR, improvement in pulmonary function is usually apparent within 1 to 4 weeks after the start of therapy. Once the desired effect is achieved, consideration should be given to tapering to the lowest effective dose.
Patients Maintained On Systemic Corticosteroids
Prednisone or other oral corticosteroid should be weaned slowly beginning after at least 1 week of QVAR therapy. Monitor patients carefully for signs of asthma instability, including serial objective measures of airflow, and for signs of adrenal insufficiency during steroid taper and following discontinuation of oral corticosteroid therapy [See WARNINGS AND PRECAUTIONS].
HOW SUPPLIED
Dosage Forms And Strengths
QVAR is a pressurized, metered-dose aerosol with a dose counter intended for oral inhalation containing beclomethasone dipropionate in the following 2 strengths:
QVAR 40 mcg is supplied in an aluminum canister with a beige plastic actuator with a dose counter and a gray dust cap. Each actuation delivers 50 mcg of beclomethasone dipropionate from the valve and 40 mcg from the actuator. QVAR 40 mcg is available as a 120-inhalation/8.7 g canister.
QVAR 80 mcg is supplied in an aluminum canister with a dark mauve plastic actuator with a dose counter and a gray dust cap. Each actuation delivers 100 mcg of beclomethasone dipropionate from the valve and 80 mcg from the actuator. QVAR 80 mcg is available as a 120-inhalation/8.7 g canister.
Storage And Handling
QVAR is supplied in 2 strengths:
QVAR 40 mcg is supplied in a box of one 8.7 g canister containing 120 actuations with a beige plastic actuator with a dose counter and gray dust cap, and Patient Information and Instructions for Use; box of one; 120 Actuations – NDC 59310-202-12.
QVAR 80 mcg is supplied in a box of one 8.7 g canister containing 120 actuations with a dark mauve plastic actuator with a dose counter and gray dust cap, and Patient Information and Instructions for Use; box of one; 120 Actuations – NDC 59310-204-12.
The correct amount of medication in each inhalation cannot be assured after 120 actuations from the 8.7 g canister even though the canister is not completely empty. Patients should be informed todiscard theQVAR inhaler when the dose counter displays 0 or after the expirationdate on the product, whichever comes first.
Storage And Handling
Store at 25° C (77° F).
Excursions between 15° and 30°C (59° and 86°F) are permitted (see USP Controlled Room Temperature). For optimal results, the canister should be at room temperature when used. QVAR Inhalation Aerosol canister should only be used with the QVAR Inhalation Aerosol actuator and the actuator should not be used with any other inhalation drug product.
Store QVAR Inhalation Aerosol when not being used, so that the product rests on the concave end of the canister with plastic actuator on top.
CONTENTS UNDER PRESSURE
Do not puncture. Do not use or store near heat or open flame. Exposure to temperatures above 49°C (120°F) may cause bursting. Never throw container into fire or incinerator.
Keep out of reach of children.
Manufactured By: 3M Drug Delivery Systems AND/OR 3M Health Care, Ltd. Northridge, CA 91324 Loughborough, UK. Revised: Jul 2014
Side Effects & Drug Interactions
SIDE EFFECTS
Systemic and local corticosteroid use may result in the following:
- Candida albicans infection [see WARNINGS AND PRECAUTIONS]
- Immunosuppression [see WARNINGS AND PRECAUTIONS]
- Hypercorticism and adrenal suppression [see WARNINGS AND PRECAUTIONS]
- Growth effects [see WARNINGS AND PRECAUTIONS and Use In Specific Populations]
- Glaucoma and cataracts [see WARNINGS AND PRECAUTIONS]
Clinical Trials Experience
Because clinical trials are conducted under widely varying conditions, adverse reaction rates observed in the clinical trials of a drug cannot be directly compared to rates in the clinical trials of another drug and may not reflect the rates observed in practice.
The following reporting rates of common adverse experiences are based upon 4 clinical trials in which 1196 patients (671 female and 525 male adults previously treated with as-needed bronchodilators and/or inhaled corticosteroids) were treated with QVAR (doses of 40, 80, 160, or 320 mcg twice daily) or CFC-BDP (doses of 42, 168, or 336 mcg twice daily) or placebo. Table 3 below includes all events reported by patients taking QVAR (whether considered drug related or not) that occurred at a rate over 3% for QVAR. In considering these data, difference in average duration of exposure and clinical trial design should be taken into account.
Table 3 Adverse Events Reported by at Least 3% of the Patients for QVAR by Treatment
and Daily Dose
| Adverse Events |
Placebo (N=289) % |
QVAR | |||
| Total (N=624) % |
80-160 mcg (N=233) % |
320 mcg (N=335) % |
640 mcg (N=56) % |
||
| HEADACHE | 9 | 12 | 15 | 8 | 25 |
| PHARYNGITIS | 4 | 8 | 6 | 5 | 27 |
| UPPER RESP TRACT INFECTION |
11 | 9 | 7 | 11 | 5 |
| RHINITIS | 9 | 6 | 8 | 3 | 7 |
| INCREASED ASTHMA SYMPTOMS |
18 | 3 | 2 | 4 | 0 |
| ORAL SYMPTOMS INHALATION ROUTE |
2 | 3 | 3 | 3 | 2 |
| SINUSITIS | 2 | 3 | 3 | 3 | 0 |
| PAIN | <1 | 2 | 1 | 2 | 5 |
| BACK PAIN | 1 | 1 | 2 | <1 | 4 |
| DYSPHONIA | 2 | <1 | 1 | 0 | 4 |
Other adverse events that occurred in these clinical trials using QVAR with an incidence of 1% to 3% and which occurred at a greater incidence than placebo were nausea, dysmenorrhea, and coughing. Oropharyngeal candidiasis occurred in <1% of patients in both QVAR and placebo treatment groups.
Pediatric Studies
In two 12-week placebo-controlled studies in steroid naive pediatric patients 5 to 12 years of age, no clinically relevant differences were found in the pattern, severity, or frequency of adverse events compared with those reported in adults, with the exception of conditions which are more prevalent in a pediatric population generally.
