Mirvaso Drug Description: Detailed Datasheet
- Generic Name: brimonidine topical gel
- Brand Name: Mirvaso
side effects drug center mirvaso (brimonidine topical gel) drug
Drug Description
MIRVASO
(brimonidine) Topical Gel
DESCRIPTION
MIRVASO (brimonidine) topical gel, 0.33% contains brimonidine tartrate, an alpha adrenergic agonist.
The molecular formula of brimonidine tartrate is C11H10BrN5 • C4H6O6. It has the following structural formula:
![]() |
Chemically, brimonidine tartrate is 5-Bromo-6-(2-imidazolidinylideneamino) quinoxaline L-tartrate. Brimonidine tartrate has a molecular weight of 442.24 and appears as white to slightly yellowish powder.
Each gram of MIRVASO (brimonidine) topical gel, 0.33% contains 5 mg of the active ingredient brimonidine tartrate (equivalent to 3.3 mg of brimonidine free base), in a white to light yellow opaque gel composed of the inactive ingredients carbomer homopolymer type B, glycerin, methylparaben, phenoxyethanol, propylene glycol, purified water, sodium hydroxide, and titanium dioxide.
Indications & Dosage
INDICATIONS
MIRVASO (brimonidine) topical gel, 0.33% is an alpha adrenergic agonist indicated for the topical treatment of persistent (nontransient) erythema of rosacea in adults 18 years of age or older.
DOSAGE AND ADMINISTRATION
Apply a pea-sized amount once daily to each of the five areas of the face: central forehead, chin, nose, each cheek. MIRVASO topical gel should be applied smoothly and evenly as a thin layer across the entire face avoiding the eyes and lips.
Wash hands after applying MIRVASO topical gel.
MIRVASO topical gel is for topical use only and not for oral, ophthalmic, or intravaginal use.
HOW SUPPLIED
Dosage Forms And Strengths
MIRVASO (brimonidine) topical gel, 0.33% is a white to light yellow opaque aqueous gel. Each gram of gel contains 5 mg of brimonidine tartrate, equivalent to 3.3 mg of brimonidine free base.
Storage And Handling
MIRVASO (brimonidine) topical gel, 0.33% is a white to light yellow opaque gel, supplied in a laminated tube or pump with a child resistant cap in the following sizes:
30 gram tube NDC 0299-5980-30
30 gram pump NDC 0299-5980-35
45 gram tube NDC 0299-5980-45
Store at 20°C to 25°C (68°F to 77°F), excursions permitted between 15°C and 30°C (59°F and 86°F) [See USP Controlled Room Temperature].
Marketed by: GALDERMA LABORATORIES, L.P., Fort Worth, Texas 76177 USA. Revised: July 2016
Side Effects
The following adverse drug reactions are discussed in greater detail in other sections of the label:
- Systemic Adverse Reactions of Alpha-2 Adrenergic Agonists [see WARNINGS AND PRECAUTIONS]
- Local Vasomotor Adverse Reactions [see WARNINGS AND PRECAUTIONS]
- Hypersensitivity [see WARNINGS AND PRECAUTIONS]
Clinical Trials Experience
Because clinical trials are conducted under widely varying conditions, adverse reaction rates observed in the clinical trials of a drug cannot be directly compared to rates in the clinical trials of another drug and may not reflect the rates observed in practice.
During clinical trials, 1210 subjects were exposed to MIRVASO topical gel. A total of 833 subjects were treated for persistent (nontransient) erythema associated with rosacea, and 330 of those were treated once daily for 29 days in vehicle-controlled trials.
Adverse reactions that occurred in at least 1% of subjects treated with MIRVASO topical gel once daily for 29 days and for which the rate for MIRVASO topical gel exceeded the rate for vehicle are presented in Table 1.
