Opana ER Drug Description: Detailed Datasheet
- Generic Name: oxymorphone hydrochloride extended release
- Brand Name: Opana ER
side effects drug center opana er (oxymorphone hydrochloride extended release) drug
Drug Description
What is Opana ER and how is it used?
Opana ER is a prescription medicine used to treat the symptoms of Moderate-to-Severe Pain and Chronic Severe Pain. Opana ER may be used alone or with other medications.
Opana ER belongs to a class of drugs called Opioid Analgesics.
It is not known if Opana ER is safe and effective in children.
What are the possible side effects of Opana ER?
Opana ER may cause serious side effects including:
- hives,
- difficulty breathing,
- swelling of your face, lips, tongue, or throat,
- slow breathing with long pauses,
- blue colored lips,
- difficulty to wake up,
- weak or shallow breathing,
- breathing that stops during sleep,
- lightheadedness,
- seizure,
- chest pain,
- wheezing,
- cough with yellow or green mucus,
- severe vomiting,
- nausea,
- vomiting,
- loss of appetite,
- dizziness,
- worsening tiredness,
- weakness,
- agitation,
- hallucinations,
- fever,
- sweating,
- shivering,
- fast heart rate,
- muscle stiffness,
- twitching,
- loss of coordination, and
- diarrhea
Get medical help right away, if you have any of the symptoms listed above.
The most common side effects of Opana ER include:
- dizziness,
- drowsiness,
- headache,
- tiredness,
- stomach pain,
- nausea,
- vomiting, and
- constipation
Tell the doctor if you have any side effect that bothers you or that does not go away.
These are not all the possible side effects of Opana ER. For more information, ask your doctor or pharmacist.
Call your doctor for medical advice about side effects. You may report side effects to FDA at 1-800-FDA-1088.
WARNING
ADDICTION, ABUSE, AND MISUSE; LIFE-THREATENING RESPIRATORY DEPRESSION; ACCIDENTAL INGESTION; NEONATAL OPIOID WITHDRAWAL SYNDROME; and INTERACTION WITH ALCOHOL
Addiction, Abuse, and Misuse
OPANA ER exposes patients and other users to the risks of opioid addiction, abuse, and misuse, which can lead to overdose and death. Assess each patient's risk prior to prescribing OPANA ER, and monitor all patients regularly for the development of these behaviors or conditions [see WARNINGS AND PRECAUTIONS].
Life-threatening Respiratory Depression
Serious, life-threatening, or fatal respiratory depression may occur with use of OPANA ER. Monitor for respiratory depression, especially during initiation of OPANA ER or following a dose increase. Instruct patients to swallow OPANA ER tablets whole; crushing, chewing, or dissolving OPANA ER tablets can cause rapid release and absorption of a potentially fatal dose of oxymorphone [see WARNINGS AND PRECAUTIONS].
Accidental Ingestion
Accidental ingestion of even one dose of OPANA ER, especially by children, can result in a fatal overdose of oxymorphone [see WARNINGS AND PRECAUTIONS].
Neonatal Opioid Withdrawal Syndrome
Prolonged use of OPANA ER during pregnancy can result in neonatal opioid withdrawal syndrome, which may be life-threatening if not recognized and treated, and requires management according to protocols developed by neonatology experts. If opioid use is required for a prolonged period in a pregnant woman, advise the patient of the risk of neonatal opioid withdrawal syndrome and ensure that appropriate treatment will be available [see WARNINGS AND PRECAUTIONS].
Interaction with Alcohol
Instruct patients not to consume alcoholic beverages or use prescription or non-prescription products that contain alcohol while taking OPANA ER. The co-ingestion of alcohol with OPANA ER may result in increased plasma levels and a potentially fatal overdose of oxymorphone [see WARNINGS AND PRECAUTIONS].
DESCRIPTION
OPANA ER extended-release tablets are for oral use and contain oxymorphone, a semi-synthetic opioid analgesic. OPANA ER extended-release tablets are supplied in 5 mg, 7.5 mg, 10 mg, 15 mg, 20 mg, 30 mg, and 40 mg tablet strengths for oral administration. The tablet strength describes the amount of oxymorphone hydrochloride per tablet.
The tablets contain the following inactive ingredients: hypromellose, polyethylene oxide, polyethylene glycol, α-tocopherol, citric acid, polyvinyl alcohol, titanium dioxide, macrogol and talc.
In addition, the 5 mg, 7.5 mg and 30 mg tablets contain iron oxide red. The 7.5 mg tablets contain iron oxide black, and iron oxide yellow. The 10 mg tablets contain FD&C yellow No. 6. The 20 mg tablets contain FD&C blue No. 1, FD&C yellow No. 6, and D&C yellow No. 10. The 40 mg tablets contain FD&C yellow No. 6, and D&C yellow No. 10.
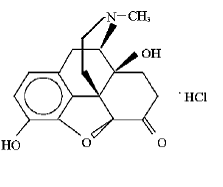
The chemical name of oxymorphone hydrochloride is 4, 5α -epoxy-3, 14-dihydroxy-17-methylmorphinan-6-one hydrochloride, a white or slightly off-white, odorless powder, which is sparingly soluble in alcohol and ether, but freely soluble in water. The molecular weight of oxymorphone hydrochloride is 337.80. The pKa1 and pKa2 of oxymorphone at 37°C are 8.17 and 9.54, respectively. The octanol/aqueous partition coefficient at 37°C and pH 7.4 is 0.98.
The structural formula for oxymorphone hydrochloride is as follows:
![]() |
Indications
OPANA ER is indicated for the management of pain severe enough to require daily, around-the-clock, long-term opioid treatment and for which alternative treatment options are inadequate.
Limitations of Use
- Because of the risks of addiction, abuse, and misuse with opioids, even at recommended doses, and because of the greater risks of overdose and death with extended-release opioid formulations, reserve OPANA ER for use in patients for whom alternative treatment options (e.g., non-opioid analgesics or immediate-release opioids) are ineffective, not tolerated, or would be otherwise inadequate to provide sufficient management of pain.
- OPANA ER is not indicated as an as-needed (prn) analgesic.
Dosage
DOSAGE AND ADMINISTRATION
Initial Dosing
To avoid medication errors, prescribers and pharmacists must be aware that oxymorphone is available as both immediate-release 5 mg and 10 mg tablets and extended-release 5 mg and 10 mg tablets [see Dosage Forms and Strengths].
OPANA ER should be prescribed only by healthcare professionals who are knowledgeable in the use of potent opioids for the management of chronic pain.
Initiate the dosing regimen for each patient individually, taking into account the patient's prior analgesic treatment experience and risk factors for addiction, abuse, and misuse [see WARNINGS AND PRECAUTIONS]. Monitor patients closely for respiratory depression, especially within the first 24-72 hours of initiating therapy with OPANA ER [see WARNINGS AND PRECAUTIONS].
OPANA ER tablets must be taken whole, one tablet at a time, with enough water to ensure complete swallowing immediately after placing in the mouth [see PATIENT INFORMATION]. Crushing, chewing, or dissolving OPANA ER tablets will result in uncontrolled delivery of oxymorphone and can lead to overdose or death [see WARNINGS AND PRECAUTIONS].
OPANA ER is administered at a frequency of twice daily (every 12 hours). Administer on an empty stomach, at least 1 hour prior to or 2 hours after eating.
Use of OPANA ER as the First Opioid Analgesic
Initiate treatment with OPANA ER with the 5 mg tablet orally every 12-hours.
Use of OPANA ER in Patients who are not Opioid Tolerant
The starting dose for patients who are not opioid tolerant is OPANA ER 5 mg orally every 12 hours. Patients who are opioid tolerant are those receiving, for one week or longer, at least 60 mg oral morphine per day, 25 mcg transdermal fentanyl per hour, 30 mg oral oxycodone per day, 8 mg oral hydromorphone per day, 25 mg oral oxymorphone per day, or an equianalgesic dose of another opioid.
Use of higher starting doses in patients who are not opioid tolerant may cause fatal respiratory depression.
Conversion from OPANA to OPANA ER
Patients receiving OPANA may be converted to OPANA ER by administering half the patient's total daily oral OPANA dose as OPANA ER, every 12 hours.
Conversion from Parenteral Oxymorphone to OPANA ER
The absolute oral bioavailability of OPANA ER is approximately 10%. Convert patients receiving parenteral oxymorphone to OPANA ER by administering 10 times the patient's total daily parenteral oxymorphone dose as OPANA ER in two equally divided doses (e.g., [IV dose x 10] divided by 2). Due to patient variability with regards to opioid analgesic response, upon conversion monitor patients closely to evaluate for adequate analgesia and side effects.
Conversion from Other Oral Opioids to OPANA ER
Discontinue all other around-the-clock opioid drugs when OPANA ER therapy is initiated.
While there are useful tables of opioid equivalents readily available, there is substantial inter-patient variability in the relative potency of different opioid drugs and products. As such, it is preferable to underestimate a patient's 24-hour oral oxymorphone requirements and provide rescue medication (e.g., immediate-release opioid) than to overestimate the 24-hour oral oxymorphone requirements which could result in adverse reactions. In an OPANA ER clinical trial with an open-label titration period, patients were converted from their prior opioid to OPANA ER using Table 1 as a guide for the initial OPANA ER dose.
Consider the following when using the information in Table 1:
- This is not a table of equianalgesic doses.
- The conversion factors in this table are only for the conversion from one of the listed oral opioid analgesics to OPANA ER.