Postmarketing Experience
In addition to adverse reactions experienced in the clinical trials, the following adverse events have been reported during post-approval use of QVAR. Because they are reported voluntarily from a population of uncertain size, it is not always possible to reliably estimate their frequency or establish a causal relationship to drug exposure.
Local Effects: Localized infections with Candida albicans have occurred in patients treated with QVAR or other orally inhaled corticosteroids [see WARNINGS AND PRECAUTIONS].
Psychiatric and Behavioral Changes: Aggression, depression, sleep disorders, psychomotor hyperactivity, and suicidal ideation have been reported (primarily in children).
DRUG INTERACTIONS
No Information Provided
Warnings & Precautions
WARNINGS
Included as part of the "PRECAUTIONS" Section
PRECAUTIONS
Local Effects
Localized infections with Candida albicans have occurred in the mouth and pharynx in some patients receiving QVAR. If oropharyngeal candidiasis develops, it should be treated with appropriate local or systemic (i.e., oral) antifungal therapy while still continuing with QVAR therapy, but at times therapy with QVAR may need to be temporarily interrupted under close medical supervision. Rinsing the mouth after inhalation is advised.
Deterioration Of Asthma And Acute Episodes
QVAR is not indicated for the relief of acute symptoms, i.e., as rescue therapy for the treatment of acute episodes of bronchospasm. An inhaled, short-acting beta-2 agonist, not QVAR, should be used to relieve acute symptoms such as shortness of breath. Instruct patients to contact their physician immediately if episodes of asthma that are not responsive to bronchodilators occur during the course of treatment with QVAR. During such episodes, patients may require therapy with oral corticosteroids.
Transferring Patients From Systemic Corticosteroid Therapy
Particular care is needed in patients who are transferred from systemically active corticosteroids to QVAR because deaths due to adrenal insufficiency have occurred in asthmatic patients during and after transfer from systemic corticosteroids to less systemically available inhaled corticosteroids. After withdrawal from systemic corticosteroids, a number of months are required for recovery of hypothalamic-pituitary-adrenal (HPA) function.
Patients who have been previously maintained on 20 mg or more per day of prednisone (or its equivalent) may be most susceptible, particularly when their systemic corticosteroids have been almost completely withdrawn. During this period of HPA suppression, patients may exhibit signs and symptoms of adrenal insufficiency when exposed to trauma, surgery, or infections (particularly gastroenteritis) or other conditions with severe electrolyte loss. Although QVAR may provide control of asthmatic symptoms during these episodes, in recommended doses it supplies less than normal physiological amounts of glucocorticoid systemically and does NOT provide the mineralocorticoid that is necessary for coping with these emergencies.
During periods of stress or a severe asthmatic attack, patients who have been withdrawn from systemic corticosteroids should be instructed to resume oral corticosteroids (in large doses) immediately and to contact their physician for further instruction. These patients should also be instructed to carry a warning card indicating that they may need supplementary systemic steroids during periods of stress or a severe asthma attack.
Patients requiring oral or other systemic corticosteroids should be weaned slowly from oral or other systemic corticosteroid use after transferring to QVAR. Lung function (FEV1 or PEF), beta-agonist use, and asthma symptoms should be carefully monitored during withdrawal of oral or other systemic corticosteroids. In addition to monitoring asthma signs and symptoms, patients should be observed for signs and symptoms of adrenal insufficiency such as fatigue, lassitude, weakness, nausea and vomiting, and hypotension.
Transfer of patients from systemic corticosteroid therapy to QVAR may unmask allergic conditions previously suppressed by the systemic corticosteroid therapy, e.g., rhinitis, conjunctivitis, eczema, arthritis, and eosinophilic conditions.
During withdrawal from oral corticosteroids, some patients may experience symptoms of systemically active corticosteroid withdrawal, e.g., joint and/or muscular pain, lassitude, and depression, despite maintenance or even improvement of respiratory function.
Immunosuppression
Persons who are on drugs which suppress the immune system are more susceptible to infections than healthy individuals. Chickenpox and measles, for example, can have a more serious or even fatal course in non-immune children or adults on corticosteroids. In such children or adults who have not had these diseases or been properly immunized, particular care should be taken to avoid exposure. It is not known how the dose, route and duration of corticosteroid administration affects the risk of developing a disseminated infection. Nor is the contribution of the underlying disease and/or prior corticosteroid treatment known. If exposed to chickenpox, prophylaxis with varicella-zoster immune globulin (VZIG) may be indicated. If exposed to measles, prophylaxis with pooled intramuscular immunoglobulin (IG) may be indicated. (See the respective package inserts for complete VZIG and IG prescribing information.) If chickenpox develops, treatment with antiviral agents may be considered.
Inhaled corticosteroids should be used with caution, if at all, in patients with active or quiescent tuberculosis infection of the respiratory tract; untreated systemic fungal, bacterial, parasitic or viral infections; or ocular herpes simplex.
Paradoxical Bronchospasm
Inhaled corticosteroids may produce inhalation induced bronchospasm with an immediate increase in wheezing after dosing that may be life-threatening. If inhalation induced bronchospasm occurs following dosing with QVAR, it should be treated immediately with an inhaled, short-acting bronchodilator. Treatment with QVAR should be discontinued and alternate therapy instituted.
Immediate Hypersensitivity Reactions
Hypersensitivity reactions, such as urticaria, angioedema, rash, and bronchospasm, may occur after administration of QVAR. Discontinue QVAR if such reactions occur [see CONTRAINDICATIONS]
Hypercorticism And Adrenal Suppression
QVAR will often help control asthma symptoms with less suppression of HPA function than therapeutically equivalent oral doses of prednisone. Since beclomethasone dipropionate is absorbed into the circulation and can be systemically active at higher doses, the beneficial effects of QVAR in minimizing HPA dysfunction may be expected only when recommended dosages are not exceeded and individual patients are titrated to the lowest effective dose.
