Qualaquin Drug Description: Detailed Datasheet
- Generic Name: quinine sulfate capsules
- Brand Name: Qualaquin
- Drug Class: Antimalarials
side effects drug center qualaquin (quinine sulfate capsules) drug
Drug Description
QUALAQUIN®
(quinine sulfate) Capsules, USP
WARNING
HEMATOLOGIC REACTIONS
QUALAQUIN® use for the treatment or prevention of nocturnal leg cramps may result in serious and life-threatening hematologic reactions, including thrombocytopenia and hemolytic uremic syndrome/thrombotic thrombocytopenic purpura (HUS/TTP). Chronic renal impairment associated with the development of TTP has been reported. The risk associated with QUALAQUIN use in the absence of evidence of its effectiveness in the treatment or prevention of nocturnal leg cramps outweighs any potential benefit [see WARNINGS AND PRECAUTIONS].
DESCRIPTION
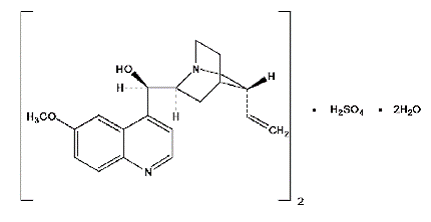
QUALAQUIN (quinine sulfate) is a cinchona alkaloid chemically described as cinchonan-9-ol, 6'-methoxy-, (8&apha, 9R)-, sulfate (2:1) (salt), dihydrate with a molecular formula of (C20H24N2O2)2•H2SO4•2H2O and a molecular weight of 782.96.
The structural formula of quinine sulfate is:
![]() |
Quinine sulfate occurs as a white, crystalline powder that darkens on exposure to light. It is odorless and has a persistent very bitter taste. It is only slightly soluble in water, alcohol, chloroform, and ether.
QUALAQUIN is supplied for oral administration as capsules containing 324 mg of the active ingredient quinine sulfate USP, equivalent to 269 mg free base. Inactive ingredients: corn starch, magnesium stearate, and talc.
Indications & Dosage
INDICATIONS
QUALAQUIN (quinine sulfate) is an antimalarial drug indicated only for treatment of uncomplicated Plasmodium falciparum malaria. Quinine sulfate has been shown to be effective in geographical regions where resistance to chloroquine has been documented [see Clinical Studies].
QUALAQUIN oral capsules are not approved for:
- Treatment of severe or complicated P. falciparum malaria.
- Prevention of malaria.
- Treatment or prevention of nocturnal leg cramps [see WARNINGS AND PRECAUTIONS].
DOSAGE AND ADMINISTRATION
Treatment Of Uncomplicated P. falciparum Malaria
For treatment of uncomplicated P. falciparum malaria in adults: Orally, 648 mg (two capsules) every 8 hours for 7 days [see Clinical Studies].
QUALAQUIN should be taken with food to minimize gastric upset [see CLINICAL PHARMACOLOGY].
Renal Impairment
In patients with acute uncomplicated malaria and severe chronic renal impairment, the following dosage regimen is recommended: one loading dose of 648 mg QUALAQUIN followed 12 hours later by maintenance doses of 324 mg every 12 hours.
The effects of mild and moderate renal impairment on the safety and pharmacokinetics of quinine sulfate are not known [see Use in Specific Populations, CLINICAL PHARMACOLOGY].
Hepatic Impairment
Adjustment of the recommended dose is not required in mild (Child-Pugh A) or moderate (Child-Pugh B) hepatic impairment, but patients should be monitored closely for adverse effects of quinine. Quinine should not be administered in patients with severe (Child-Pugh C) hepatic impairment [see Use in Specific Populations, CLINICAL PHARMACOLOGY].
HOW SUPPLIED
Dosage Forms And Strengths
324 mg capsules -hard gelatin, clear cap/clear body, imprinted with 'AR 102'
Storage And Handling
QUALAQUIN capsules USP, 324 mg are available as clear/clear capsules imprinted AR 102:
Bottles of 30 NDC 49708-153-07
Storage
Store at 20° to 25°C (68° to 77°F).
[See USP Controlled Room Temperature]
Dispense in a tight container as defined in the USP.
Manufactured by: Mutual Pharmaceutical Company, Inc. Philadelphia, PA 19124. Distributed by: Caraco Pharmaceutical Laboratories, Ltd. Detroit, MI 48202. Rev, July 2014
Side Effects
Overall
Quinine can adversely affect almost every body system. The most common adverse events associated with quinine use are a cluster of symptoms called “cinchonism”, which occurs to some degree in almost all patients taking quinine. Symptoms of mild cinchonism include headache, vasodilation and sweating, nausea, tinnitus, hearing impairment, vertigo or dizziness, blurred vision, and disturbance in color perception. More severe symptoms of cinchonism are vomiting, diarrhea, abdominal pain, deafness, blindness, and disturbances in cardiac rhythm or conduction. Most symptoms of cinchonism are reversible and resolve with discontinuation of quinine.
The following ADVERSE REACTIONS have been reported with quinine sulfate. Because these reactions have been reported voluntarily from a population of uncertain size, it is not always possible to reliably estimate their frequency or establish a causal relationship to drug exposure.