Table 1 - Adverse Reactions Reported in Clinical Trials by at Least 1% of Subjects Treated for 29 Days
| Preferred Term | MIRVASO Topical Gel (N=330) n (%) |
Vehicle Gel (N=331) n (%) |
| Subjects with at least one adverse reaction, Number (%) of Subjects | 109 (33) | 91 (28) |
| Erythema | 12 (4%) | 3 (1%) |
| Flushing | 9 (3%) | 0 |
| Skin burning sensation | 5 (2%) | 2 (1%) |
| Dermatitis contact | 3 (1%) | 1 (<1%) |
| Dermatitis | 3 (1%) | 1 (<1%) |
| Skin warm | 3 (1%) | 0 |
| Paraesthesia | 2 (1%) | 1 (<1%) |
| Acne | 2 (1%) | 1 (<1%) |
| Pain of skin | 2 (1%) | 0 |
| Vision blurred | 2 (1%) | 0 |
| Nasal congestion | 2 (1%) | 0 |
Open-Label, Long-Term Study
An open-label study of MIRVASO topical gel when applied once daily for up to one year was conducted in subjects with persistent (nontransient) facial erythema of rosacea. Subjects were allowed to use other rosacea therapies. A total of 276 subjects applied MIRVASO topical gel for at least one year. The most common adverse events (≥ 4% of subjects) for the entire study were flushing (10%), erythema (8%), rosacea (5%), nasopharyngitis (5%), skin burning sensation (4%), increased intraocular pressure (4%), and headache (4%).
Allergic Contact Dermatitis
Allergic contact dermatitis to MIRVASO topical gel was reported in approximately 1% of subjects across the clinical development program. Two subjects underwent patch testing with individual product ingredients. One subject was found to be sensitive to brimonidine tartrate, and one subject was sensitive to phenoxyethanol (a preservative).
Postmarketing Experience
The following adverse reactions have been identified during post-approval use of MIRVASO topical gel. Because these reactions are reported voluntarily from a population of uncertain size, it is not always possible to estimate their frequency or establish a causal relationship to drug exposure.
Cardiovascular disorders: bradycardia, hypotension (including orthostatic hypotension)
Immune system disorders: angioedema, hypersensitivity, lip swelling, swollen tongue, throat tightness, urticaria
Nervous system disorders: dizziness
Skin and subcutaneous disorders: pallor
Drug Interactions
Anti-Hypertensives/Cardiac Glycosides
Alpha-2 agonists, as a class, may reduce blood pressure. Caution in using drugs such as beta-blockers, anti-hypertensives and/or cardiac glycosides is advised.
CNS Depressants
Although specific drug-drug interactions studies have not been conducted with MIRVASO topical gel, the possibility of an additive or potentiating effect with CNS depressants (alcohol, barbiturates, opiates, sedatives, or anaesthetics) should be considered.
Monoamine Oxidase Inhibitors
Monoamine oxidase (MAO) inhibitors may theoretically interfere with the metabolism of brimonidine and potentially result in an increased systemic side-effect such as hypotension. Caution is advised in patients taking MAO inhibitors which can affect the metabolism and uptake of circulating amines.
Warnings & Precautions
WARNINGS
Included as part of the "PRECAUTIONS" Section
PRECAUTIONS
Potentiation Of Vascular Insufficiency
MIRVASO topical gel should be used with caution in patients with depression, cerebral or coronary insufficiency, Raynaud’s phenomenon, orthostatic hypotension, thrombangiitis obliterans, scleroderma, or Sjögren’s syndrome.
Severe Cardiovascular Disease
Alpha-2 adrenergic agonists can lower blood pressure. MIRVASO topical gel should be used with caution in patients with severe or unstable or uncontrolled cardiovascular disease.
Serious Adverse Reactions Following Ingestion Of MIRVASO Topical Gel
Two young children of a subject in a clinical trial experienced serious adverse reactions following accidental ingestion of MIRVASO topical gel. Adverse reactions experienced by one or both children included lethargy, respiratory distress with apneic episodes (requiring intubation), sinus bradycardia, confusion, psychomotor hyperactivity, and diaphoresis. Both children were hospitalized overnight and discharged the following day without sequelae.