Because of the possibility of systemic absorption of inhaled corticosteroids, patients treated with QVAR should be observed carefully for any evidence of systemic corticosteroid effects. Particular care should be taken in observing patients postoperatively or during periods of stress for evidence of inadequate adrenal response.
It is possible that systemic corticosteroid effects such as hypercorticism and adrenal suppression (including adrenal crisis) may appear in a small number of patients, particularly when beclomethasone dipropionate is administered at higher than recommended doses over prolonged periods of time. If such effects occur, the dosage of QVAR should be reduced slowly, consistent with accepted procedures for reducing systemic corticosteroids and for management of asthma symptoms.
Effects On Growth
Reduction In Bone Mineral Density
Glaucoma And Cataracts
Glaucoma, increased intraocular pressure, and cataracts have been reported following the use of longterm administration of inhaled corticosteroids. Therefore, close monitoring is warranted in patients with a change in vision or with a history of increased intraocular pressure, glaucoma, and/or cataracts while using QVAR.
Patient Counseling Information
Advise the patients to read the FDA-approved patient labeling (PATIENT INFORMATION and Instructions for Use).
- Risks Associated with Corticosteroid Therapy
Local Effects: Advise patients that localized infections with Candida albicans have occurred in the mouth and pharynx in some patients. If oropharyngeal candidiasis develops, it should be treated with appropriate local or systemic (i.e., oral) antifungal therapy while still continuing with QVAR therapy, but at times therapy with QVAR may need to be temporarily interrupted under close medical supervision. Rinsing the mouth after inhalation is advised [see WARNINGS AND PRECAUTION].
Immunosuppression: Warn patients who are on immunosuppressant doses of corticosteroids to avoid exposure to chickenpox or measles and, if exposed, to consult their physician without delay. Inform patients of potential worsening of existing tuberculosis, fungal, bacterial, viral, or parasitic infections, or ocular herpes simplex [see WARNINGS AND PRECAUTIONS].
Hypercorticism and Adrenal Suppression: Advise patients that QVAR may cause systemic corticosteroid effects of hypercorticism and adrenal suppression. Additionally, instruct patients that deaths due to adrenal insufficiency have occurred during and after transfer from systemic corticosteroids. Patients should taper slowly from systemic corticosteroids if transferring to QVAR [see WARNINGS AND PRECAUTIONS].
Reduction in Bone Mineral Density: Advise patients who are at an increased risk for decreased BMD that the use of corticosteroids may pose an additional risk and that they should be monitored and, where appropriate, be treated for this condition [see WARNINGS AND PRECAUTIONS].
Reduced Growth Velocity: Inform patients that orally inhaled corticosteroids, including QVAR, may cause a reduction in growth velocity when administered to pediatric patients. Physicians should closely follow the growth of pediatric patients taking corticosteroids by any route [see WARNINGS AND PRECAUTIONS].
Glaucoma and Cataracts: Long-term use of inhaled corticosteroids may increase the risk of some eye problems (glaucoma or cataracts); regular eye examinations should be considered [see WARNINGS AND PRECAUTIONS].
- Not for Acute Symptoms
Advise patients that QVAR is not intended for use in the treatment of acute asthma. Acute asthma symptoms should be treated with an inhaled, short-acting beta-2 agonist such as albuterol. Instruct the patient to contact their healthcare provider immediately if there is any deterioration of their asthma [see WARNINGS AND PRECAUTIONS]. - Susceptibility to Infections
Warn persons who are on immunosuppressant doses of corticosteroids to avoid exposure to chickenpox or measles and, if exposed, to consult their physician without delay. Inform patients of potential worsening of existing tuberculosis, fungal, bacterial, viral, or parasitic infections, or ocular herpes simplex[see WARNINGS AND PRECAUTIONS]. - Use Daily for Best Effect
Advise patients to use QVAR at regular intervals, since its effectiveness depends on regular use. Maximum benefit may not be achieved for 1 week or longer after starting treatment. If symptoms do not improve after 2 weeks of therapy or if the condition worsens, patients should be instructed to contact their physician. - Proper Use and Care of the Inhaler
Priming: Priming is essential to ensure appropriate beclomethasone dipropionate content in each actuation. Instruct patients to prime the inhaler before using for the first time and in cases where the inhaler has not been used for more than 10 days by releasing two sprays into the air, away from the face.
Cleaning: For normal hygiene, the mouthpiece of the inhaler should be cleaned weekly with a clean, dry tissue or cloth. DO NOT WASH OR PUT ANY PART OF THE INHALER IN WATER.
Dose Counter: Inform patients that QVAR has a dose counter attached to the actuator. When the patient receives the inhaler, a black dot will appear in the viewing window until it has been primed 2 times, at which point the total number of actuations will be displayed. The dose counter will count down each time a spray is released. The dose-counter window displays the number of sprays left in the inhaler in units of two (e.g., 120, 118, 116, etc). When the counter displays 20, the color of the numbers will change to red to remind the patient to contact their pharmacist for a refill of medication or consult their physician for a prescription refill. When the dose counter reaches 0, the background will change to solid red. Inform patients to discard the QVAR inhaler when the dose counter displays 0 or after the expiration date on the product, whichever comes first. - Discontinuing QVAR
Do not stop QVAR use abruptly. Instruct the patient to contact their healthcare provider immediately if use of QVAR is discontinued.
Nonclinical Toxicology
Carcinogenesis, Mutagenesis, Impairment Of Fertility
The carcinogenicity of beclomethasone dipropionate was evaluated in rats which were exposed for a total of 95 weeks, 13 weeks at inhalation doses up to 0.4 mg/kg/day and the remaining 82 weeks at combined oral and inhalation doses up to 2.4 mg/kg/day. There was no evidence of treatment-related increases in the incidence of tumors in this study at the highest dose, which is approximately 37 and 72 times the maximum recommended daily inhalation dose in adults and children, respectively, on a mg/m2 basis.
Beclomethasone dipropionate did not induce gene mutation in bacterial cells or mammalian Chinese Hamster ovary (CHO) cells in vitro. No significant clastogenic effect was seen in cultured CHO cells in vitro or in the mouse micronucleus test in vivo.