General: fever, chills, sweating, flushing, asthenia, lupus-like syndrome, and hypersensitivity reactions.
Hematologic: agranulocytosis, hypoprothrombinemia, thrombocytopenia, disseminated intravascular coagulation, hemolytic anemia; hemolytic uremic syndrome, thrombotic thrombocytopenic purpura, idiopathic thrombocytopenic purpura, petechiae, ecchymosis, hemorrhage, coagulopathy, blackwater fever, leukopenia, neutropenia, pancytopenia, aplastic anemia, and lupus anticoagulant.
Neuropsychiatric: headache, diplopia, confusion, altered mental status, seizures, coma, disorientation, tremors, restlessness, ataxia, acute dystonic reaction, aphasia, and suicide.
Dermatologic: cutaneous rashes, including urticarial, papular, or scarlatinal rashes, pruritus, bullous dermatitis, exfoliative dermatitis, erythema multiforme, Stevens-Johnson syndrome, toxic epidermal necrolysis, fixed drug eruption, photosensitivity reactions, allergic contact dermatitis, acral necrosis, and cutaneous vasculitis.
Respiratory: asthma, dyspnea, pulmonary edema.
Cardiovascular: chest pain, vasodilatation, hypotension, postural hypotension, tachycardia, bradycardia, palpitations, syncope, atrioventricular block, atrial fibrillation, irregular rhythm, unifocal premature ventricular contractions, nodal escape beats, U waves, QT prolongation, ventricular fibrillation, ventricular tachycardia, torsades de pointes, and cardiac arrest.
Gastrointestinal: nausea, vomiting, diarrhea, abdominal pain, gastric irritation, and esophagitis.
Hepatobiliary: granulomatous hepatitis, hepatitis, jaundice, and abnormal liver function tests.
Metabolic: hypoglycemia and anorexia.
Musculoskeletal: myalgias and muscle weakness.
Renal: hemoglobinuria, renal failure, renal impairment, and acute interstitial nephritis.
Special Senses: visual disturbances, including blurred vision with scotomata, sudden loss of vision, photophobia, diplopia, night blindness, diminished visual fields, fixed pupillary dilatation, disturbed color vision, optic neuritis, blindness, vertigo, tinnitus, hearing impairment, and deafness.
Drug Interactions
Effects Of Drugs And Other Substances On Quinine Pharmacokinetics
Quinine is a P-gp substrate and is primarily metabolized by CYP3A4. Other enzymes, including CYP1A2, CYP2C8, CYP2C9, CYP2C19, CYP2D6, and CYP2E1 may contribute to the metabolism of quinine [see CLINICAL PHARMACOLOGY].
Antacids
Antacids containing aluminum and/or magnesium may delay or decrease absorption of quinine. Concomitant administration of these antacids with QUALAQUIN should be avoided.
Antiepileptics (AEDs) (carbamazepine, phenobarbital, and phenytoin)
Carbamazepine, phenobarbital, and phenytoin are CYP3A4 inducers and may decrease quinine plasma concentrations if used concurrently with QUALAQUIN.
Cholestyramine
In 8 healthy subjects who received quinine sulfate 600 mg with or without 8 grams of cholestyramine resin, no significant difference in quinine pharmacokinetic parameters was seen.
Cigarette Smoking (CYP1A2 inducer)
In healthy male heavy smokers, the mean quinine AUC following a single 600 mg dose was 44% lower, the mean Cmax was 18% lower, and the elimination half-life was shorter (7.5 hours versus 12 hours) than in their non-smoking counterparts. However, in malaria patients who received the full 7-day course of quinine therapy, cigarette smoking produced only a 25% decrease in median quinine AUC and a 16.5% decrease in median Cmax, suggesting that the already reduced clearance of quinine in acute malaria could have diminished the metabolic induction effect of smoking. Because smoking did not appear to influence the therapeutic outcome in malaria patients, it is not necessary to increase the dose of quinine in the treatment of acute malaria in heavy cigarette smokers.
Grapefruit juice (P-gp/CYP3A4 inhibitor)
In a pharmacokinetic study involving 10 healthy subjects, the administration of a single 600 mg dose of quinine sulfate with grapefruit juice (full-strength or half-strength) did not significantly alter the pharmacokinetic parameters of quinine. QUALAQUIN may be taken with grapefruit juice.
Histamine H2-receptor blockers [cimetidine, ranitidine (nonspecific CYP450 inhibitors)]
In healthy subjects who were given a single oral 600 mg dose of quinine sulfate after pretreatment with cimetidine (200 mg three times daily and 400 mg at bedtime for 7 days) or ranitidine (150 mg twice daily for 7 days), the apparent oral clearance of quinine decreased and the mean elimination half-life increased significantly when given with cimetidine but not with ranitidine. Compared to untreated controls, the mean AUC of quinine increased by 20% with ranitidine and by 42% with cimetidine (p < 0.05) without a significant change in mean quinine Cmax. When quinine is to be given concomitantly with a histamine H2-receptor blocker, the use of ranitidine is preferred over cimetidine. Although cimetidine and ranitidine may be used concomitantly with QUALAQUIN, patients should be monitored closely for adverse events associated with quinine.
Isoniazid
Isoniazid 300 mg/day pretreatment for 1 week did not significantly alter the pharmacokinetic parameter values of quinine. Adjustment of QUALAQUIN dosage is not necessary when isoniazid is given concomitantly.