Keep MIRVASO topical gel out of the reach of children.
Systemic Adverse Reactions Of Alpha 2-Adrenergic Agonists
Postmarketing cases of bradycardia, hypotension (including orthostatic hypotension) and dizzieness have been reported. Some cases required hospitalization. Some cases involved application of MIRVASO topical gel in unapproved dosing regimens and for unapproved indications, including the application of MIRVASO topical gel following laser procedures. Avoid applying MIRVASO topical gel to irritated skin or open wounds.
Local Vasomotor Adverse Reactions
Erythema
Some subjects in the clinical trials discontinued use of MIRVASO topical gel because of erythema. Some subjects in the clinical trials reported a rebound phenomenon, where erythema was reported to return worse compared to the severity at baseline. Erythema appeared to resolve after discontinuation of MIRVASO topical gel [see ADVERSE REACTIONS].
The treatment effect of MIRVASO topical gel may begin to diminish hours after application.
From postmarketing reports, some patients have experienced erythema involving areas of the face that were previously not affected by erythema and in areas (e.g., neck and chest) outside of the treatment sites.
Flushing
Some subjects in the clinical trials discontinued use of MIRVASO topical gel because of flushing.
Intermittent flushing occurred in some subjects treated with MIRVASO topical gel in the clinical trials. The onset of flushing relative to application of MIRVASO topical gel varied, ranging from approximately 30 minutes to several hours [see ADVERSE REACTIONS]. Flushing appeared to resolve after discontinuation of MIRVASO topical gel.
From postmarketing reports, some patients have experienced increased frequency of flushing and/or increased depth of erythema with the flushing. Additionally, some patients reported new onset of flushing.
Pallor And Excessive Whitening
From postmarketing reports, some patients have experienced pallor or excessive whitening at or outside the application site following treatment with MIRVASO topical gel.
Hypersensitivity
Allergic contact dermatitis was reported in the clinical trials for MIRVASO topical gel [see ADVERSE REACTIONS].
Events reported post marketing with the use of MIRVASO topical gel include angioedema, throat tightening, tongue swelling, and urticarial [see ADVERSE REACTIONS]. Institute appropriate therapy and discontinue MIRVASO topical gel, if clinically significant hypersensitivity reaction occurs.
Patient Counseling Information
See FDA-approved patient labeling (PATIENT INFORMATION and Instructions for Use) Patients using MIRVASO topical gel should receive the following information and instructions:
- This medication is to be used as directed by the physician.
- It is for external use only.
- MIRVASO topical gel should not be applied to irritated skin or open wounds.
- Avoid contact with the eyes and lips.
- Patients should wash their hands immediately after applying the medication.
- Some patients using MIRVASO topical gel may experience erythema, flushing or excessive whitening.
- Patients should report any adverse reactions to their physician.
- Keep out of reach of children.
Nonclinical Toxicology
Carcinogenesis, Mutagenesis, Impairment Of Fertility
Carcinogenesis
In a 21-month oral (diet) mouse carcinogenicity study and a 24-month oral (diet) rat carcinogenicity study, no drug-related neoplasms were observed in mice at oral doses of brimonidine tartrate up to 2.5 mg/kg/day or in rats at oral doses of brimonidine tartrate up to 1 mg/kg/day.
In a dermal rat carcinogenicity study with MIRVASO topical gel, brimonidine tartrate was administered to Wistar rats at topical doses of 0.9 (0.03% gel), 1.8 (0.06% gel), and 5.4 mg/kg/day (0.18% gel) in males and 5.4 (0.18% gel), 30 (1% gel) during Days 1-343/10.8 (0.36% gel) thereafter, and 60 (2% gel) during Days 1-343/21.6 mg/kg/day (0.72% gel) thereafter in females once daily for 24 months. No drug-related neoplasms were observed in this study.