In rats, beclomethasone dipropionate caused decreased conception rates at an oral dose of 16 mg/kg/day (approximately 250 times the maximum recommended daily inhalation dose in adults on a mg/m2 basis). Impairment of fertility, as evidenced by inhibition of the estrous cycle in dogs, was observed following treatment by the oral route at a dose of 0.5 mg/kg/day (approximately 25 times the maximum recommended daily inhalation dose in adults on a mg/m2 basis). No inhibition of the estrous cycle in dogs was seen following 12 months of exposure to beclomethasone dipropionate by the inhalation route at an estimated daily dose of 0.33 mg/kg (approximately 17 times the maximum recommended daily inhalation dose in adults on a mg/m2 basis).
Use In Specific Populations
Pregnancy
Pregnancy Category C
Risk Summary
There are no adequate and well-controlled studies with QVAR in pregnant women. Animal studies were conducted with beclomethasone dipropionate in rats, mice, and rabbits. Systemic exposure data were not determined in the animal studies. In rats exposed to beclomethasone dipropionate by inhalation at doses greater than 180 times the maximum recommended adult human daily inhalation dose (MRHDID), doserelated gross injury to the fetal adrenal glands was observed. However, there was no evidence of external or skeletal malformations or embryolethality in rats at inhalation doses up to 440 times the MRHDID. Beclomethasone dipropionate was teratogenic (mice and rabbits) and embryolethal (rabbits) at subcutaneous doses equal to or greater than approximately 0.75 times the MRHDID. Beclomethasone dipropionate treatment was embryolethal and caused decreased pup survival in mice at subcutaneous doses equal to or greater than 2.3 times the MRHDID. Beclomethasone dipropionate should be used during pregnancy only if the potential benefit justifies the potential risk to the fetus.
Clinical Considerations
Disease-Associated Maternal and Fetal Risk
In women with poorly or moderately controlled asthma, evidence demonstrates that there is an increased risk of preeclampsia in the mother and prematurity, low birth weight and small for gestational age for the neonate. The level of asthma control should be closely monitored in pregnant women and treatment adjusted as necessary to maintain optimal control.
Animal Data
In an embryofetal development study in pregnant rats, beclomethasone dipropionate administration during organogenesis from gestation days 6 to 15 at inhaled doses 180 times the MRHDID (0.64 mg/day) in adults and higher (on a mg/m2 basis at maternal doses of 11.5 and 28.3 mg/kg/day) produced dosedependent gross injury (characterized by red foci) of the adrenalglands in fetuses. There were no findings in the adrenal glands of rat fetuses at an inhaled dose that was 40 times the MRHDID in adults(on a mg/m2 basis at a maternal dose of 2.4 mg/kg/day). There was no evidence of external or skeletal malformations or embryolethality in rat fetuses at inhaled doses up to 440 times the MRHDID (on a mg/m2 basis at maternal doses up to 28.3 mg/kg/day).
In an embryofetal development study in pregnant mice, beclomethasone dipropionate administration from gestation days 1 to 18 at subcutaneous doses equal to and greater than 0.75 times the MRHDID in adults (on a mg/m2 basis at maternal doses of 0.1 mg/kg/day and higher) produced teratogenic effects (increased incidence of cleft palate). A no effect dose in mice was not identified. In a second embryofetal development study in pregnant mice, beclomethasone dipropionate administration from gestation days 1 to 13 at subcutaneous doses equal to and greater than 2.3 times the MRHDID in adults (on a mg/m2 basis at a maternal dose of 0.3 mg/kg/day) produced embryolethal effects (increased fetal resorptions) and decreased pup survival.
In an embryofetal development study in pregnant rabbits, beclomethasone dipropionate administration during organogenesis from gestation days 7 to 16 at subcutaneous doses equal to and greater than 0.75 times the MRHDID in adults (on a mg/m2 basis at maternal doses of 0.025 mg/kg/day and higher) produced teratogenic (external and skeletal malformations) and embryolethal effects (increased fetal resorptions). There were no effects in fetuses of pregnant rabbits administered a subcutaneous dose 0.2 times the MRHDID in adults (on a mg/m2 basis at a maternal dose of 0.006 mg/kg/day).
Nursing Mothers
Corticosteroids are secreted in human milk. Caution should be exercised when QVAR is administered to a nursing mother.
Pediatric Use
Eight-hundred and thirty-four children between the ages of 5 and 12 were treated with HFA beclomethasone dipropionate (HFA-BDP) in clinical trials. The safety and effectiveness of QVAR in children below 5 years of age have not been established.
Use of QVAR with a spacer device in children less than 5 years of age is not recommended. In vitro dose characterization studies were performed with QVAR 40 mcg/actuation with the OptiChamber and AeroChamber Plus® spacer utilizing inspiratory flows representative of children under 5 years old. These studies indicated that the amount of medication delivered through the spacing device decreased rapidly with increasing wait times of 5 to 10 seconds as shown in Table 4. If QVAR is used with a spacer device, it is important to inhale immediately.