- This table cannot be used to convert from OPANA ER to another opioid. Doing so will result in an overestimation of the dose of the new opioid and may result in fatal overdose.
CONVERSION FACTORS TO OPANA ER
| Prior Oral Opioid | Approximate Oral Conversion Factor |
| Oxymorphone | 1 |
| Hydrocodone | 0.5 |
| Oxycodone | 0.5 |
| Methadone | 0.5 |
| Morphine | 0.333 |
To calculate the estimated OPANA ER dose using Table 1:
- For patients on a single opioid, sum the current total daily dose of the opioid and then multiply the total daily dose by the conversion factor to calculate the approximate oral (active opioid) daily dose.
- For patients on a regimen of more than one opioid, calculate the approximate oral (active opioid) dose for each opioid and sum the totals to obtain the approximate total (active opioid) daily dose.
- For patients on a regimen of fixed-ratio opioid/non-opioid analgesic products, use only the opioid component of these products in the conversion
Always round the dose down, if necessary, to the appropriate OPANA ER strength(s) available.
Example conversion from a single opioid to OPANA ER:
Step 1: Sum the total daily dose of the opioid oxycodone 20 mg BID 20 mg former opioid 2 times daily = 40 mg total daily dose of former opioid
Step 2: Calculate the approximate equivalent dose of oral (active opioid) based on the total daily dose of the current opioid using Table 1 40 mg total daily dose of former opioid x 0.5 mg Conversion Factor = 20 mg of oral (active opioid) daily
Step 3: Calculate the approximate starting dose of OPANA ER to be given every 12 hours. Round down, if necessary, to the appropriate OPANA ER TABLETS strengths available. 10 mg OPANA ER every 12 hours
Conversion from Methadone to OPANA ER
Close monitoring is of particular importance when converting from methadone to other opioid agonists. The ratio between methadone and other opioid agonists may vary widely as a function of previous dose exposure. Methadone has a long half-life and can accumulate in the plasma.
Titration And Maintenance Of Therapy
Individually titrate OPANA ER to a dose that provides adequate analgesia and minimizes adverse reactions. Continually reevaluate patients receiving OPANA ER to assess the maintenance of pain control and the relative incidence of adverse reactions, as well as monitoring for the development of addiction, abuse, and misuse. Frequent communication is important among the prescriber, other members of the healthcare team, the patient, and the caregiver/family during periods of changing analgesic requirements, including initial titration. During chronic therapy, periodically reassess the continued need for the use of opioid analgesics.
If the level of pain increases, attempt to identify the source of increased pain, while adjusting the OPANA ER dose to decrease the level of pain. Because steady-state plasma concentrations are approximated within 3 days, OPANA ER dosage adjustments, preferably at increments of 5-10 mg every 12 hours, may be done every 3 to 7 days.
Patients who experience breakthrough pain may require a dose increase of OPANA ER, or may need rescue medication with an appropriate dose of an immediate-release analgesic. If the level of pain increases after dose stabilization, attempt to identify the source of increased pain before increasing OPANA ER dose.
If unacceptable opioid-related adverse reactions are observed, the subsequent dose may be reduced. Adjust the dose to obtain an appropriate balance between management of pain and opioid-related adverse reactions.
Discontinuation Of OPANA ER
When a patient no longer requires therapy with OPANA ER, use a gradual downward titration of the dose every two to four days, to prevent signs and symptoms of withdrawal in the physically-dependent patient. Do not abruptly discontinue OPANA ER.
Administration Of OPANA ER
Instruct patients to swallow OPANA ER tablets intact. The tablets are not to be crushed, dissolved, or chewed due to the risk of rapid release and absorption of a potentially fatal dose of oxymorphone [see WARNINGS AND PRECAUTIONS]. Administer on an empty stomach, at least 1 hour prior to or 2 hours after eating.
Patients With Hepatic Impairment
OPANA ER is contraindicated in patients with moderate or severe hepatic impairment.
In opioid-naïve patients with mild hepatic impairment, initiate treatment with the 5 mg dose. For patients on prior opioid therapy, start OPANA ER at 50% lower than the starting dose for a patient with normal hepatic function on prior opioids and titrate slowly. Monitor patients closely for signs of respiratory or central nervous system depression [see WARNINGS AND PRECAUTIONS, Use In Specific Populations and CLINICAL PHARMACOLOGY].
Patients With Renal Impairment
In patients with creatinine clearance rates less than 50 mL/min, start OPANA ER in the opioid-naïve patient with the 5 mg dose. For patients on prior opioid therapy, start OPANA ER at 50% lower than the starting dose for a patient with normal renal function on prior opioids and titrate slowly. Monitor patients closely for signs of respiratory or central nervous system depression [see WARNINGS AND PRECAUTIONS, Use in Specific Populations and CLINICAL PHARMACOLOGY].
Geriatric Patients
The steady-state plasma concentrations of oxymorphone are approximately 40% higher in elderly subjects than in young subjects. Initiate dosing with OPANA ER in patients 65 years of age and over using the 5 mg dose and monitor closely for signs of respiratory and central nervous system depression when initiating and titrating OPANA ER to adequate analgesia [see WARNINGS AND PRECAUTIONS, Use In Specific Populations and CLINICAL PHARMACOLOGY]. For patients on prior opioid therapy, start OPANA ER at 50% lower than the starting dose for a younger patient on prior opioids and titrate slowly.
Manufactured for: Endo Pharmaceuticals Inc., Malvern, PA 19355, www.endo.com or call 1-800-462-3636 OPANA® is a registered trademark of Endo Pharmaceuticals Inc. Revised: April 2014
HOW SUPPLIED
Dosage Forms And Strengths
The 5 mg dosage form is a pink, round, film-coated, biconcave extended-release tablet debossed with an “E” on one side and a “5” on the other side.
The 7.5 mg dosage form is a gray, round, film-coated, biconcave extended-release tablet debossed with an “E” on one side and a “7 ½” on the other side.
The 10 mg dosage form is a light orange, round, film-coated, biconcave extended-release tablet debossed with an “E” on one side and a “10” on the other side.
The 15 mg dosage form is a white, round, film-coated, biconcave extended-release tablet debossed with an “E” on one side and a “15” on the other side.
The 20 mg dosage form is a light green, round, film-coated, biconcave extended-release tablet debossed with an “E” on one side and a “20” on the other side.
The 30 mg dosage form is a red, round, film-coated, biconcave extended-release tablet debossed with an “E” on one side and a “30” on the other side.
The 40 mg dosage form is a light yellow to pale yellow, round, film-coated, biconcave extended-release tablet debossed with an “E” on one side and a “40” on the other side.
Storage And Handling
OPANA ER extended-release tablets are supplied as follows:
5 mg
Pink, round, film-coated, biconcave extended-release tablets debossed with an “E” on one side and a “5” on the other side.
Bottles of 60 with child-resistant closure NDC 63481-812-60
Bottles of 100 with child-resistant closure NDC
63481-812-70
Unit-Dose package of 20 tablets (2 blister cards of 10
tablets, not child-resistant, for hospital use only) NDC 63481-812-20
7.5 mg
Gray, round, film coated, biconcave extended-release tablets debossed with an “E” on one side and a “7 ½” on the other side.
Bottles of 60 with
child-resistant closure NDC 63481-813-60
Bottles of 100 with
child-resistant closure NDC 63481-813-70
Unit-Dose package of 20 tablets
(2 blister cards of 10 tablets, not child-resistant, for hospital use only) NDC
63481-813-20
10 mg
Light orange, round, film-coated, biconcave extended-release tablets debossed with an “E” on one side and a “10” on the other side.
Bottles of 60 with
child-resistant closure NDC 63481-814-60
Bottles of 100 with
child-resistant closure NDC 63481-814-70
Unit-Dose package of 20 tablets
(2 blister cards of 10 tablets, not child-resistant, for hospital use only) NDC
63481-814-20
15 mg
White, round, film-coated, biconcave extended-release tablets debossed with an “E” on one side and a “15” on the other side.
Bottles of 60 with
child-resistant closure NDC 63481-815-60
Bottles of 100 with
child-resistant closure NDC 63481-815-70
Unit-Dose package of 20 tablets
(2 blister cards of 10 tablets, not child-resistant, for hospital use only) NDC
63481-815-20
20 mg
Light green, round, film-coated, biconcave extended-release tablets debossed with an “E” on one side and a “20” on the other side.
Bottles of 60 with child-resistant closure NDC
63481-816-60
Bottles of 100 with child-resistant closure NDC
63481-816-70
Unit-Dose package of 20 tablets (2 blister cards of 10
tablets, not child-resistant, for hospital use only) NDC 63481-816-20
30 mg
Red, round, film-coated, biconcave extended-release tablets debossed with an “E” on one side and a “30” on the other side.
Bottles of 60 with
child-resistant closure NDC 63481-817-60
Bottles of 100 with
child-resistant closure NDC 63481-817-70
Unit-Dose package of 20 tablets
(2 blister cards of 10 tablets, not child-resistant, for hospital use only) NDC
63481-817-20
40 mg
Light yellow to pale yellow, round, film-coated, biconcave extended-release tablets debossed with an “E” on one side and a “40” on the other side.