In a 12-month dermal photo-carcinogenicity study, topical doses of 0% (MIRVASO topical gel vehicle), 0.18%, 1% and 2% brimonidine tartrate gel were administered to hairless albino mice once daily, five days per week, with concurrent exposure to simulated sunlight. No drug-related adverse effects were observed in this study. The results of this study suggest that topical treatment with MIRVASO topical gel would not enhance photo-carcinogenesis.
Mutagenesis
Brimonidine tartrate was not mutagenic or clastogenic in a series of in vitro and in vivo studies, including the Ames test, a chromosomal aberration assay in Chinese Hamster Ovary (CHO) cells, and three studies in CD1 mice (a host-mediated assay, a cytogenetic study, and a dominant lethal assay).
Impairment Of Fertility
Reproduction and fertility studies in rats with brimonidine tartrate demonstrated no adverse effects on male or female fertility at oral doses up to 1 mg/kg/day.
Use In Specific Populations
Pregnancy
Pregnancy Category B.
There are no adequate and well-controlled studies of MIRVASO topical gel in pregnant women. In animal studies, brimonidine crossed the placenta and entered into the fetal circulation to a limited extent. MIRVASO topical gel should be used during pregnancy only if the potential benefit justifies the potential risk to the fetus.
Brimonidine tartrate was not teratogenic when given at oral doses up to 2.5 mg/kg/day in pregnant rats during gestation days 6 through 15 and 5 mg/kg/day in pregnant rabbits during gestation days 6 through 18.
Nursing Mothers
It is not known whether brimonidine tartrate is excreted in human milk, although in animal studies, brimonidine tartrate has been shown to be excreted in breast milk. Because of the potential for serious adverse reactions from MIRVASO topical gel in nursing infants, a decision should be made whether to discontinue nursing or to discontinue the drug, taking into account the importance of the drug to the mother.
Pediatric Use
Keep MIRVASO topical gel out of reach of children. Serious adverse reactions were experienced by two children of a subject in a clinical trial who accidentally ingested MIRVASO topical gel [see WARNINGS AND PRECAUTIONS].
Safety and effectiveness in pediatric patients have not been established.
Geriatric Use
One hundred and five subjects aged 65 and older were included in clinical trials with MIRVASO topical gel. No overall differences in safety or effectiveness were observed between subjects ≥65 years of age and younger adult subjects. Clinical studies of MIRVASO topical gel did not include sufficient numbers of subjects aged 65 and over to determine whether they respond differently from younger subjects.
Overdosage & Contraindications
OVERDOSE
No information is available on overdose in adults with MIRVASO topical gel.
Oral overdoses of other alpha-2 adrenergic agonists have been reported to cause symptoms such as hypotension, asthenia, vomiting, lethargy, sedation, bradycardia, arrhythmias, miosis, apnoea, hypotonia, hypothermia, respiratory depression, and seizure.
Treatment of an oral overdose includes supportive and symptomatic therapy; a patent airway should be maintained.
CONTRAINDICATIONS
MIRVASO topical gel is contraindicated in patients who have experienced a hypersensitivity reaction to any component. Reactions have included angioedema, urticarial, and contact dermatitis [see WARNINGS AND PRECAUTIONS and ADVERSE REACTIONS].
Clinical Pharmacology
Mechanism Of Action
Brimonidine is a relatively selective alpha-2 adrenergic agonist. Topical application of MIRVASO topical gel may reduce erythema through direct vasoconstriction.