Ketoconazole (CYP3A4 inhibitor)
In a crossover study, healthy subjects (N=9) who received a single oral dose of quinine hydrochloride (500 mg) concomitantly with ketoconazole (100 mg twice daily for 3 days) had a mean quinine AUC that was higher by 45% and a mean oral clearance of quinine that was 31% lower than after receiving quinine alone. Although no change in the QUALAQUIN dosage regimen is necessary with concomitant ketoconazole, patients should be monitored closely for adverse reactions associated with quinine.
Macrolide Antibiotics (erythromycin, troleandomycin) (CYP3A4 inhibitors)
In a crossover study (N=10), healthy subjects who received a single oral 600 mg dose of quinine sulfate with the macrolide antibiotic, troleandomycin (500 mg every 8 hours) exhibited a 87% higher mean quinine AUC, a 45% lower mean oral clearance of quinine, and a 81% lower formation clearance of the main metabolite, 3-hydroxyquinine, than when quinine was given alone.
Erythromycin was shown to inhibit the in vitro metabolism of quinine in human liver microsomes, an observation confirmed by an in vivo interaction study. In a crossover study (N=10), healthy subjects who received a single oral 500 mg dose of quinine sulfate with erythromycin (600 mg every 8 hours for four days) showed a decrease in quinine oral clearance (CL/F), an increase in half-life, and a decreased metabolite (3hydroxyquinine) to quinine AUC ratio, as compared to when quinine was given with placebo.
Therefore, concomitant administration of macrolide antibiotics such as erythromycin or troleandomycin with QUALAQUIN should be avoided [see WARNINGS AND PRECAUTIONS].
Oral Contraceptives (estrogen, progestin)
In 7 healthy females who were using single-ingredient progestin or combination estrogen-containing oral contraceptives, the pharmacokinetic parameters of a single 600 mg dose of quinine sulfate were not altered in comparison to those observed in 7 age-matched female control subjects not using oral contraceptives.
Rifampin (CYP3A4 inducer)
In patients with uncomplicated P. falciparum malaria who received quinine sulfate 10 mg/kg concomitantly with rifampin 15 mg/kg/day for 7 days (N=29), the median AUC of quinine between days 3 and 7 of therapy was 75% lower as compared to those who received quinine monotherapy. In healthy subjects (N=9) who received a single oral 600 mg dose of quinine sulfate after 2 weeks of pretreatment with rifampin 600 mg/day, the mean quinine AUC and Cmax decreased by 85% and 55%, respectively. Therefore, the concomitant administration of rifampin with QUALAQUIN should be avoided [see WARNINGS AND PRECAUTIONS].
Ritonavir
In healthy subjects who received a single oral 600 mg dose of quinine sulfate with the 15th dose of ritonavir (200 mg every 12 hours for 9 days), there were 4-fold increases in the mean quinine AUC and Cmax, and an increase in the mean elimination half-life (13.4 hours versus 11.2 hours), compared to when quinine was given alone. Therefore, the concomitant administration of ritonavir with QUALAQUIN capsules should be avoided [see also Effects of Quinine on the Pharmacokinetics of Other Drugs].
Tetracycline
In 8 patients with acute uncomplicated P. falciparum malaria who were treated with oral quinine sulfate (600 mg every 8 hours for 7 days) in combination with oral tetracycline (250 mg every 6 hours for 7 days), the mean plasma quinine concentrations were about two-fold higher than in 8 patients who received quinine monotherapy. Although tetracycline may be concomitantly administered with QUALAQUIN, patients should be monitored closely for adverse reactions associated with quinine sulfate.
Theophylline Or Aminophylline
In 20 healthy subjects who received multiple doses of QUALAQUIN (648 mg every 8 hours x 7 days) with a single 300 mg oral dose of theophylline, the quinine mean Cmax and AUC were increased by 13% and 14% respectively. Although no change in the QUALAQUIN dosage regimen is necessary with concomitant theophylline or aminophylline, patients should be monitored closely for adverse reactions associated with quinine.
Urinary Alkalizers (acetazolamide, sodium bicarbonate)
Urinary alkalinizing agents may increase plasma quinine concentrations.
Effects Of Quinine On The Pharmacokinetics Of Other Drugs
Results of in vivo drug interaction studies suggest that quinine has the potential to inhibit the metabolism of drugs that are substrates of CYP3A4 and CYP2D6. Quinine inhibits P-gp and has the potential to affect the transport of drugs that are P-gp substrates.
Anticonvulsants (carbamazepine, phenobarbital, and phenytoin)
A single 600 mg oral dose of quinine sulfate increased the mean plasma Cmax, and AUC0–24 of single oral doses of carbamazepine (200 mg) and phenobarbital (120 mg) but not phenytoin (200 mg) in 8 healthy subjects. The mean AUC increases of carbamazepine, phenobarbital and phenytoin were 104%, 81% and 4%, respectively; the mean increases in Cmax were 56%, 53%, and 4%, respectively. Mean urinary recoveries of the three antiepileptics over 24 hours were also profoundly increased by quinine. If concomitant administration with carbamazepine or phenobarbital cannot be avoided, frequent monitoring of anticonvulsant drug concentrations is recommended. Additionally, patients should be monitored closely for adverse reactions associated with these anticonvulsants.