Bottles of 60 with
child-resistant closure NDC 63481-818-60
Bottles of 100 with
child-resistant closure NDC 63481-818-70
Unit-Dose package of 20 tablets
(2 blister cards of 10 tablets, not child-resistant, for hospital use only) NDC
63481-818-20
Store at 25°C (77°F); excursions permitted to 15°-30°C (59°-86°F). [See USP Controlled Room Temperature]. Dispense in tight container as defined in the USP, with a child-resistant closure (as required).
Side Effects
The following serious adverse reactions are discussed elsewhere in the labeling:
- Addiction, Abuse, and Misuse [see WARNINGS AND PRECAUTIONS]
- Life Threatening Respiratory Depression [see WARNINGS AND PRECAUTIONS]
- Neonatal Opioid Withdrawal Syndrome [see WARNINGS AND PRECAUTIONS]
- Interactions with Other CNS Depressants [see WARNINGS AND PRECAUTIONS]
- Hypotensive Effect [see WARNINGS AND PRECAUTIONS]
- Gastrointestinal Effects [see WARNINGS AND PRECAUTIONS]
- Seizures [see WARNINGS AND PRECAUTIONS]
Clinical Trial Experience
Because clinical trials are conducted under widely varying conditions, adverse reaction rates observed in the clinical trials of a drug cannot be directly compared to rates in the clinical trials of another drug and may not reflect the rates observed in clinical practice.
The safety of oxymorphone hydrochloride extended-release tablets was evaluated in a total of 2011 patients in open-label and controlled clinical trials. The clinical trials enrolled of patients with moderate to severe chronic non-malignant pain, cancer pain, and post surgical pain. The most common serious adverse events reported with administration of oxymorphone hydrochloride extended-release tablets were chest pain, pneumonia and vomiting.
Tables 1 and 2 list the most frequently occurring adverse reactions (in at least 5% of patients) from the placebo-controlled trials in patients with low back pain.
Table 1:Treatment-Emergent Adverse Reactions Reported
in ≥ 5% of Patients During the Open-Label Titration Period and
Double-Blind Treatment Period by Preferred Term —Number (%) of Treated Patients
(12-Week Study In Opioid-Naïve Patients with Low Back Pain)
| Preferred Term | Open-Label Titration Period | Double-Blind Treatment Period | |
| Oxymorphone Hydrochloride Extended - Release Tablets (N = 325) |
Oxymorphone Hydrochloride Extended - Release Tablets (N = 105) |
Placebo (N = 100) |
|
| Constipation | 26% | 7% | 1% |
| Somnolence | 19% | 2% | 0% |
| Nausea | 18% | 11% | 9% |
| Dizziness | 11% | 5% | 3% |
| Headache | 11% | 4% | 2% |
| Pruritus | 7% | 3% | 1% |
Table 2: Treatment-Emergent Adverse Reactions Reported
in ≥ 5% of Patients During the Open-Label Titration Period and
Double-Blind Treatment Period by Preferred Term —Number (%) of Treated Patients
(12-Week Study In Opioid-Experienced Patients with Low Back Pain)
| Preferred Term | Open-Label Titration Period | Double-Blind Treatment Period | |
| Oxymorphone Hydrochloride Extended - Release Tablets (N = 250) |
Oxymorphone Hydrochloride Extended - Release Tablets (N = 70) |
Placebo (N = 72) |
|
| Nausea | 20% | 3% | 1% |
| Constipation | 12% | 6% | 1% |
| Headache | 12% | 3% | 0% |
| Somnolence | 11% | 3% | 0% |
| Vomiting | 9% | 0% | 1% |
| Pruritus | 8% | 0% | 0% |
| Dizziness | 6% | 0% | 0% |
The following table lists adverse reactions that were reported in at least 2% of patients in placebo-controlled trials (N=5).
Table 3: Adverse Reactions Reported in
Placebo-Controlled Clinical Trials with Incidence ≥ 2% in Patients
Receiving Oxymorphone Hydrochloride Extended-Release Tablets
| MedDRA Preferred Term | Oxymorphone Hydrochloride Extended - Release Tablets (N=1259) |
Placebo (N=461) |
| Nausea | 33% | 13% |
| Constipation | 28% | 13% |
| Dizziness (Excl Vertigo) | 18% | 8% |
| Somnolence | 17% | 2% |
| Vomiting | 16% | 4% |
| Pruritus | 15% | 8% |
| Headache | 12% | 6% |
| Sweating increased | 9% | 9% |
| Dry mouth | 6% | < 1% |
| Sedation | 6% | 8% |
| Diarrhea | 4% | 6% |
| Insomnia | 4% | 2% |
| Fatigue | 4% | 1% |
| Appetite decreased | 3% | < 1% |
| Abdominal pain | 3% | 2% |
The common ( ≥ 1% to < 10%) adverse drug reactions reported at least once by patients treated with oxymorphone hydrochloride extended-release tablets in the clinical trials organized by MedDRA's (Medical Dictionary for Regulatory Activities) System Organ Class and not represented in Table 1 were:
Eye disorders: vision blurred
Gastrointestinal disorders: diarrhea, abdominal pain, dyspepsia
General disorders and administration site conditions: dry mouth, appetite decreased, fatigue, lethargy, weakness, pyrexia, dehydration, weight decreased, edema
Nervous system disorders: insomnia
Psychiatric disorders: anxiety, confusion, disorientation, restlessness, nervousness, depression
Respiratory, thoracic and mediastinal disorders: dyspnea
Vascular disorders: flushing and hypertension
Other less common adverse reactions known with opioid treatment that were seen < 1% in the oxymorphone hydrochloride extended-release tablets trials include the following: Bradycardia, palpitation, syncope, tachycardia, postural hypotension, miosis, abdominal distention, ileus, hot flashes, allergic reactions, hypersensitivity, urticaria, oxygen saturation decreased, central nervous system depression, depressed level of consciousness, agitation, dysphoria, euphoric mood, hallucination, mental status changes, difficult micturition, urinary retention, hypoxia, respiratory depression, respiratory distress, clamminess, dermatitis, hypotension.
Post-marketing Experience
The following adverse reactions have been identified during post approval use of OPANA ER. Because these reactions are reported voluntarily from a population of uncertain size, it is not always possible to reliably estimate their frequency or establish a causal relationship to drug exposure.
Nervous system disorder: amnesia, convulsion, memory impairment
Drug Interactions
Alcohol
Concomitant use of alcohol with OPANA ER can result in an increase of oxymorphone plasma levels and potentially fatal overdose of oxymorphone. Instruct patients not to consume alcoholic beverages or use prescription or non-prescription products containing alcohol while on OPANA ER therapy [see CLINICAL PHARMACOLOGY].
CNS Depressants
The concomitant use of OPANA ER with other CNS depressants including sedatives, hypnotics, tranquilizers, general anesthetics, phenothiazines, other opioids, and alcohol can increase the risk of respiratory depression, profound sedation, coma and death. Monitor patients receiving CNS depressants and OPANA ER for signs of respiratory depression, sedation and hypotension.
When combined therapy with any of the above medications is considered, the dose of one or both agents should be reduced [see DOSAGE AND ADMINISTRATION and WARNINGS AND PRECAUTIONS].
Interactions With Mixed Agonist/Antagonist And Partial Agonist Opioid Analgesics
Mixed agonist/antagonist analgesics (i.e., pentazocine, nalbuphine, and butorphanol) and partial agonists (buprenorphine) may reduce the analgesic effect of OPANA ER or precipitate withdrawal symptoms. Avoid the use of mixed agonist/antagonist and partial agonist analgesics in patients receiving OPANA ER.
Muscle Relaxants
Oxymorphone may enhance the neuromuscular blocking action of skeletal muscle relaxants and produce an increased degree of respiratory depression. Monitor patients receiving muscle relaxants and OPANA ER for signs of respiratory depression that may be greater than otherwise expected.
Cimetidine
Cimetidine can potentiate opioid-induced respiratory depression. Monitor patients for respiratory depression when OPANA ER and cimetidine are used concurrently.
Anticholinergics
Anticholinergics or other medications with anticholinergic activity when used concurrently with opioid analgesics may result in increased risk of urinary retention and/or severe constipation, which may lead to paralytic ileus. Monitor patients for signs of respiratory and central nervous system depression when OPANA ER is used concurrently with anticholinergic drugs.
Drug Abuse And Dependence
Controlled Substance
OPANA ER contains oxymorphone, a Schedule II controlled substance with an abuse liability similar to other opioids including fentanyl, hydromorphone, methadone, morphine, oxycodone and tapentadol. OPANA ER can be abused and is subject to criminal diversion [see WARNINGS AND PRECAUTIONS].
The high drug content in extended release formulations adds to the risk of adverse outcomes from abuse and misuse.
Abuse
All patients treated with opioids require careful monitoring for signs of abuse and addiction, since use of opioid analgesic products carries the risk of addiction even under appropriate medical use.
Drug abuse is the intentional non-therapeutic use of an over-the-counter or prescription drug, even once, for its rewarding psychological or physiological effects. Drug abuse includes, but is not limited to the following examples: the use of a prescription or over-the counter drug to get ”high”, or the use of steroids for performance enhancement and muscle build up.
Drug addiction is a cluster of behavioral, cognitive, and physiological phenomena that develop after repeated substance use and include: a strong desire to take the drug, difficulties in controlling its use, persisting in its use despite harmful consequences, a higher priority given to drug use than to other activities and obligations, increased tolerance , and sometimes a physical withdrawal.