Based on the average inspiratory flow rates generated by children 6 months to 5 years old, the projected daily dose derived from QVAR 40 mcg at one puff per day at various wait times is depicted in Table 4 below:
Table 4 - Average Daily Dose Based on Wait Time in Pediatric Patients
| Wait time, seconds | Mean medication delivery through Aero Chamber mcg/actuation* i | Body Weight 50th percentile, kg† ii | Medication delivered per dose, mcg/kg‡ iii§ iv | |
| Age 6 months, Flow rate 4.8 L/min | 0 | 11.5 | 7.6 | 1.2 |
| Age 2 years, Flow rate 8.2 L/min | 0 | 14.1 | 13.5 | 0.83 |
| Age 2 years, Flow rate 8.2 L/min |
5 | 5.4 | 13.5 | 0.32 |
| Age 2 years, Flow rate 8.2 L/min |
10 | 3.9 | 13.5 | 0.23 |
| Age 5 years, Flow rate 11.0 L/min |
0 | 17.5 | 18 | 0.78 |
| *Summary Report; Pediatric Dose Characterization of QVAR with Spacer; 3M Pharmaceutical Development, July
21, 2004 †CDC Growth charts, developed by the National Center for Health Statistics in collaboration with the National Center for Chronic Disease Prevention and Health Promotion (2000). ‡Includes an estimated 20% loss in the masks\ §QVAR 4 0mcg in an average adult without using a spacer delivers approximately 0.4 mcg/kg, or bid, 0.8 mcg/kg/day. |
||||
Controlled clinical studies have shown that inhaled corticosteroids may cause a reduction in growth velocity in pediatric patients. A 12-month, randomized, controlled clinical trial evaluated the effects of HFA beclomethasone dipropionate without spacer versus CFC beclomethasone dipropionate with large-volume spacer on growth in children age 5 to 11. A total of 520 patients were enrolled, of whom 394 received HFA-BDP (100 to 400 mcg/day ex-valve) and 126 received CFC-BDP (200 to 800 mcg/day ex-valve). Similar control of asthma was noted in each treatment arm. When comparing results at month 12 to baseline, the mean growth velocity in children treated with HFA-BDP was approximately 0.5 cm/year less than that noted with children treated with CFC-BDP via large-volume spacer. The long-term effects of the reduction in growth velocity associated with orally inhaled corticosteroids, including the impact on final adult height, are unknown. The potential for "catch-up" growth following discontinuation of treatment with orally inhaled corticosteroids has not been adequately studied.
The growth of children and adolescents receiving orally inhaled corticosteroids, including QVAR, should be monitored routinely (e.g., via stadiometry). If a child or adolescent on any corticosteroid appears to have growth suppression, the possibility that he/she is particularly sensitive to this effect should be considered. The potential growth effects of prolonged treatment should be weighed against clinical benefits obtained and the risks associated with alternative therapies. To minimize the systemic effects of orally inhaled corticosteroids, including QVAR, each patient should be titrated to his/her lowest effective dose [see DOSAGE AND ADMINISTRATION].
Geriatric Use
Clinical studies of QVAR did not include sufficient numbers of subjects aged 65 and over to determine whether they respond differently from younger subjects. Other reported clinical experience has not identified differences in responses between the elderly and younger patients. In general, dose selection for an elderly patient should be cautious, usually starting at the low end of the dosing range, reflecting the greater frequency of decreased hepatic, renal, or cardiac function, and of concomitant disease or other drug therapy.
Overdosage & Contraindications
OVERDOSE
No Information Provided
CONTRAINDICATIONS
Status Asthmaticus
QVAR is contraindicated in the primary treatment of status asthmaticus or other acute episodes of asthma where intensive measures are required.
Hypersensitivity
QVAR is contraindicated in patients with known hypersensitivity to beclomethasone dipropionate or any of the ingredients in QVAR [see WARNINGS AND PRECAUTIONS].
Clinical Pharmacology
Mechanism Of Action
Beclomethasone dipropionate is a corticosteroid demonstrating potent anti-inflammatory activity. The precise mechanism of corticosteroid action on asthma is not known. Corticosteroids have been shown to have multiple anti-inflammatory effects, inhibiting both inflammatory cells (e.g., mast cells, eosinophils, basophils, lymphocytes, macrophages, and neutrophils) and release of inflammatory mediators (e.g., histamine, eicosanoids, leukotrienes, and cytokines). These anti-inflammatory actions of corticosteroids may contribute to their efficacy in asthma.
Beclomethasone dipropionate is a prodrug that is rapidly activated by hydrolysis to the active monoester, 17 monopropionate (17-BMP). Beclomethasone 17 monopropionate has been shown in vitro to exhibit a binding affinity for the human glucocorticoid receptor which is approximately 13 times that of dexamethasone, 6 times that of triamcinolone acetonide, 1.5 times that of budesonide and 25 times that of beclomethasone dipropionate. The clinical significance of these findings is unknown.
Studies in patients with asthma have shown a favorable ratio between topical anti-inflammatory activity and systemic corticosteroid effects with recommended doses ofQVAR.
Pharmacodynamics
HPA Axis Effects
The effects of QVAR on the hypothalamic-pituitary-adrenal (HPA) axis were studied in 40 corticosteroid-naive patients. QVAR, at doses of 80, 160 or 320 mcg twice daily was compared with placebo and 336 mcg twice daily of beclomethasone dipropionate in a CFC propellant based formulation (CFC-BDP). Active treatment groups showed an expected dose-related reduction in 24- hour urinary-free cortisol (a sensitive marker of adrenal production of cortisol). Patients treated with the highest dose recommended of QVAR (320 mcg twice daily) had a 37.3% reduction in 24-hour urinary-free cortisol compared to a reduction of 47.3% produced by treatment with 336 mcg twice daily of CFC-BDP. There was a 12.2% reduction in 24-hour urinary-free cortisol seen in the group of patients that received 80 mcg twice daily of QVAR and a 24.6% reduction in the group of patients that received 160 mcg twice daily. An open label study of 354 asthma patients given QVAR at recommended doses for one year assessed the effect of QVAR treatment on the HPA axis (as measured by both morning and stimulated plasma cortisol). Less than 1% of patients treated for one year with QVAR had an abnormal response (peak less than 18 mcg/dL) to short-cosyntropin test.
Pharmacokinetics
Beclomethasone dipropionate (BDP) undergoes rapid and extensive conversion to beclomethasone-17- monopropionate (17-BMP) during absorption. The pharmacokinetics of 17-BMP has been studied in asthmatics given single doses.
Absorption
The mean peak plasma concentration (Cmax) of BDP was 88 pg/ml at 0.5 hour after inhalation of 320 mcg using QVAR (4 actuations of the 80 mcg/actuation strength). The mean peak plasma concentration of the major and most active metabolite, 17-BMP, was 1419 pg/ml at 0.7 hour after inhalation of 320 mcg of QVAR. When the same nominal dose is provided by the two QVAR strengths (40 and 80 mcg/actuation), equivalent systemic pharmacokinetics can be expected. The Cmax of 17-BMP increased dose proportionally in the dose range of 80 and 320 mcg.