Astemizole (CYP3A4 substrate)
Elevated plasma astemizole concentrations were reported in a subject who experienced torsades de pointes after receiving three doses of quinine sulfate for nocturnal leg cramps concomitantly with chronic astemizole 10 mg/day. The concurrent use of QUALAQUIN with astemizole and other CYP3A4 substrates with QT prolongation potential (e.g., cisapride, terfenadine, halofantrine, pimozide and quinidine) should also be avoided [see WARNINGS AND PRECAUTIONS].
Atorvastatin (CYP3A4 substrate)
Rhabdomyolysis with acute renal failure secondary to myoglobinuria was reported in a patient taking atorvastatin administered with a single dose of quinine. Quinine may increase plasma concentrations of atorvastatin, thereby increasing the risk of myopathy or rhabdomyolysis. Thus, clinicians considering combined therapy of QUALAQUIN with atorvastatin or other HMG-CoA reductase inhibitors (“statins”) that are CYP3A4 substrates (e.g., simvastatin, lovastatin) should carefully weigh the potential benefits and risks of each medication. If QUALAQUIN is used concomitantly with any of these statins, lower starting and maintenance doses of the statin should be considered. Patients should also be monitored closely for any signs or symptoms of muscle pain, tenderness, or weakness, particularly during initial therapy. If marked creatine phosphokinase (CPK) elevation occurs or myopathy (defined as muscle aches or muscle weakness in conjunction with CPK values > 10 times the upper limit of normal) is diagnosed or suspected, atorvastatin or other statin should be discontinued.
Desipramine (CYP2D6 substrate)
Quinine (750 mg/day for 2 days) decreased the metabolism of desipramine in patients who were extensive CYP2D6 metabolizers, but had no effect in patients who were poor CYP2D6 metabolizers. Lower doses (80 mg to 400 mg) of quinine did not significantly affect the pharmacokinetics of other CYP2D6 substrates, namely, debrisoquine, dextromethorphan, and methoxyphenamine. Although clinical drug interaction studies have not been performed, antimalarial doses (greater than or equal to 600 mg) of quinine may inhibit the metabolism of other drugs that are CYP2D6 substrates (e.g., flecainide, debrisoquine, dextromethorphan, metoprolol, paroxetine). Patients taking medications that are CYP2D6 substrates with QUALAQUIN should be monitored closely for adverse reactions associated with these medications.
Digoxin (P-gp substrate)
In 4 healthy subjects who received digoxin (0.5 to 0.75 mg/day) during treatment with quinine (750 mg/day), a 33% increase in mean steady state AUC of digoxin and a 35% reduction in the steady state biliary clearance of digoxin were observed compared to digoxin alone. Thus, if QUALAQUIN is administered to patients receiving digoxin, plasma digoxin concentrations should be closely monitored, and the digoxin dose adjusted, as necessary [see WARNINGS AND PRECAUTIONS].
Halofantrine
Although not studied clinically, quinine was shown to inhibit the metabolism of halofantrine in vitro using human liver microsomes. Therefore, concomitant administration of QUALAQUIN is likely to increase plasma halofantrine concentrations [see WARNINGS AND PRECAUTIONS].
Mefloquine
In 7 healthy subjects who received mefloquine (750 mg) at 24 hours before an oral 600 mg dose of quinine sulfate, the AUC of mefloquine was increased by 22% compared to mefloquine alone. In this study, the QTc interval was significantly prolonged in the subjects who received mefloquine and quinine sulfate 24 hours apart. The concomitant administration of mefloquine and QUALAQUIN may produce electrocardiographic abnormalities (including QTc prolongation) and may increase the risk of seizures [see WARNINGS AND PRECAUTIONS].
Midazolam (CYP3A4 substrate)
In 23 healthy subjects who received multiple doses of QUALAQUIN 324 mg three times daily x 7 days with a single oral 2 mg dose of midazolam, the mean AUC and Cmax of midazolam and 1-hydroxymidazolam were not significantly affected. This finding indicates that 7-day dosing with QUALAQUIN 324 mg every 8 hours did not induce the metabolism of midazolam.
Neuromuscular Blocking Agents (pancuronium, succinylcholine, tubocurarine)
In one report, quinine potentiated neuromuscular blockade in a patient who received pancuronium during an operative procedure, and subsequently (3 hours after receiving pancuronium) received quinine 1800 mg daily. Quinine may also enhance the neuromuscular blocking effects of succinylcholine and tubocurarine [see WARNINGS AND PRECAUTIONS].
Ritonavir
In healthy subjects who received a single oral 600 mg dose of quinine sulfate with the 15th dose of ritonavir (200 mg every 12 hours for 9 days), the mean ritonavir AUC, Cmax, and elimination half-life were slightly but not significantly increased compared to when ritonavir was given alone. However, due to the significant effect of ritonavir on quinine pharmacokinetics, the concomitant administration of QUALAQUIN capsules with ritonavir should be avoided [see also Effects of Quinine on the Pharmacokinetics of Other Drugs].