"Drug seeking" behavior is very common to addicts and drug abusers. Drug-seeking tactics include emergency calls or visits near the end of office hours, refusal to undergo appropriate examination, testing or referral, repeated claims of loss of prescriptions, tampering with prescriptions and reluctance to provide prior medical records or contact information for other treating physician(s). “Doctor shopping” (visiting multiple prescribers) to obtain additional prescriptions is common among drug abusers and people suffering from untreated addiction. Preoccupation with achieving adequate pain relief can be appropriate behavior in a patient with poor pain control.
Abuse and addiction are separate and distinct from physical dependence and tolerance. Physicians should be aware that addiction may not be accompanied by concurrent tolerance and symptoms of physical dependence in all addicts. In addition, abuse of opioids can occur in the absence of true addiction.
OPANA ER, like other opioids, can be diverted for non-medical use into illicit channels of distribution. Careful record-keeping of prescribing information, including quantity, frequency, and renewal requests as required by state law, is strongly advised.
Proper assessment of the patient, proper prescribing practices, periodic re-evaluation of therapy, and proper dispensing and storage are appropriate measures that help to reduce abuse of opioid drugs.
Risks Specific to Abuse of OPANA ER
OPANA ER is for oral use only. Abuse of OPANA ER poses a risk of overdose and death. This risk is increased with concurrent abuse of OPANA ER with alcohol and other substances. Taking cut, broken, chewed, crushed, or dissolved OPANA ER enhances drug release and increases the risk of over dose and death.
With parenteral abuse, cases of thrombotic microangiopathy (a condition characterized clinically by thrombocytopenia and microangiopathic hemolytic anemia) have been reported; many cases resulted in hospitalization and treatment with plasmapheresis. Parenteral drug abuse is commonly associated with transmission of infectious diseases such as hepatitis and HIV.
Dependence
Both tolerance and physical dependence can develop during chronic opioid therapy. Tolerance is the need for increasing doses of opioids to maintain a defined effect such as analgesia (in the absence of disease progression or other external factors). Tolerance may occur to both the desired and undesired effects of drugs, and may develop at different rates for different effects.
Physical dependence results in withdrawal symptoms after abrupt discontinuation or a significant dose reduction of a drug. Withdrawal also may be precipitated through the administration of drugs with opioid antagonist activity, e.g., naloxone, nalmefene, mixed agonist/antagonist analgesics (pentazocine, butorphanol, nalbuphine), or partial agonists (buprenorphine). Physical dependence may not occur to a clinically significant degree until after several days to weeks of continued opioid usage
OPANA ER should not be abruptly discontinued [see DOSAGE AND ADMINISTRATION]. If OPANA ER is abruptly discontinued in a physically-dependent patient, an abstinence syndrome may occur. Some or all of the following can characterize this syndrome: restlessness, lacrimation, rhinorrhea, yawning, perspiration, chills, myalgia, and mydriasis. Other signs and symptoms also may develop, including: irritability, anxiety, backache, joint pain, weakness, abdominal cramps, insomnia, nausea, anorexia, vomiting, diarrhea, or increased blood pressure, respiratory rate, or heart rate.
Infants born to mothers physically dependent on opioids will also be physically dependent and may exhibit respiratory difficulties and withdrawal symptoms [see Use In Specific Populations].
Warnings & Precautions
WARNINGS
Included as part of the PRECAUTIONS section.
PRECAUTIONS
Addiction, Abuse, And Misuse
OPANA ER contains oxymorphone, a Schedule II controlled substance. As an opioid, OPANA ER exposes users to the risks of addiction, abuse, and misuse [see Drug Abuse and Dependence]. As modified-release products such as OPANA ER deliver the opioid over an extended period of time, there is a greater risk for overdose and death due to the larger amount of oxymorphone present.
Although the risk of addiction in any individual is unknown, it can occur in patients appropriately prescribed OPANA ER and in those who obtain the drug illicitly. Addiction can occur at recommended doses and if the drug is misused or abused.
Assess each patient's risk for opioid abuse or addiction, abuse, or misuse prior to prescribing OPANA ER, and monitor all patients receiving OPANA ER for the development of these behaviors or conditions. Risks are increased in patients with a personal or family history of substance abuse (including drug or alcohol addiction or abuse) or mental illness (e.g., major depression). The potential for these risks should not, however, prevent the prescribing of OPANA ER for the proper management of pain in any given patient. Patients at increased risk may be prescribed modified-release opioid formulations such as OPANA ER, but use in such patients necessitates intensive counseling about the risks and proper use of OPANA ER along with intensive monitoring for signs of addiction, abuse, and misuse.
Abuse or misuse of OPANA ER by crushing, chewing, snorting, or injecting the dissolved product will result in the uncontrolled delivery of the oxymorphone and can result in overdose and death [see OVERDOSAGE].
Opioid agonists such as OPANA ER are sought by drug abusers and people with addiction disorders and are subject to criminal diversion. Consider these risks when prescribing or dispensing OPANA ER. Strategies to reduce these risks include prescribing the drug in the smallest appropriate quantity and advising the patient on the proper disposal of unused drug [see PATIENT INFORMATION] . Contact local state professional licensing board or state controlled substances authority for information on how to prevent and detect abuse or diversion of this product.
Life Threatening Respiratory Depression
Serious, life-threatening, or fatal respiratory depression has been reported with the use of modified-release opioids, even when used as recommended. Respiratory depression from opioid use, if not immediately recognized and treated, may lead to respiratory arrest and death. Management of respiratory depression may include close observation, supportive measures, and use of opioid antagonists, depending on the patient's clinical status [see OVERDOSAGE] . Carbon dioxide (CO2) retention from opioid-induced respiratory depression can exacerbate the sedating effects of opioids.
While serious, life-threatening, or fatal respiratory depression can occur at any time during the use of OPANA ER, the risk is greatest during the initiation of therapy or following a dose increase. Closely monitor patients for respiratory depression when initiating therapy with OPANA ER and following dose increases.
To reduce the risk of respiratory depression, proper dosing and titration of OPANA ER are essential [see DOSAGE AND ADMINISTRATION]. Overestimating the OPANA ER dose when converting patients from another opioid product can result in fatal overdose with the first dose.
Accidental ingestion of even one dose of OPANA ER, especially by children, can result in respiratory depression and death due to an overdose of oxymorphone.
Neonatal Opioid Withdrawal Syndrome
Prolonged use of OPANA ER during pregnancy can result in withdrawal signs in the neonate. Neonatal opioid withdrawal syndrome, unlike opioid withdrawal syndrome in adults, may be life-threatening if not recognized and treated, and requires management according to protocols developed by neonatology experts. If opioid use is required for a prolonged period in a pregnant woman, advise the patient of the risk of neonatal opioid withdrawal syndrome and ensure that appropriate treatment will be available.
Neonatal opioid withdrawal syndrome presents as irritability, hyperactivity and abnormal sleep pattern, high pitched cry, tremor, vomiting, diarrhea and failure to gain weight. The onset, duration, and severity of neonatal opioid withdrawal syndrome vary based on the specific opioid used, duration of use, timing and amount of last maternal use, and rate of elimination of the drug by the newborn.
Interactions With Central Nervous System Depressants
Patients must not consume alcoholic beverages or prescription or non-prescription products containing alcohol while on OPANA ER therapy. The co-ingestion of alcohol with OPANA ER may result in increased plasma levels and a potentially fatal overdose of oxymorphone [see CLINICAL PHARMACOLOGY] .
Hypotension, profound sedation, coma, respiratory depression, and death may result if OPANA ER is used concomitantly with alcohol or other central nervous system (CNS) depressants (e.g., sedatives, anxiolytics, hypnotics, neuroleptics, other opioids).
When considering the use of OPANA ER in a patient taking a CNS depressant, assess the duration of use of the CNS depressant and the patient's response, including the degree of tolerance that has developed to CNS depression. Additionally, evaluate the patient's use of alcohol or illicit drugs that cause CNS depression. If the decision to begin OPANA ER is made, start with OPANA ER 5 mg every 12 hours, monitor patients for signs of sedation and respiratory depression, and consider using a lower dose of the concomitant CNS depressant [see DRUG INTERACTIONS] .
Use In Elderly, Cachectic, And Debilitated Patients
Life-threatening respiratory depression is more likely to occur in elderly, cachectic, or debilitated patients as they may have altered pharmacokinetics or altered clearance compared to younger, healthier patients. Monitor such patients closely, particularly when initiating and titrating OPANA ER and when OPANA ER is given concomitantly with other drugs that depress respiration [see Life Threatening Respiratory Depression].
Use In Patients With Chronic Pulmonary Disease
Monitor patients with significant chronic obstructive pulmonary disease or cor pulmonale, and patients having a substantially decreased respiratory reserve, hypoxia, hypercapnia, or pre-existing respiratory depression for respiratory depression, particularly when initiating therapy and titrating with OPANA ER, as in these patients, even usual therapeutic doses of OPANA ER may decrease respiratory drive to the point of apnea [see Life Threatening Respiratory Depression]. Consider the use of alternative non-opioid analgesics in these patients if possible.
Use In Patients With Hepatic Impairment
A study of OPANA ER in patients with hepatic disease indicated greater plasma concentrations than those with normal hepatic function [see CLINICAL PHARMACOLOGY]. OPANA ER is contraindicated in patients with moderate or severe hepatic impairment. In patients with mild hepatic impairment reduce the starting dose to the lowest dose and monitor for signs of respiratory and central nervous system depression [see DOSAGE AND ADMINISTRATION].