Metabolism
Three major metabolites are formed via cytochrome P450-3A catalyzed biotransformation: beclomethasone-17-monopropionate (17-BMP), beclomethasone-21-monopropionate (21-BMP) and beclomethasone (BOH). Lung slices metabolize BDP rapidly to 17-BMP and more slowly to BOH. 17-BMP is the most active metabolite.
Distribution
The in vitro protein binding for 17-BMP was reported to be 94-96% over the concentration range of 1000 to 5000 pg/mL. Protein binding was constant over the concentration range evaluated. There is no evidence of tissue storage of BDP or its metabolites.
Elimination
The major route of elimination of inhaled BDP appears to be via hydrolysis. More than 90% of inhaled BDP is found as 17-BMP in the systemic circulation. The mean elimination half-life of17-BMP is 2.8 hours. Irrespective of the route of administration (injection, oral or inhalation), BDP and its metabolites are mainly excreted in the feces. Less than 10% of the drug and its metabolites are excreted in the urine.
Special Populations
Formal pharmacokinetic studies using QVAR were not conducted in any special populations.
Pediatrics
The pharmacokinetics of 17-BMP, including dose and strength proportionalities, is similar in children and adults, although the exposure is highly variable. In 17 children (mean age 10 years), the Cmax of 17-BMP was 787 pg/ml at 0.6 hour after inhalation of 160 mcg (4 actuations of the 40 mcg/actuation strength of HFA beclomethasone dipropionate). The systemic exposure to 17-BMP from 160 mcg of HFA-BDP administered without a spacer was comparable to the systemic exposure to 17- BMP from 336 mcgCFC-BDP administered with a large volume spacer in 14 children (mean age 12 years). This implies that approximately twice the systemic exposure to 17-BMP would be expected for comparable mg doses of HFA-BDP without a spacer and CFC-BDP with a large volumespacer.
Clinical Studies
Blinded, randomized, parallel, placebo-controlled and active-controlled clinical studies were conducted in 940 adult asthma patients to assess the efficacy and safety of QVAR in the treatment of asthma. Fixed doses ranging from 40 mcg to 160 mcg twice daily were compared to placebo, and doses ranging from 40 mcg to 320 mcg twice daily were compared with doses of 42 mcg to 336 mcg twice daily of an active CFC-BDP comparator. These studies provided information about appropriate dosing through a range of asthma severity. A blinded, randomized, parallel, placebo-controlled study was conducted in 353 pediatric patients (age 5 to 12 years) to assess the efficacy and safety of HFA beclomethasone dipropionate in the treatment of asthma.Fixed doses of 40 mcg and 80 mcg twice daily were compared with placeboin thisstudy. In these adult and pediatric efficacy trials, at the doses studied, measures of pulmonary function [forced expiratory volume in 1 second (FEV1) and morning peak expiratory flow (AM PEF)] and asthma symptoms were significantly improved with QVAR treatment when compared to placebo.
In controlled clinical trials with adult patients not adequately controlled with beta-agonist alone, QVAR was effective at improving asthma control at doses as low as 40 mcg twice daily (80 mcg/day). Comparable asthma control was achieved at lower daily doses of QVAR than with CFC-BDP. Treatment with increasing doses of both QVAR and CFC-BDP generally resulted in increased improvement in FEV1 . In this trial the improvement in FEV1 across doses was greater for QVAR than for CFC-BDP, indicating a shift in the doseresponse curve for QVAR.
Adult And Adolescent Patients Greater Than 12 Years Of Age
Patients Not Previously Receiving Corticosteroid Therapy
In a 6-week clinical trial, 270 steroid-naive patients with symptomatic asthma being treated with as-needed beta-agonist bronchodilators, were randomized to receive either 40 mcg twice daily of QVAR, 80 mcg twice daily of QVAR, or placebo. Both doses of QVAR were effective in improving asthma control with significantly greater improvements in FEV1 , AM PEF, and asthma symptoms than with placebo. Shown below is the change from baseline in AM PEF during this trial.
A 6-Week Clinical Trial in Patients with Mild to Moderate Asthma Not on Corticosteroid Therapy Prior to Study Entry:
Mean Change in AM PEF
![]() |
In a 6-week clinical trial, 256 patients with symptomatic asthma being treated with as-needed betaagonist bronchodilators, were randomized to receive either 160 mcg twice-daily of QVAR (delivered as either 40 mcg/actuation or 80 mcg/actuation) or placebo. Treatment with QVAR significantly improved asthma control, as assessed by FEV1 , AM PEF, and asthma symptoms, when compared to treatment with placebo. Comparable improvement in AM PEF was seen for patients receiving 160 mcg twice-daily QVAR fromthe 40 mcg and 80 mcg strength products.
Patients Responsive To A Short Course Of Oral Corticosteroids
In another clinical trial, 347 patients with symptomatic asthma, being treated with as-needed inhaled beta-agonist bronchodilators and, in some cases, inhaled corticosteroids, were given a 7 to 12-day course of oral corticosteroids and then randomized to receive either 320 mcg daily of QVAR, 672 mcg of CFC-BDP, or placebo. Patients treated with either QVAR or CFC-BDP had significantly better asthma control, as assessed by AM PEF, FEV1 and asthma symptoms, and fewer study withdrawals due to asthma symptoms, than those treated with placebo over 12 weeks of treatment. A daily dose of 320 mcg QVAR administered in divided doses provided comparable control of AM PEF and FEV1 as 672 mcg of CFC-BDP. Shown beloware themeanAM PEF results from this trial.
A 12-Week Clinical Trial in Moderate Symptomatic Patients with Asthma Responding to Oral Corticosteroid Therapy:
Mean AM PEF by Study Week
![]() |
Patients Previously On Inhaled Corticosteroids
In a 6-week clinical trial, 323 patients who exhibited a deterioration in asthma control during an inhaled corticosteroid washout period were randomized to daily treatment with either 40, 160, or 320 mcg twice-daily QVAR or 42, 168 or 336 mcg twice-daily CFC-BDP. Treatment with increasing doses of both QVAR and CFC-BDP resulted in increased improvement in FEV1 , FEF (forced expiratory flow over 25-75% of the vital capacity) and asthma symptoms. Shown below is the change from baseline in FEV1 as percent predicted after 6 weeks of treatment.