Theophylline Or Aminophylline (CYP1A2 substrate)
In 19 healthy subjects who received multiple doses of QUALAQUIN 648 mg every 8 hours x 7 days with a single 300 mg oral dose of theophylline, the mean theophylline AUC was 10% lower than when theophylline was given alone. There was no significant effect on mean theophylline Cmax. Therefore, if QUALAQUIN is co-administered to patients receiving theophylline or aminophylline, plasma theophylline concentrations should be monitored frequently to ensure therapeutic concentrations.
Warfarin And Oral Anticoagulants
Cinchona alkaloids, including quinine, may have the potential to depress hepatic enzyme synthesis of vitamin K-dependent coagulation pathway proteins and may enhance the action of warfarin and other oral anticoagulants. Quinine may also interfere with the anticoagulant effect of heparin. Thus, in patients receiving these anticoagulants, the prothrombin time (PT), partial thromboplastin time (PTT), or international normalization ratio (INR) should be closely monitored as appropriate, during concurrent therapy with QUALAQUIN.
Drug/Laboratory Interactions
Quinine may produce an elevated value for urinary 17-ketogenic steroids when the Zimmerman method is used.
Quinine may interfere with urine qualitative dipstick protein assays as well as quantitative methods (e.g., pyrogallol red-molybdate).
Warnings & Precautions
WARNINGS
Included as part of the PRECAUTIONS section.
PRECAUTIONS
Use Of QUALAQUIN For Treatment Or Prevention Of Nocturnal Leg Cramps
QUALAQUIN may cause unpredictable serious and life-threatening hematologic reactions including thrombocytopenia and hemolytic-uremic syndrome/thrombotic thrombocytopenic purpura (HUS/TTP) in addition to hypersensitivity reactions, QT prolongation, serious cardiac arrhythmias including torsades de pointes, and other serious adverse events requiring medical intervention and hospitalization. Chronic renal impairment associated with the development of TTP, and fatalities have also been reported. The risk associated with the use of QUALAQUIN in the absence of evidence of its effectiveness for treatment or prevention of nocturnal leg cramps, outweighs any potential benefit in treating and/or preventing this benign, self-limiting condition [see BOXED WARNING and CONTRAINDICATIONS].
Thrombocytopenia
Quinine-induced thrombocytopenia is an immune-mediated disorder. Severe cases of thrombocytopenia that are fatal or life threatening have been reported, including cases of HUS/TTP. Chronic renal impairment associated with the development of TTP has also been reported. Thrombocytopenia usually resolves within a week upon discontinuation of quinine. If quinine is not stopped, a patient is at risk for fatal hemorrhage. Upon re-exposure to quinine from any source, a patient with quinine-dependent antibodies could develop thrombocytopenia that is more rapid in onset and more severe than the original episode.
QT Prolongation And Ventricular Arrhythmias
QT interval prolongation has been a consistent finding in studies which evaluated electrocardiographic changes with oral or parenteral quinine administration, regardless of age, clinical status, or severity of disease. The maximum increase in QT interval has been shown to correspond with peak quinine plasma concentration [see CLINICAL PHARMACOLOGY]. Quinine sulfate has been rarely associated with potentially fatal cardiac arrhythmias, including torsades de pointes, and ventricular fibrillation.
QUALAQUIN has been shown to cause concentration-dependent prolongation of the PR and QRS interval. At particular risk are patients with underlying structural heart disease and preexisting conduction system abnormalities, elderly patients with sick sinus syndrome, patients with atrial fibrillation with slow ventricular response, patients with myocardial ischemia or patients receiving drugs known to prolong the PR interval (e.g. verapamil) or QRS interval (e.g. flecainide or quinidine) [see CLINICAL PHARMACOLOGY].
QUALAQUIN is not recommended for use with other drugs known to cause QT prolongation, including Class IA antiarrhythmic agents (e.g., quinidine, procainamide, disopyramide), and Class III antiarrhythmic agents (e.g., amiodarone, sotalol, dofetilide).
The use of macrolide antibiotics such as erythromycin should be avoided in patients receiving QUALAQUIN. Fatal torsades de pointes was reported in an elderly patient who received concomitant quinine, erythromycin, and dopamine. Although a causal relationship between a specific drug and the arrhythmia was not established in this case, erythromycin is a CYP3A4 inhibitor and has been shown to increase quinine plasma levels when used concomitantly. A related macrolide antibiotic, troleandomycin, has also been shown to increase quinine exposure in a pharmacokinetic study [see DRUG INTERACTIONS].
Quinine may inhibit the metabolism of certain drugs that are CYP3A4 substrates and are known to cause QT prolongation, e.g., astemizole, cisapride, terfenadine, pimozide, halofantrine and quinidine. Torsades de pointes has been reported in patients who received concomitant quinine and astemizole. Therefore, concurrent use of QUALAQUIN with these medications, or drugs with similar properties, should be avoided [see DRUG INTERACTIONS].
Concomitant administration of QUALAQUIN with the antimalarial drugs, mefloquine or halofantrine, may result in electrocardiographic abnormalities, including QT prolongation, and increase the risk for torsades de pointes or other serious ventricular arrhythmias. Concurrent use of QUALAQUIN and mefloquine may also increase the risk of seizures [see DRUG INTERACTIONS].