Hypotensive Effect
OPANA ER may cause severe hypotension including orthostatic hypotension and syncope in ambulatory patients. There is an increased risk in patients whose ability to maintain blood pressure has already been compromised by a reduced blood volume or concurrent administration of certain CNS depressant drugs (e.g. phenothiazines or general anesthetics) [see DRUG INTERACTIONS]. Monitor these patients for signs of hypotension after initiating or titrating the dose of OPANA ER. In patients with circulatory shock, OPANA ER may cause vasodilation that can further reduce cardiac output and blood pressure. Avoid the use of OPANA ER in patients with circulatory shock.
Use In Patients With Head Injury Or Increased Intracranial Pressure
Monitor patients taking OPANA ER who may be susceptible to the intracranial effects of CO2 retention (e.g., those with evidence of increased intracranial pressure or brain tumors) for signs of sedation and respiratory depression, particularly when initiating therapy with OPANA ER. OPANA ER may reduce respiratory drive, and the resultant CO2 retention can further increase intracranial pressure. Opioids may also obscure the clinical course in a patient with a head injury. Avoid the use of OPANA ER in patients with impaired consciousness or coma.
Difficulty In Swallowing And Risk For Obstruction In Patients At Risk For A Small Gastrointestinal Lumen
There have been post-marketing reports of difficulty in swallowing Opana ER tablets. These reports included choking, gagging, regurgitation and tablets stuck in the throat. Instruct patients not to pre-soak, lick or otherwise wet Opana ER tablets prior to placing in the mouth, and to take one tablet at a time with enough water to ensure complete swallowing immediately after placing in the mouth.
There have been rare post-marketing reports of cases of intestinal obstruction, some of which have required medical intervention to remove the tablet. Patients with underlying GI disorders such as esophageal cancer or colon cancer with a small gastrointestinal lumen are at greater risk of developing these complications. Consider use of an alternative analgesic in patients who have difficulty swallowing and patients at risk for underlying GI disorders resulting in a small gastrointestinal lumen.
Use In Patients With Gastrointestinal Conditions
OPANA ER is contraindicated in patients with paralytic ileus. Avoid the use of OPANA ER in patients with other GI obstruction.
The oxymorphone in OPANA ER may cause spasm of the sphincter of Oddi. Monitor patients with biliary tract disease, including acute pancreatitis, for worsening symptoms. Opioids may cause increases in the serum amylase.
Use In Patients With Convulsive Or Seizure Disorders
The oxymorphone in OPANA ER may aggravate convulsions in patients with convulsive disorders, and may induce or aggravate seizures in some clinical settings. Monitor patients with a history of seizure disorders for worsened seizure control during OPANA ER therapy.
Avoidance Of Withdrawal
Avoid the use of mixed agonist/antagonist (i.e., pentazocine, nalbuphine, and butorphanol) and partial agonist (buprenorphine) analgesics in patients who have received or are receiving a course of therapy with an opioid agonist analgesic, including OPANA ER. In these patients, mixed agonists/antagonist and partial agonist analgesics may reduce the analgesic effect and/or may precipitate withdrawal symptoms.
When discontinuing OPANA ER, gradually taper the dose [see DOSAGE AND ADMINISTRATION]. Do not abruptly discontinue OPANA ER.
Driving And Operating Machinery
OPANA ER may impair the mental or physical abilities needed to perform potentially hazardous activities such as driving a car or operating machinery. Warn patients not to drive or operate dangerous machinery unless they are tolerant to the effects of OPANA ER and know how they will react to the medication.
Patient Counseling Information
Advise the patient to read the FDA-approved patient labeling (Medication Guide).
Addiction, Abuse, and Misuse
Inform patients that the use of OPANA ER, even when taken as recommended, can result in addiction, abuse, and misuse, which can lead to overdose or death [see WARNINGS AND PRECAUTIONS]. Instruct patients not to share OPANA ER with others and to take steps to protect OPANA ER from theft or misuse.
Life-threatening Respiratory Depression
Inform patients of the risk of life-threatening respiratory depression, including information that the risk is greatest when starting OPANA ER or when the dose is increased, and that it can occur even at recommended doses [see WARNINGS AND PRECAUTIONS]. Advise patients how to recognize respiratory depression and to seek medical attention if breathing difficulties develop.
Accidental Ingestion
Inform patients that accidental ingestion, especially in children, may result in respiratory depression or death [see WARNINGS AND PRECAUTIONS]. Instruct patients to take steps to store OPANA ER securely and to dispose of unused OPANA ER by flushing the tablets down the toilet.
Neonatal Opioid Withdrawal Syndrome
Inform female patients of reproductive potential that prolonged use of OPANA ER during pregnancy can result in neonatal opioid withdrawal syndrome, which may be life-threatening if not recognized and treated [see WARNINGS AND PRECAUTIONS].
Interactions with Alcohol and other CNS Depressants
Instruct patients not to consume alcoholic beverages, as well as prescription and over-the-counter products that contain alcohol, during treatment with OPANA ER. The co-ingestion of alcohol with OPANA ER may result in increased plasma levels and a potentially fatal overdose of oxymorphone [see WARNINGS AND PRECAUTIONS].
Inform patients that potentially serious additive effects may occur if OPANA ER is used with alcohol or other CNS depressants, and not to use such drugs unless supervised by a health care provider.
Important Administration Instructions
Instruct patients how to properly take OPANA ER, including the following:
- Swallowing OPANA ER tablets whole
- Not crushing, chewing, or dissolving the tablets
- Occasionally, the inactive ingredients of OPANA ER may be eliminated as a soft mass in the stool that may resemble the original tablet. Patients should be informed that the active medication has already been absorbed by the time the patient sees the soft mass.
- Using OPANA ER exactly as prescribed to reduce the risk of life-threatening adverse reactions (e.g., respiratory depression)
- Not discontinuing OPANA ER without first discussing the need for a tapering regimen with the prescriber
- Do not pre-soak, lick or otherwise wet the tablet prior to placing in the mouth.
- To take each tablet with enough water to ensure complete swallowing immediately after placing in mouth.
Hypotension
Inform patients that OPANA ER may cause orthostatic hypotension and syncope. Instruct patients how to recognize symptoms of low blood pressure and how to reduce the risk of serious consequences should hypotension occur (e.g., sit or lie down, carefully rise from a sitting or lying position).
Driving or Operating Heavy Machinery
Inform patients that OPANA ER may impair the ability to perform potentially hazardous activities such as driving a car or operating heavy machinery. Advise patients not to perform such tasks until they know how they will react to the medication.
Constipation
Advise patients of the potential for severe constipation, including management instructions and when to seek medical attention.
Anaphylaxis
Inform patients that anaphylaxis has been reported with ingredients contained in OPANA ER. Advise patients how to recognize such a reaction and when to seek medical attention.
Pregnancy
Advise female patients that OPANA ER can cause fetal harm and to inform the prescriber if they are pregnant or plan to become pregnant.
Disposal of Unused OPANA ER
Advise patients to flush the unused tablets down the toilet when OPANA ER is no longer needed.
Nonclinical Toxicology
Carcinogenesis, Mutagenesis, Impairment Of Fertility
Carcinogenesis
Long-term studies have been completed to evaluate the carcinogenic potential of oxymorphone in both Sprague-Dawley rats and CD-1 mice. Oxymorphone HCl was administered to Sprague-Dawley rats (2.5, 5, and 10 mg/kg/day in males and 5, 10, and 25 mg/kg/day in females) for 2 years by oral gavage. The systemic drug exposure (AUC ng•h/mL) at the 10 mg/kg/day in male rats was 0.34-fold and at the 25 mg/kg/day dose in female rats was 1.5-fold the human exposure at a dose of 260 mg/day. No evidence of carcinogenic potential was observed in rats. Oxymorphone was administered to CD-1 mice (10, 25, 75 and 150 mg/kg/day) for 2 years by oral gavage. The systemic drug exposure (AUC ng•h/mL) at the 150 mg/kg/day dose in mice was 14.5-fold (in males) and 17.3-fold (in females) times the human exposure at a dose of 260 mg/day. No evidence of carcinogenic potential was observed in mice.
Mutagenesis
Oxymorphone hydrochloride was not mutagenic when tested in the in vitro bacterial reverse mutation assay (Ames test) at concentrations of ≤ 5270 μg/plate, or in an in vitro mammalian cell chromosome aberration assay performed with human peripheral blood lymphocytes at concentrations ≤ 5000 μg/ml with or without metabolic activation. Oxymorphone hydrochloride tested positive in both the rat and mouse in vivo micronucleus assays. An increase in micronucleated polychromatic erythrocytes occurred in mice given doses ≥ 250 mg/kg and in rats given doses of 20 and 40 mg/kg. A subsequent study demonstrated that oxymorphone hydrochloride was not aneugenic in mice following administration of up to 500 mg/kg. Additional studies indicate that the increased incidence of micronucleated polychromatic erythrocytes in rats may be secondary to increased body temperature following oxymorphone administration. Doses associated with increased micronucleated polychromatic erythrocytes also produce a marked, rapid increase in body temperature. Pretreatment of animals with sodium salicylate minimized the increase in body temperature and prevented the increase in micronucleated polychromatic erythrocytes after administration of 40 mg/kg oxymorphone.