A 6-Week Dose Response Clinical Trial in Patients with Inhaled Corticosteroid-Dependent Asthma:
Mean Change in FEV1 as Percent of Predicted
![]() |
Pediatric Patients 5 To 12 Years Of Age
In one 12-week clinical trial, pediatric patients (age 5 to 12 years) with symptomatic asthma (N=353) being treated with as-needed beta-agonist bronchodilators were randomized to receive either 40 mcg or 80 mcg twice daily of HFA beclomethasone dipropionate or placebo. Both doses were effective in improving asthma control with significantly greater improvements in FEV1 (9% and 10% predicted change from baseline at week 12 in FEV1 percent predicted, respectively) than with placebo (4% predicted change).
Medication Guide
PATIENT INFORMATION
QVAR®
(Kyü-vär)
(beclomethasone dipropionate HFA)
Inhalation Aerosol
For oral inhalation only
Read this Patient Information before you start using QVAR and each time you get a refill. There may be new information. This information does not take the place of talking to your healthcare provider about your medical condition or your treatment.
What is QVAR?
QVAR is an inhaled prescription medicine used as a maintenance treatment for the prevention and control of asthma in people 5 years of age and older.
- QVAR is not used to treat sudden severe symptoms of asthma.
- QVAR should not be used as a rescue inhaler.
- It is not known if QVAR is safe and effective in children less than 5 years of age.
Who should not use QVAR?
Do not use QVAR:
- to treat sudden symptoms of severe asthma
- if you are allergic to beclomethasone dipropionate or any of the ingredients in QVAR. See the end of this leaflet for a complete list of ingredients in QVAR.
What should I tell my healthcare provider before using QVAR?
Before you use QVAR, tell your healthcare provider if you:
- are exposed to chickenpox or measles
- have or have had tuberculosis (TB) or any untreated fungal, bacterial or viral infections, or eye infections caused by herpes
- have osteoporosis
- have an immune system problem
- have or have had eye problems, such as increased pressure in your eye (glaucoma) or cataracts
- have any other medical problems
- are pregnant or plan to become pregnant. It is not known if QVAR will harm your unborn baby.
- are breastfeeding or plan to breastfeed. It is not known if QVAR passes into your breast milk. Talk to your healthcare provider about the best way to feed your baby if you use QVAR.
Tell your healthcare provider about all of the medications you take, including prescription and over-the-counter medicines, vitamins, and herbal supplements.
Know the medicines you take. Keep a list of them to show to your healthcare provider and pharmacist when you get a new medicine.
How should I use QVAR?
Read the step-by-step instructions for using QVAR at the end of this Patient Information leaflet.
- Use QVAR exactly as your healthcare provider tells you to. Do not use QVAR more often than it is prescribed.
- Do not change or stop using QVAR or other asthma medicines used to treat your breathing problems unless your healthcare provider tells you to. Your healthcare provider will change your medicines as needed.
- You must use QVAR regularly. It may take 1 to 4 weeks, or longer, after you start using QVAR for your asthma symptoms to get better. Do not stop using QVAR, even if you are feeling better, unless your healthcare provider tells you to.
- QVAR comes in 2 strengths (40 and 80 mcg). Your healthcare provider has prescribed the strength that is best for you. Pay attention to the differences between QVAR and your other inhaled medicines, including their prescribed use and the way they look.
- QVAR does not relieve sudden asthma symptoms. Always have a rescue inhaler with you to treat sudden symptoms. Use your rescue inhaler if you have breathing problems between doses of QVAR. If you do not have a rescue inhaler, call your healthcare provider to have a rescue inhaler prescribed for you.
- Rinse your mouth with water after each dose of QVAR. This will help lessen the chance of getting a yeast infection (thrush) in your mouth and throat.
- Do not spray QVAR in your face or eyes. If you accidentally get QVAR in your eyes, rinse your eyes with water and if redness or irritation continues, call your healthcare provider.
What should I avoid while using QVAR?
If you have not had, or have not been vaccinated against, chickenpox or measles, you should stay away from people who are infected.
What are the possible side effects of QVAR?
QVAR may cause serious side effects, including:
- fungal infections (thrush) in your mouth and throat. You may develop a yeast infection (Candida albicans) in your mouth and throat.Tell your healthcare provider if you have any redness or white colored patches in your mouth or throat. Rinse your mouth after using QVAR to help prevent an infection in your mouth or throat.
- worsening asthma or sudden asthma attacks. You should contact your healthcare provider right away if you do not get relief from your sudden asthma attacks, after using your rescue inhaler, during your treatment with QVAR.
- adrenal insufficiency. Adrenal insufficiency that can lead to death can happen when you stop
taking oral corticosteroid medicines and start using inhaled corticosteroid medicines. Adrenal
insufficiency can also happen in people who take higher doses of QVAR than recommended over
a long period of time. When your body is under stress such as from fever, trauma (such as a car
accident), infection, or surgery, adrenal insufficiency can get worse. Signs and symptoms of
adrenal insufficiency may include:
- feeling tired or exhausted (fatigue)
- lack of energy
- weakness
- dizziness or feeling faint
- nausea and vomiting
- low blood pressure (hypotension)
- immune system effects and a higher chance for infections. Tell your healthcare provider
about any signs or symptoms of infection such as:
- fever
- pain
- body aches
- chills
- feeling tired
- nausea
- vomiting
- increased wheezing (bronchospasm) right after using QVAR. Always have a rescue inhaler with you to treat sudden wheezing.
- serious allergic reactions. Stop using QVAR and call your healthcare provider or get
emergency medical help right away if you get any of the following signs or symptoms of an
serious allergic reaction:
- hives
- swelling of your lips, tongue, or face
- rash
- breathing problems
- slowed growth in children. Children should have their growth checked regularly while using QVAR.