QUALAQUIN should also be avoided in patients with known prolongation of QT interval and in patients with clinical conditions known to prolong the QT interval, such as uncorrected hypokalemia, bradycardia, and certain cardiac conditions [see CONTRAINDICATIONS].
Concomitant Use Of Rifampin
Treatment failures may result from the concurrent use of rifampin with QUALAQUIN, due to decreased plasma concentrations of quinine, and concomitant use of these medications should be avoided [see DRUG INTERACTIONS].
Concomitant Use Of Neuromuscular Blocking Agents
The use of neuromuscular blocking agents should be avoided in patients receiving QUALAQUIN. In one patient who received pancuronium during an operative procedure, subsequent administration of quinine resulted in respiratory depression and apnea. Although there are no clinical reports with succinylcholine or tubocurarine, quinine may also potentiate neuromuscular blockade when used with these drugs [see DRUG INTERACTIONS].
Hypersensitivity
Serious hypersensitivity reactions reported with quinine sulfate include anaphylactic shock, anaphylactoid reactions, urticaria, serious skin rashes, including Stevens-Johnson syndrome and toxic epidermal necrolysis, angioedema, facial edema, bronchospasm, and pruritus.
A number of other serious adverse reactions reported with quinine, including thrombotic thrombocytopenic purpura (TTP) and hemolytic uremic syndrome (HUS), thrombocytopenia, immune thrombocytopenic purpura (ITP), blackwater fever, disseminated intravascular coagulation, leukopenia, neutropenia, granulomatous hepatitis, and acute interstitial nephritis may also be due to hypersensitivity reactions.
QUALAQUIN should be discontinued in case of any signs or symptoms of hypersensitivity [see CONTRAINDICATIONS].
Atrial Fibrillation And Flutter
QUALAQUIN should be used with caution in patients with atrial fibrillation or atrial flutter. A paradoxical increase in ventricular response rate may occur with quinine, similar to that observed with quinidine. If digoxin is used to prevent a rapid ventricular response, serum digoxin levels should be closely monitored, because digoxin levels may be increased with use of quinine [see DRUG INTERACTIONS].
Hypoglycemia
Quinine stimulates release of insulin from the pancreas, and patients, especially pregnant women, may experience clinically significant hypoglycemia.
Patient Counseling Information
See FDA-approved patient labeling (Medication Guide)
Dosing Instructions
Patients should be instructed to:
- Take all of the medication as directed.
- Take no more of the medication than the amount prescribed.
- Take with food to minimize possible gastrointestinal irritation.
If a dose is missed, patients should also be instructed not to double the next dose. If more than 4 hours has elapsed since the missed dose, the patient should wait and take the next dose as previously scheduled.
Nonclinical Toxicology
Carcinogenesis, Mutagenesis, Impairment Of Fertility
Carcinogenesis
Carcinogenicity studies of quinine have not been conducted.
Mutagenesis
Genotoxicity studies of quinine were positive in the Ames bacterial mutation assay with metabolic activation and in the sister chromatid exchange assay in mice. The sex-linked recessive lethal test performed in Drosophila, the in vivo mouse micronucleus assay, and the chromosomal aberration assay in mice and Chinese hamsters were negative.
Impairment of Fertility
Published studies indicate that quinine produces testicular toxicity in mice at a single intraperitoneal dose of 300 mg/kg corresponding to a dose of approximately 0.75 times the maximum recommended human dose (MRHD; 32 mg/kg/day) and in rats at an intramuscular dose of 10 mg/kg/day, 5 days/week, for 8 weeks corresponding to a daily dose of approximately 0.05 times the MRHD based on body surface area (BSA) comparisons. The findings include atrophy or degeneration of the seminiferous tubules, decreased sperm count and motility, and decreased testosterone levels in the serum and testes. There was no effect on testes weight in studies of oral doses of up to 500 mg/kg/day in mice and 700 mg/kg/day in rats (approximately 1.2 and 3.5 times the MRHD respectively based on BSA comparisons). In a published study in 5 men receiving 600 mg of quinine TID for one week, sperm motility was decreased and percent sperm with abnormal morphology was increased; sperm count and serum testosterone were unaffected.
Use In Specific Populations
Pregnancy
Pregnancy Category C
There are extensive published data but few well-controlled studies of QUALAQUIN in pregnant women. Published data on over 1,000 pregnancy exposures to quinine did not show an increase in teratogenic effects over the background rate in the general population; however, the majority of these exposures were not in the first trimester. In developmental and reproductive toxicity studies, central nervous system (CNS) and ear abnormalities and increased fetal deaths occurred in some species when pregnant animals received quinine at doses about 1 to 4 times the human clinical dose. Quinine should be used during pregnancy only if the potential benefit justifies the potential risk to the fetus.
P. falciparum malaria carries a higher risk of morbidity and mortality in pregnant women than in the general population. Pregnant women with P. falciparum malaria have an increased incidence of fetal loss (including spontaneous abortion and stillbirth), preterm labor and delivery, intrauterine growth retardation, low birth weight, and maternal death. Therefore, treatment of malaria in pregnancy is important.
Hypoglycemia, due to increased pancreatic secretion of insulin, has been associated with quinine use, particularly in pregnant women.