Impairment of Fertility
Oxymorphone hydrochloride did not affect reproductive function or sperm parameters in male rats at any dose tested ( ≤ 50 mg/kg/day). The highest dose tested is ≤ 6-fold the human dose of 40 mg every 12 hours, based on body surface area. In female rats, an increase in the length of the estrus cycle and decrease in the mean number of viable embryos, implantation sites and corpora lutea were observed at doses of oxymorphone ≥ 10 mg/kg/day. The dose of oxymorphone associated with reproductive findings in female rats is 1.2-fold the human dose of 40 mg every 12 hours based on a body surface area. The dose of oxymorphone that produced no adverse effects on reproductive findings in female rats is 0.6-fold the human dose of 40 mg every 12 hours on a body surface area basis.
Use In Specific Populations
Pregnancy
Clinical Considerations
Fetal/neonatal Adverse Reactions
Prolonged use of opioid analgesics during pregnancy for medical or nonmedical purposes can result in physical dependence in the neonate and neonatal opioid withdrawal syndrome shortly after birth. Observe newborns for symptoms of neonatal opioid withdrawal syndrome, such as poor feeding, diarrhea, irritability, tremor, rigidity, and seizures, and manage accordingly [see WARNINGS AND PRECAUTIONS].
Teratogenic Effects -Pregnancy Category C
There are no adequate and well-controlled studies in pregnant women. OPANA ER should be used during pregnancy only if the potential benefit justifies the potential risk to the fetus.
Oxymorphone hydrochloride administration did not cause malformations at any doses evaluated during developmental toxicity studies in rats ( ≤ 25 mg/kg/day) or rabbits ( ≤ 50 mg/kg/day). These doses are ≤ 3-fold and ≤ 12-fold the human dose of 40 mg every 12 hours, based on body surface area. There were no developmental effects in rats treated with 5 mg/kg/day or rabbits treated with 25 mg/kg/day. Fetal weights were reduced in rats and rabbits given doses of ≥ 10 mg/kg/day and 50 mg/kg/day, respectively. These doses are ≤ 1.2-fold and ≤ 12-fold the human dose of 40 mg every 12 hours based on body surface area, respectively. There were no effects of oxymorphone hydrochloride on intrauterine survival in rats at doses ≤ 25 mg/kg/day, or rabbits at ≤ 50 mg/kg/day in these studies (see Non-teratogenic Effects, below). In a study that was conducted prior to the establishment of Good Laboratory Practices (GLP) and not according to current recommended methodology, a single subcutaneous injection of oxymorphone hydrochloride on gestation day 8 was reported to produce malformations in offspring of hamsters that received 15.5-fold the human dose of 40 mg every 12 hours based on body surface area. This dose also produced 20% maternal lethality.
Non-teratogenic Effects
Oxymorphone hydrochloride administration to female rats during gestation in a pre-and postnatal developmental toxicity study reduced mean litter size (18%) at a dose of 25 mg/kg/day, attributed to an increased incidence of stillborn pups. An increase in neonatal death occurred at ≥ 5 mg/kg/day. Post-natal survival of the pups was reduced throughout weaning following treatment of the dams with 25 mg/kg/day. Low pup birth weight and decreased postnatal weight gain occurred in pups born to oxymorphone-treated pregnant rats given a dose of 25 mg/kg/day. This dose is ≤ 3-fold higher than the human dose of 40 mg every 12 hours on a body surface area basis.
Labor And Delivery
Opioids cross the placenta and may produce respiratory depression in neonates. OPANA ER is not for use in women during and immediately prior to labor, when shorter acting analgesics or other analgesic techniques are more appropriate. Opioid analgesics can prolong labor through actions that temporarily reduce the strength, duration, and frequency of uterine contractions. However this effect is not consistent and may be offset by an increased rate of cervical dilatation, which tends to shorten labor.
Nursing Mothers
It is not known whether oxymorphone is excreted in human milk. Because many drugs, including some opioids, are excreted in human milk, caution should be exercised when OPANA ER is administered to a nursing woman. Monitor infants who may be exposed to OPANA ER through breast milk for excess sedation and respiratory depression. Withdrawal symptoms can occur in breast-fed infants when maternal administration of an opioid analgesic is stopped, or when breast-feeding is stopped.
Pediatric Use
The safety and effectiveness of OPANA ER in patients below the age of 18 years have not been established.
Geriatric Use
Of the total number of subjects in clinical studies of oxymorphone hydrochloride extended-release tablets, 27% were 65 and over, while 9% were 75 and over. No overall differences in effectiveness were observed between these subjects and younger subjects. There were several adverse events that were more frequently observed in subjects 65 and over compared to younger subjects. These adverse events included dizziness, somnolence, confusion, and nausea. On average, age greater than 65 years was associated with a 1.4-fold increase in oxymorphone AUC and a 1.5-fold increase in Cmax. Initiate dosing with OPANA ER in patients 65 years of age and over using the 5 mg dose and monitor closely for signs of respiratory and central nervous system depression when initiating and titrating OPANA ER. For patients on prior opioid therapy, start at 50% of the starting dose for a younger patient on prior opioids and titrate slowly.
Hepatic Impairment
Patients with mild hepatic impairment have an increase in oxymorphone bioavailability of 1.6-fold. In opioid-naïve patients with mild hepatic impairment, initiate OPANA ER using the 5 mg dose and monitor closely for respiratory and central nervous system depression. OPANA ER is contraindicated for patients with moderate and severe hepatic impairment [see CONTRAINDICATIONS, WARNINGS AND PRECAUTIONS, and DOSAGE AND ADMINISTRATION]. For patients on prior opioid therapy, start at the 50% of the dose for that a patient with normal hepatic function on prior opioids and titrate slowly.
Renal Impairment
Patients with moderate to severe renal impairment were shown to have an increase in oxymorphone bioavailability ranging from 5765% [see CLINICAL PHARMACOLOGY]. Start opioid-naïve patients with the 5 mg dose of OPANA ER and titrate slowly while closely monitoring for respiratory and central nervous system depression [see DOSAGE AND ADMINISTRATION]. For patients on prior opioid therapy, start at 50% of the dose for a patient with normal renal function on prior opioids and titrate slowly.
Overdosage
Clinical Presentation
Acute overdosage with oxymorphone is manifested by respiratory depression, somnolence progressing to stupor or coma, skeletal muscle flaccidity, cold and clammy skin, constricted pupils, and, sometimes, pulmonary edema, bradycardia, hypotension, and death. Marked mydriasis rather than miosis may be seen due to severe hypoxia in overdose situations.
Treatment of Overdose
In case of overdose, priorities are the re-establishment of a patent and protected airway and institution of assisted or controlled ventilation if needed. Employ other supportive measures (including oxygen, vasopressors) in the management of circulatory shock and pulmonary edema as indicated. Cardiac arrest or arrhythmias will require advanced life support techniques.
The opioid antagonists, naloxone or nalmefene, are specific antidotes to respiratory depression resulting from opioid overdose. Opioid antagonists should not be administered in the absence of clinically significant respiratory or circulatory depression secondary to oxymorphone overdose. Such agents should be administered cautiously to patients who are known, or suspected to be, physically dependent on OPANA ER. In such cases, an abrupt or complete reversal of opioid effects may precipitate an acute withdrawal syndrome.
Because the duration of reversal would be expected to be less than the duration of action of oxymorphone in OPANA ER, carefully monitor the patient until spontaneous respiration is reliably re-established. OPANA ER will continue to release oxymorphone adding to the oxymorphone load for up to 24 hours after administration, necessitating prolonged monitoring. If the response to opioid antagonists is suboptimal or not sustained, additional antagonist should be given as directed in the product's prescribing information.
In an individual physically dependent on opioids, administration of an opioid receptor antagonist may precipitate an acute withdrawal. The severity of the withdrawal produced will depend on the degree of physical dependence and the dose of the antagonist administered. If a decision is made to treat serious respiratory depression in the physically dependent patient, administration of the antagonist should be begun with care and by titration with smaller than usual doses of the antagonist.
Contraindications
OPANA ER is contraindicated in patients with:
- Significant respiratory depression
- Acute or severe bronchial asthma or hypercarbia
- Known or suspected paralytic ileus and gastrointestinal obstruction
- Moderate and severe hepatic impairment [see CLINICAL PHARMACOLOGY, WARNINGS AND PRECAUTIONS].
- Hypersensitivity (e.g. anaphylaxis) to oxymorphone, any other ingredients in OPANA ER, or to morphine analogs such as codeine [see ADVERSE REACTIONS].
Clinical Pharmacology
Mechanism Of Action
Oxymorphone, an opioid agonist, is relatively selective for the mu receptor, although it can interact with other opioid receptors at higher doses.
The precise mechanism of analgesia, the principal therapeutic action of oxymorphone, is unknown. Specific central nervous system (CNS) opiate receptors and endogenous compounds with morphine-like activity have been identified throughout the brain and spinal cord and are likely to play a role in the expression and perception of analgesic effects. In addition, opioid receptors have also been identified within the peripheral nervous system (PNS). The role that these receptors play in these drugs' analgesic effects is unknown.
Pharmacodynamics
Concentration-Efficacy Relationships
The minimum effective plasma concentration of oxymorphone for analgesia varies widely among patients, especially among patients who have been previously treated with agonist opioids. As a result, individually titrate patients to achieve a balance between therapeutic and adverse effects. The minimum effective analgesic concentration of oxymorphone for any individual patient may increase over time due to an increase in pain, progression of disease, development of a new pain syndrome and/or potential development of analgesic tolerance.