- lower bone density. This may be a problem for people who already have a higher chance for low bone density (osteoporosis).
- eye problems including glaucoma and cataracts. If you have had glaucoma or cataracts in the past, you should have regular eye exams while using QVAR.
The most common side effects of QVAR include:
- headache
- throat irritation (pharyngitis)
- sinus irritation (sinusitis)
Tell your healthcare provider if you have any side effect that bothers you or that does not go away.
These are not all the possible side effects of QVAR. Ask your healthcare provider or pharmacist for more information.
Call your doctor for medical advice about side effects. You may report side effects to FDA at 1-800- FDA-1088.
How should I store QVAR?
- Store QVAR at room temperature between 68ºF to 77ºF (20ºC to 25ºC).
- Your QVAR canister should only be used with the QVAR actuator. Do not use any other medicines in your QVAR actuator.
- The contents of your QVAR canister are under pressure. Do not puncture the QVAR canister.
- Do not store your QVAR canister near heat or a flame. Temperatures above 120ºF may cause the canister to burst.
- Do not throw your QVAR canister into a fire or incinerator.
- When not in use, store QVAR so that the product rests on the concave end of the canister with the plastic actuator on top.
Keep QVAR and all medicines out of the reach of children.
General information about the safe and effective use of QVAR.
Medicines are sometimes prescribed for purposes other than those listed in a Patient Information leaflet. Do not use QVAR for a condition for which it was not prescribed. Do not give QVAR to other people, even if they have the same symptoms that you have. It may harm them.
This Patient Information leaflet summarizes the most important information about QVAR. If you would like more information, talk with your healthcare provider. You can ask your pharmacist or healthcare provider for information about QVAR that is written for health professionals.
For more information, go to www.QVAR.com or call 1-888-482-9522.
What are the ingredients in QVAR?
Active ingredient: beclomethasone dipropionate
Inactive ingredients: propellant HFA-134a and ethanol
Instructions for Use
QVAR
(Kyü-vär)
(beclomethasone dipropionate HFA)
Inhalation Aerosol
It is important that you read these instructions before using QVAR.
Correct and regular use of the inhaler will prevent or lessen the severity of asthma attacks.
- Do not use the QVAR actuator with a canister of medicine from any other inhaler.
- Do not use a QVAR canister with an actuator from any other inhaler, including another QVAR inhaler.
The parts of your QVAR:
- There are 2 main parts of your QVAR inhaler including the:
- metal canister that holds the medicine (See Figure A)
- plastic actuator that sprays the medicine from the canister (See Figure A)
- The inhaler has a protective dust cap that covers the mouthpiece of the actuator (See Figure A).
The protective dust cap should be removed before use.
- The inhaler comes with a dose counter located on the back of the actuator (See Figure B). The dose counter window will show you the number of actuations (puffs) of medicine remaining in units of 2. The inhaler contains “120” actuations (puffs).
- The first time you use QVAR inhaler, the dose counter will show “120” actuations remaining (See Figure B). Each time you press the metal canister, a puff of medicine is released and the dose counter will count down.
- When the dose counter reaches 0, it will continue to show 0 and you should replace your QVAR inhaler.
- The dose counter cannot be reset and is permanently attached to the actuator. Never change the numbers for the dose counter or touch the pin inside the actuator.Do not remove the metal canister from the plastic actuator.
![]() |
Figure A
![]() |
Figure B
Do not remove the metal canister from the plastic actuator.
Before using your QVAR inhaler:
Remove the cap from the mouthpiece of the actuator (See Figure C). Check the mouthpiece for objects before use. Make sure the metal canister is fully inserted into the actuator.
![]() |
Figure C
Priming your QVAR inhaler:
Before you use your QVAR inhaler for the first time or if you have not used your QVAR Inhaler for more than 10 days, you will need to prime your QVAR Inhaler.
- Before priming, the inhaler will show a black dot in the dose counter window (See Figure D).
- Hold the QVAR Inhaler in the upright position and with the mouthpiece pointing away from you.
- Press down on the metal canister 2 times and release 2 actuations (puffs) into the air and away from your face.
- After priming 2 times, the dose counter should read “120.”
- Your QVAR Inhaler is now ready to use.
![]() |
Figure D
Using your QVAR inhaler:
Step 1: Remove the cap from the mouthpiece of the actuator (See Figure C).Check the mouthpiece for objects before use. Make sure the metal canister is fully inserted into the actuator.
Step 2: Breathe out as fully as you comfortably can. Hold the inhaler in the upright position (See Figure E). Close your lips around the mouthpiece, keeping your tongue below it.
![]() |
Figure E
Step 3: While breathing in deeply and slowly, press down on the metal canister with your finger (See Figure E). When you have finished breathing in, hold your breath as long as you comfortably can (5 to 10 seconds).
Step 4: Take your finger off the metal canister and remove the inhaler from your mouth. Breathe out gently.
If your healthcare provider has told you to take more than 1 inhalation per dose, repeat steps 1 through 4.
After using your QVAR inhaler:
- Replace the cap over the mouthpiece right away after use.
- You should rinse your mouth with water after you finish using QVAR.
- Clean the mouthpiece of your QVAR inhaler weekly with a clean, dry tissue or cloth.
- Do not wash or put any part of your inhaler in water.
When to replace your QVAR Inhaler:
- It is important that you pay attention to the number of actuations (puffs) left in your QVAR inhaler by reading the dose counter.
- When the dose counter on the actuator reads “20”, the color of the number will change to red and you should refill your prescription or ask your healthcare provider if you need another prescription for QVAR Inhaler.
- When the dose counter reaches “0”, the background color in the dose counter window will change to solid red. Throw away your QVAR inhaler as soon as the dose counter reads “0” or by the expiration date on the QVAR Inhaler package, whichever comes first.
- Do not use QVAR past the expiration date.
This Patient Information and Instructions for Use has been approved by the U.S. Food and Drug Administration.