Quinine crosses the placenta with measurable blood concentrations in the fetus. In 8 women who delivered live infants 1 to 6 days after starting quinine therapy, umbilical cord plasma quinine concentrations were between 1.0 and 4.6 mg/L (mean 2.4 mg/L) and the mean (±SD) ratio of cord plasma to maternal plasma quinine concentrations was 0.32 ± 0.14. Quinine levels in the fetus may not be therapeutic. If congenital malaria is suspected after delivery, the infant should be evaluated and treated appropriately.
A study from Thailand (1999) of women with P. falciparum malaria who were treated with oral quinine sulfate 10 mg/kg 3 times daily for 7 days at anytime in pregnancy reported no significant difference in the rate of stillbirths at > 28 weeks of gestation in women treated with quinine (10 of 633 women [1.6%]) as compared with a control group without malaria or exposure to antimalarial drugs during pregnancy (40 of 2201 women [1.8%]). The overall rate of congenital malformations (9 of 633 offspring [1.4%]) was not different for women who were treated with quinine sulfate compared with the control group (38 of 2201 offspring [1.7%]). The spontaneous abortion rate was higher in the control group (10.9%) than in women treated with quinine sulfate (3.5%) [OR = 3.1; 95% CI 2.1-4.7]. An epidemiologic survey that included 104 mother-child pairs exposed to quinine during the first 4 months of pregnancy, found no increased risk of structural birth defects was seen (2 fetal malformations [1.9%]). Rare and isolated case reports describe deafness and optic nerve hypoplasia in children exposed in utero due to maternal ingestion of high doses of quinine.
In animal developmental studies conducted in multiple animal species, pregnant animals received quinine by the subcutaneous or intramuscular route at dose levels similar to the maximum recommended human dose (MRHD; 32 mg/kg/day) based on body surface area (BSA) comparisons. There were increases in fetal death in utero in rabbits at maternal doses ≥ 100 mg/kg/day and in dogs at ≥ 15 mg/kg/day corresponding to dose levels approximately 0.5 and 0.25 times the MRHD respectively based on BSA comparisons. Rabbit offspring had increased rates of degenerated auditory nerve and spiral ganglion and increased rates of CNS anomalies such as anencephaly and microcephaly at a dose of 130 mg/kg/day corresponding to a maternal dose approximately 1.3 times the MRHD based on BSA comparison. Guinea pig offspring had increased rates of hemorrhage and mitochondrial change in the cochlea at maternal doses of 200 mg/kg corresponding to a dose level of approximately 1.4 times the MRHD based on BSA comparison. There were no teratogenic findings in rats at maternal doses up to 300 mg/kg/day and in monkeys at doses up to 200 mg/kg/day corresponding to doses approximately 1 and 2 times the MRHD respectively based on BSA comparisons.
In a pre-postnatal study in rats, an estimated oral dose of quinine sulfate of 20 mg/kg/day corresponding to approximately 0.1 times the MRHD based on BSA comparison resulted in offspring with impaired growth, lower body weights at birth and during the lactation period, and delayed physical development of teeth eruption and eye opening during the lactation period.
Labor And Delivery
There is no evidence that quinine causes uterine contractions at the doses recommended for the treatment of malaria. In doses several-times higher than those used to treat malaria, quinine may stimulate the pregnant uterus.
Nursing Mothers
There is limited information on the safety of quinine in breastfed infants. No toxicity was reported in infants in a single study where oral quinine sulfate (10 mg/kg every 8 hours for 1 to 10 days) was administered to 25 lactating women. It is estimated from this study that breastfed infants would receive less than 2 to 3 mg per day of quinine base ( < 0.4% of the maternal dose) via breast milk [see CLINICAL PHARMACOLOGY].
Although quinine is generally considered compatible with breastfeeding, the risks and benefits to infant and mother should be assessed. Caution should be exercised when administered to a nursing woman.
If malaria is suspected in the infant, appropriate evaluation and treatment should be provided. Plasma quinine levels may not be therapeutic in infants of nursing mothers receiving QUALAQUIN.
Pediatric Use
The safety and efficacy of QUALAQUIN in pediatric patients under the age of 16 has not been established.
Geriatric Use
Clinical studies of quinine sulfate did not include sufficient numbers of subjects aged 65 and over to determine whether they respond to treatment differently from younger subjects. Other reported clinical experience has not identified differences in responses between the elderly and younger patients.
Renal Impairment
Clearance of quinine is decreased in patients with severe chronic renal failure. The dosage and dosing frequency should be reduced [see DOSAGE AND ADMINISTRATION, CLINICAL PHARMACOLOGY].
Hepatic Impairment
In patients with severe hepatic impairment (Child-Pugh C), quinine oral clearance (CL/F) is decreased, volume of distribution (Vd/F) is increased, and half-life is prolonged, relative to subjects with normal liver function. Therefore, quinine is not indicated in patients with severe hepatic impairment and alternate therapy should be administered [see DOSAGE AND ADMINISTRATION and CLINICAL PHARMACOLOGY].
Close monitoring is recommended for patients with mild (Child-Pugh A) or moderate (Child-Pugh B) hepatic impairment, as exposure to quinine may be increased relative to subjects with normal liver function [see CLINICAL PHARMACOLOGY].