Concentration-Adverse Experience Relationships
There is a general relationship between increasing opioid plasma concentration and increasing frequency of adverse experiences such as nausea, vomiting, CNS effects, and respiratory depression.
CNS Depressant/Alcohol Interaction
Additive pharmacodynamic effects may be expected when OPANA ER is used in conjunction with alcohol, other opioids, or illicit drugs that cause central nervous system depression.
Effects on the Central Nervous System (CNS)
The principal therapeutic action of oxymorphone is analgesia. Oxymorphone causes respiratory depression, in part by a direct effect on the brainstem respiratory centers. The respiratory depression involves a reduction in the responsiveness of the brain stem respiratory centers to both increases in carbon dioxide tension and electrical stimulation. Oxymorphone depresses the cough reflex by direct effect on the cough center in the medulla.
Oxymorphone causes miosis, even in total darkness. Pinpoint pupils are a sign of opioid overdose but are not pathognomonic (e.g., pontine lesions of hemorrhagic or ischemic origin may produce similar findings). Marked mydriasis rather than miosis may be seen with hypoxia in overdose situations [see OVERDOSAGE]. Other therapeutic effects of oxymorphone include anxiolysis, euphoria, and feeling of relaxation, drowsiness and changes in mood.
Effects on the Gastrointestinal Tract and on Other Smooth Muscle
Gastric, biliary and pancreatic secretions are decreased by oxymorphone. Oxymorphone causes a reduction in motility and is associated with an increase in tone in the antrum of the stomach and duodenum. Digestion of food in the small intestine is delayed and propulsive contractions are decreased. Propulsive peristaltic waves in the colon are decreased, while tone is increased to the point of spasm. The end result is constipation. Oxymorphone can cause a marked increase in biliary tract pressure as a result of spasm of the sphincter of Oddi, and transient elevations in serum amylase. Oxymorphone may also cause spasm of the sphincter of the urinary bladder.
Effects on the Cardiovascular System
Oxymorphone produces peripheral vasodilation which may result in orthostatic hypotension. Release of histamine can occur and may contribute to opioid-induced hypotension. Manifestations of histamine release may include orthostatic hypotension, pruritus, flushing, red eyes, and sweating.
Effects on the Endocrine System
Opioid agonists have been shown to have a variety of effects on the secretion of hormones. Opioids inhibit the secretion of ACTH, cortisol, and luteinizing hormone (LH) in humans. They also stimulate prolactin, growth hormone (GH) secretion, and pancreatic secretion of insulin and glucagon.
Effects on the Immune System
Opioids have been shown to have a variety of effects on components of the immune system in in vitro and animal models. The clinical significance of these findings is unknown.
Pharmacokinetics
Absorption
The absolute oral bioavailability of oxymorphone is approximately 10%.
Steady-state levels are achieved after three days of multiple dose administration. Under both single-dose and steady-state conditions, dose proportionality has been established for the 5 mg, 10 mg, 20 mg, and 40 mg doses of oxymorphone hydrochloride extended-release tablets, for both peak plasma levels (Cmax) and extent of absorption (AUC) (see Table 4).
Table 4: Mean (±SD) Oxymorphone Hydrochloride
Extended-Release Tablets Pharmacokinetic Parameters
| Regimen | Dosage | Cmax (ng/mL) | AUC (ng·hr/mL) | T ½ (hr) |
| Single Dose | 5 mg | 0.27 ± 0.13 | 4.54 ± 2.04 | 11.30 ± 10.81 |
| 10 mg | 0.65 ± 0.29 | 8.94 ± 4.16 | 9.83 ± 5.68 | |
| 20 mg | 1.21 ± 0.77 | 17.81 ± 7.22 | 9.89 ± 3.21 | |
| 40 mg | 2.59 ± 1.65 | 37.90 ± 16.20 | 9.35 ± 2.94 | |
| Multiple Dosea | 5 mg | 0.70 ± 0.55 | 5.60 ± 3.87 | NA |
| 10 mg | 1.24 ± 0.56 | 9.77 ± 3.52 | NA | |
| 20 mg | 2.54 ± 1.35 | 19.28 ± 8.32 | NA | |
| 40 mg | 4.47 ± 1.91 | 36.98 ± 13.53 | NA | |
| NA = not applicable a Results after 5 days of q12h dosing |
||||
Food Effect
Two studies examined the effect of food on the bioavailability of single doses of 20 and 40 mg of oxymorphone hydrochloride extended-release tablets in healthy volunteers. In both studies, after the administration of oxymorphone hydrochloride extended-release tablets, the Cmax was increased by approximately 50% in fed subjects compared to fasted subjects. A similar increase in Cmax was also observed with oxymorphone solution.
The AUC was unchanged in one study and increased by approximately 18% in the other study in fed subjects following the administration of oxymorphone hydrochloride extended-release tablets. Examination of the AUC suggests that most of the difference between fed and fasting conditions occurs in the first four hours after dose administration. After oral dosing with a single dose of 40 mg, a peak oxymorphone plasma level of 2.8 ng/ml is achieved at 1hour in fasted subjects and a peak of 4.25 ng/ml is achieved at 2 hours in fed subjects and that beyond the 12 hour time point, there is very little difference in the curves. As a result, OPANA ER should be dosed at least one hour prior to or two hours after eating [see DOSAGE AND ADMINISTRATION].
Distribution
Formal studies on the distribution of oxymorphone in various tissues have not been conducted. Oxymorphone is not extensively bound to human plasma proteins; binding is in the range of 10% to 12%.
Metabolism
Oxymorphone is highly metabolized, principally in the liver, and undergoes reduction or conjugation with glucuronic acid to form both active and inactive metabolites. The two major metabolites of oxymorphone are oxymorphone-3-glucuronide and 6-OHoxymorphone. The mean plasma AUC for oxymorphone-3-glucuronide is approximately 90-fold higher than the parent compound. The pharmacologic activity of the glucuronide metabolite has not been evaluated. 6-OH-oxymorphone has been shown in animal studies to have analgesic bioactivity. The mean plasma 6-OH-oxymorphone AUC is approximately 70% of the oxymorphone AUC following single oral doses, but is essentially equivalent to the parent compound at steady-state.
Excretion
Because oxymorphone is extensively metabolized, < 1% of the administered dose is excreted unchanged in the urine. On average, 33% to 38% of the administered dose is excreted in the urine as oxymorphone-3-glucuronide and less than 1% excreted as 6-OHoxymorphone in subjects with normal hepatic and renal function. In animals given radiolabeled oxymorphone, approximately 90% of the administered radioactivity was recovered within 5 days of dosing. The majority of oxymorphone-derived radioactivity was found in the urine and feces.
Specific Populations
Geriatric Patients
The steady-state plasma concentrations of oxymorphone, 6-OH-oxymorphone, and oxymorphone-3-glucuronide are approximately 40% higher in elderly subjects ( ≥ 65 years of age) than in young subjects (18 to 40 years of age). On average, age greater than 65 years was associated with a 1.4-fold increase in oxymorphone AUC and a 1.5-fold increase in Cmax. This observation does not appear related to a difference in body weight, metabolism, or excretion of oxymorphone [see Use in Specific Populations].
Gender
The effect of gender was evaluated following single-and multiple-doses of oxymorphone hydrochloride extended-release tablets in male and female adult volunteers. There was a consistent tendency for female subjects to have slightly higher AUCss and Cmax values than male subjects; however, gender differences were not observed when AUCss and Cmax were adjusted by body weight.
Hepatic Impairment
The bioavailability of orally administered oxymorphone is markedly increased in patients with moderate to severe liver disease. The disposition of oxymorphone was compared in six patients with mild, five patients with moderate, and one patient with severe hepatic impairment and 12 subjects with normal hepatic function. The bioavailability of oxymorphone was increased by 1.6-fold in patients with mild hepatic impairment and by 3.7-fold in patients with moderate hepatic impairment. In one patient with severe hepatic impairment, the bioavailability was increased by 12.2-fold. The half-life of oxymorphone was not significantly affected by hepatic impairment.
Renal Impairment
Data from a pharmacokinetic study involving 24 patients with renal dysfunction show an increase of 26%, 57%, and 65% in oxymorphone bioavailability in mild (creatinine clearance 51-80 mL/min; n=8), moderate (creatinine clearance 30-50 mL/min; n=8), and severe (creatinine clearance < 30 mL/min; n=8) patients, respectively, compared to healthy controls.
Drug Interaction/Alcohol Interaction
An in vivo study of the effect of alcohol (40%, 20%, 4% and 0%) on the bioavailability of a single dose of 40 mg of oxymorphone hydrochloride extended-release tablets in healthy, fasted volunteers demonstrated a highly variable effect on Cmax with concomitant administration of alcohol and oxymorphone hydrochloride extended-release tablets. The change in Cmax ranged from a decrease of 50% to an increase of 270% across all conditions studied. Following administration of 240 mL of 40% ethanol, the Cmax increased on average by 70% and up to 270% in individual subjects. Following the concomitant administration of 240 mL of 20% ethanol, the Cmax increased on average by 31% and up to 260% in individual subjects. Following the concomitant administration of 240 mL of 4 % ethanol, the Cmax increased 7% on average and by as much as 110% for individual subjects. After oral dosing with a single dose of 40 mg in fasted subjects, the mean peak oxymorphone plasma level is 2.4 ng/mL and the median Tmax is 2 hours. Following coadministration of oxymorphone hydrochloride extended-release tablets and alcohol (240 mL of 40% ethanol) in fasted subjects, the mean peak oxymorphone level is 3.9 ng/mL and the median Tmax is 1.5 hours (range 0.75 – 6 hours). The oxymorphone mean AUC was 13% higher after co-administration of 240 mL of 40% alcohol. The AUC was essentially unaffected in subjects following the coadministration of oxymorphone hydrochloride extended-release tablets and ethanol (240 mL of 20% or 4% ethanol).