Overdosage
Quinine overdose can be associated with serious complications, including visual impairment, hypoglycemia, cardiac arrhythmias, and death. Visual impairment can range from blurred vision and defective color perception, to visual field constriction and permanent blindness. Cinchonism occurs in virtually all patients with quinine overdose. Symptoms range from headache, nausea, vomiting, abdominal pain, diarrhea, tinnitus, vertigo, hearing impairment, sweating, flushing, and blurred vision, to deafness, blindness, serious cardiac arrhythmias, hypotension, and circulatory collapse. Central nervous system toxicity (drowsiness, disturbances of consciousness, ataxia, convulsions, respiratory depression and coma) has also been reported with quinine overdose, as well as pulmonary edema and adult respiratory distress syndrome.
Most toxic reactions are dose-related; however, some reactions may be idiosyncratic because of the variable sensitivity of patients to the toxic effects of quinine. A lethal dose of quinine has not been clearly defined, but fatalities have been reported after the ingestion of 2 to 8 grams in adults.
Quinine, like quinidine, has Class I antiarrhythmic properties. The cardiotoxicity of quinine is due to its negative inotropic action, and to its effect on cardiac conduction, resulting in decreased rates of depolarization and conduction, and increased action potential and effective refractory period. ECG changes observed with quinine overdose include sinus tachycardia, PR prolongation, T wave inversion, bundle branch block, an increased QT interval, and a widening of the QRS complex. Quinine's alpha-blocking properties may result in hypotension and further exacerbate myocardial depression by decreasing coronary perfusion. Quinine overdose has been also associated with hypotension, cardiogenic shock, and circulatory collapse, ventricular arrhythmias, including ventricular tachycardia, ventricular fibrillation, idioventricular rhythm, and torsades de pointes, as well as bradycardia, and atrioventricular block [see WARNINGS AND PRECAUTIONS, CLINICAL PHARMACOLOGY].
Quinine is rapidly absorbed, and attempts to remove residual quinine sulfate from the stomach by gastric lavage may not be effective. Multiple-dose activated charcoal has been shown to decrease plasma quinine concentrations [see CLINICAL PHARMACOLOGY].
Forced acid diuresis, hemodialysis, charcoal column hemoperfusion, and plasma exchange were not found to be effective in significantly increasing quinine elimination in a series of 16 patients.
Contraindications
QUALAQUIN is contraindicated in patients with the following:
- Prolonged QT interval. One case of a fatal ventricular arrhythmia was reported in an elderly patient with a prolonged QT interval at baseline, who received quinine sulfate intravenously for P. falciparum malaria [see WARNINGS AND PRECAUTIONS].
- Glucose-6-phosphate dehydrogenase (G6PD) deficiency.
- Hemolysis can occur in patients with G6PD deficiency receiving quinine.
- Known hypersensitivity reactions to quinine.
- These include, but are not limited to, the following [see WARNINGS AND PRECAUTIONS]:
- Thrombocytopenia
- Idiopathic thrombocytopenia purpura (ITP) and Thrombotic thrombocytopenic purpura (TTP)
- Hemolytic uremic syndrome (HUS)
- Blackwater fever (acute intravascular hemolysis, hemoglobinuria, and hemoglobinemia)
- These include, but are not limited to, the following [see WARNINGS AND PRECAUTIONS]:
- Known hypersensitivity to mefloquine or quinidine: cross-sensitivity to quinine has been documented [see WARNINGS AND PRECAUTIONS].
- Myasthenia gravis. Quinine has neuromuscular blocking activity, and may exacerbate muscle weakness.
- Optic neuritis. Quinine may exacerbate active optic neuritis [see ADVERSE REACTIONS].
Clinical Pharmacology
Mechanism Of Action
Quinine is an antimalarial agent.
Pharmacodynamics
QTc interval prolongation was studied in a double-blind, multiple dose, placebo-and positive-controlled crossover study in young (N=13, 20 to 39 years) and elderly (N=13, 65 to 78 years) subjects. After 7 days of dosing with QUALAQUIN 648 mg three times daily, the maximum mean (95% upper confidence bound) differences in QTcI from placebo after baseline correction was 27.7 (32.2) ms.
Prolongation of the PR and QRS interval was also noted in subjects receiving QUALAQUIN. The maximum mean (95% upper confidence bound) difference in PR from placebo after baseline-correction was 14.5 (18.0) ms. The maximum mean (95% upper confidence bound) difference in QRS from placebo after baseline-correction was 11.5 (13.3) ms. [see WARNINGS AND PRECAUTIONS].
Pharmacokinetics
Absorption
The oral bioavailability of quinine is 76 to 88% in healthy adults. Quinine exposure is higher in patients with malaria than in healthy subjects. After a single oral dose of quinine sulfate, the mean quinine Tmax was longer, and mean AUC and Cmax were higher in patients with uncomplicated P. falciparum malaria than in healthy subjects, as shown in Table 1 below.
TABLE 1 : Pharmacokinetic Parameters of Quinine in
Healthy Subjects and Patients with Uncomplicated P. falciparum Malaria
after a Single Dosea of Oral Quinine Sulfate Capsules
| Healthy Subjects (N = 23) Mean ± SD |
Uncomplicated P. falciparum Malaria Patients (N = 15) Mean ± SD |
|
| Dose (mg/kg)a | 8.7 |