In vitro studies have demonstrated that oxymorphone hydrochloride extended-release tablets does not release oxymorphone more rapidly in 500 mL of 0.1N HCl solutions containing ethanol (4%, 20%, and 40%),
Instruct patients to avoid use of alcohol when taking OPANA ER.
In vitro studies revealed little to no biotransformation of oxymorphone to 6-OH-oxymorphone by any of the major cytochrome P450 (CYP P450) isoforms at therapeutically relevant oxymorphone plasma concentrations.
No inhibition of any of the major CYP P450 isoforms was observed when oxymorphone was incubated with human liver microsomes at concentrations of ≤ 15.1 μg/mL. An inhibition of CYP3A4 activity occurred at oxymorphone concentrations ≥ 45.3 μg/mL. Therefore, it is not expected that oxymorphone, or its metabolites will act as inhibitors of any of the major CYP P450 enzymes in vivo.
Increases in the activity of the CYP 2C9 and CYP 3A4 isoforms occurred when oxymorphone was incubated with human hepatocytes. However, clinical drug interaction studies with oxymorphone hydrochloride extended-release tablets showed no induction of CYP450 3A4 or 2C9 enzyme activity, indicating that no dose adjustment for CYP 3A4-or 2C9-mediated drug-drug interactions is required.
Clinical Studies
The efficacy and safety of oxymorphone hydrochloride extended-release tablets have been evaluated in double-blind, controlled clinical trials in opioid-naïve and opioid-experienced patients with moderate to severe pain including low back pain.
12-Week Study in Opioid-Naïve Patients with Low Back Pain
Patients with chronic low back pain who were suboptimally responsive to their non-opioid therapy entered a 4-week, open-label dose titration phase. Patients initiated therapy with two days of treatment with oxymorphone hydrochloride extended-release tablets 5 mg, every 12 hours. Thereafter, patients were titrated to a stabilized dose, at increments of 5 to 10 mg every 12 hours every 3 to 7 days. Of the patients who were able to stabilize within the Open-Label Titration Period, the mean±SD VAS score at Screening was 69.4±11.8 mm and at Baseline (beginning of Double-Blind Period) were 18.5±11.2 mm and 19.3±11.3 mm for the oxymorphone ER and placebo groups, respectively. Sixty three percent of the patients enrolled were able to titrate to a tolerable dose and were randomized into a 12-week double-blind treatment phase with placebo or their stabilized dose of oxymorphone hydrochloride extended-release tablets. The mean±SD stabilized doses were 39.2±26.4 mg and 40.9±25.3 mg for the oxymorphone hydrochloride extended-release tablets and placebo groups, respectively; total daily doses ranged from 10 to 140 mg. During the first 4 days of double-blind treatment patients were allowed an unlimited number of OPANA, an immediate-release (IR) formulation of oxymorphone, 5 mg tablets, every 4-6 hours as supplemental analgesia; thereafter the number of OPANA was limited to two tablets per day. This served as a tapering method to minimize opioid withdrawal symptoms in placebo patients. Sixty-eight percent of patients treated with oxymorphone hydrochloride extended-release tablets completed the 12-week treatment compared to 47% of patients treated with placebo. Oxymorphone hydrochloride extended-release tablets provided superior analgesia compared to placebo. The analgesic effect of oxymorphone hydrochloride extended-release tablets was maintained throughout the double-blind treatment period in 89% of patients who completed the study. These patients reported a decrease, no change, or a ≤ 10 mm increase in VAS score from Day 7 until the end of the study.
The proportion of patients with various degrees of improvement from screening to study endpoint is shown in Figure 1. The figure is cumulative, so that patients whose change from baseline is, for example, 30%, are also included at every level of improvement below 30%. Patients who did not complete the study were assigned 0% improvement.
Figure 1: Percent Reduction in Average Pain Intensity
from Screening to Final Visit
![]() |
12-Week Study in Opioid-Experienced Patients with Low Back Pain
Patients on chronic opioid therapy entered a 4-week, open-label titration phase with oxymorphone hydrochloride extended-release tablets dosed every 12 hours at an approximated equianalgesic dose of their pre-study opioid medication. Of the patients who were able to stabilize within the Open-Label Titration Period, the mean±SD VAS score at Screening was 69.5±17.0 mm and at Baseline (beginning of Double-Blind Period) were 23.9±12.1 mm and 22.2±10.8 mm for the oxymorphone ER and placebo groups, respectively. Stabilized patients entered a 12-week double-blind treatment phase with placebo or their stabilized dose of oxymorphone hydrochloride extended-release tablets. The mean±SD stabilized doses were 80.9±59.3 mg and 93.3±61.3 mg for the oxymorphone hydrochloride extended-release tablets and placebo groups, respectively; total daily doses ranged from 20-260 mg. During the first 4 days of double-blind treatment, patients were allowed an unlimited number of OPANA 5 mg tablets, every 4-6 hours as supplemental analgesia; thereafter the number of OPANA was limited to two tablets per day. This served as a tapering method to minimize opioid withdrawal symptoms in placebo patients. Fifty seven percent of patients were titrated to a stabilized dose within approximately 4 weeks of oxymorphone hydrochloride extended-release tablets dose titration. Seventy percent of patients treated with oxymorphone hydrochloride extended-release tablets and 26% of patients treated with placebo completed the 12-week treatment. Oxymorphone hydrochloride extended-release tablets provided superior analgesia compared to placebo. The analgesic effect of oxymorphone hydrochloride extended-release tablets was maintained throughout the double-blind treatment period in 80 % of patients who completed the study. These patients reported a decrease, no change, or a ≤ 10 mm increase in VAS score from Day 7 until the end of the study.
The proportion of patients with various degrees of improvement from screening to study endpoint is shown in Figure 2. The figure is cumulative, so that patients whose change from baseline is, for example, 30%, are also included at every level of improvement below 30%. Patients who did not complete the study were assigned 0% improvement.
Figure 2: Percent Reduction in Average Pain Intensity
from Screening to Final Visit
![]() |
Medication Guide
PATIENT INFORMATION
OPANA®ER
(O-pan-a)
(oxymorphone hydrochloride extended-release) Tablets, for Oral Use
OPANA ER is:
- A strong prescription pain medicine that contains an opioid (narcotic) that is used to treat moderate to severe around-the-clock pain.
Important information about OPANA ER:
- Get emergency help right away if you take too much OPANA ER (overdose). OPANA ER overdose can cause life threatening breathing problems that can lead to death.
- Never give anyone else your OPANA ER. They could die from taking it. Store OPANA ER away from children and in a safe place to prevent stealing or abuse. Selling or giving away OPANA ER is against the law.
Do not take OPANA ER if you have:
- severe asthma, trouble breathing, or other lung problems.
- a bowel blockage or have narrowing of the stomach or intestines.
Before taking OPANA ER, tell your healthcare provider if you have a history of:
- head injury, seizures
- liver, kidney, thyroid problems
- problems urinating
- pancreas or gallbladder problems
- abuse of street or prescription drugs, alcohol addiction, or mental health problems.
Tell your healthcare provider if you are:
- pregnant or planning to become pregnant. OPANA ER may harm your unborn baby.
- breastfeeding. OPANA ER may pass into breast milk and may harm your baby.
- taking prescription or over-the-counter medicines, vitamins, or herbal supplements.
When taking OPANA ER:
- Do not change your dose. Take OPANA ER exactly as prescribed by your healthcare provider.
- Take your prescribed dose every 12 hours at the same time every day on an empty stomach, at least 1 hour before or 2 hours after meals. Do not take more than your prescribed dose in 24 hours. If you miss a dose, take the missed dose as soon as possible. If it is almost time for your next dose, skip the missed dose and go back to your regular dosing schedule.
- Swallow OPANA ER whole. Do not cut, break, chew, crush, dissolve, or inject OPANA ER.
- Call your healthcare provider if the dose you are taking does not control your pain.
- Do not stop taking OPANA ER without talking to your healthcare provider.
- After you stop taking OPANA ER, flush any unused tablets down the toilet.
While taking OPANA ER Do Not:
- Drive or operate heavy machinery, until you know how OPANA ER affects you. OPANA ER can make you sleepy, dizzy, or lightheaded.
- Drink alcohol or use prescription or over-the-counter medicines that contain alcohol.
The possible side effects of OPANA ER:
- constipation, nausea, sleepiness, vomiting, tiredness, headache, dizziness, abdominal pain. Call your healthcare provider if you have any of these symptoms and they are severe.
Get emergency medical help if you have:
- trouble breathing, shortness of breath, fast heartbeat, chest pain, swelling of your face, tongue or throat, extreme drowsiness, or you are feeling faint.
These are not all the possible side effects of OPANA ER. Call your doctor for medical advice about side effects. You may report side effects to FDA at 1-800-FDA-1088. For more information go to dailymed.nlm.nih.gov
This Medication Guide has been approved by the U.S. Food and Drug Administration. Issue: April 2013