Pharmacokinetics
Absorption
The absorption of brimonidine from MIRVASO topical gel was evaluated in a clinical trial in 24 adult subjects with facial erythema associated with rosacea. All enrolled subjects received once daily topical application of MIRVASO topical gel 1 gram to the entire face for 29 days. Pharmacokinetic assessments were performed on Day 1, Day 15, and Day 29. The mean plasma maximum concentration (Cmax) and area under the concentration-time curve (AUC) were highest on Day 15, with Cmax and AUC values (± standard deviation) of 46 ± 62 pg/mL and 417 ± 264 pg.hr/mL, respectively. The systemic drug exposure was slightly lower on Day 29 indicating no further drug accumulation.
Metabolism
Brimonidine is extensively metabolized by the liver.
Excretion
Urinary excretion is the major route of elimination of brimonidine and its metabolites.
Clinical Studies
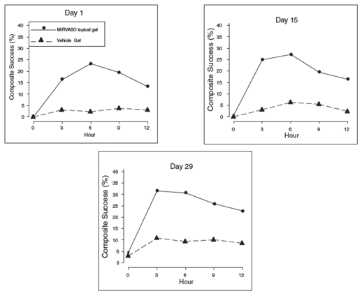
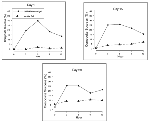
MIRVASO topical gel was evaluated for the treatment of moderate to severe, persistent (nontransient) facial erythema of rosacea in two randomized, double-blind, vehicle-controlled clinical trials, which were identical in design. The trials were conducted in 553 subjects aged 18 years and older who were treated once daily for 4 weeks with either MIRVASO topical gel or vehicle. Overall, 99% of subjects were Caucasian and 76% were female. Baseline disease severity was graded using a 5-point Clinical Erythema Assessment (CEA) scale and a 5-point Patient Self Assessment (PSA) scale, on which subjects scored either “moderate” or “severe” on both scales.
The primary efficacy endpoint in both pivotal trials was 2-grade Composite Success, defined as the proportion of subjects with a 2-grade improvement on both CEA and PSA measured at hours 3, 6, 9, and 12 on Day 29. Table 2 presents the efficacy results. In addition to Day 29, efficacy was evaluated on Day 15 and Day 1, and the results are presented in Figures 1 and 2 for Studies 1 and 2, respectively.
Table 2: Summary of 2-grade Composite Success on Day 29
| Success | Study 1 | Study 2 | ||
| MIRVASO Topical Gel (N=129) | Vehicle Gel (N=131) | MIRVASO Topical Gel (N=148) | Vehicle Gel (N=145) | |
| Hour 3 | 31% | 11% | 25% | 9% |
| Hour 6 | 30% | 10% | 25% | 9% |
| Hour 9 | 26% | 10% | 18% | 11% |
| Hour 12 | 23% | 9% | 22% | 10% |
| 2-grade Composite Success: 2-grade improvement on CEA and 2-grade improvement on PSA. | ||||
Figure 1: 2-grade Composite Success by Hour and Day for Study 1
![]() |
Figure 2: 2-grade Composite Success by Hour and Day for Study 2
![]() |
Medication Guide
PATIENT INFORMATION
MIRVASO
(Mer-VAY-soe)
(brimonidine) topical gel
Important information: MIRVASO® topical gel is for use on the face only. Do not use MIRVASO topical gel in your eyes, mouth, or vagina.
Keep MIRVASO topical gel out of the reach of children.
If anyone, especially a child, accidentally swallows MIRVASO topical gel, they may have serious side effects and need to be treated in a hospital. Get medical help right away if you, a child, or anyone else swallows MIRVASO topical gel and has any of these symptoms:
- lack of energy, trouble breathing or stops breathing, a slow heart beat, confusion, sweating, restlessness, muscle spasms, or twitching.
What is MIRVASO topical gel?
MIRVASO topical gel is a prescription medicine that is used on your skin (topical) to treat facial redness due to rosacea that does not go away (persistent) in adults who are 18 years of age or older. It is not known if MIRVASO topical gel is safe and effective in children.
Who should not use MIRVASO topical gel?
Do not use MIRVASO topical gel if you have had a serious allergic reaction to any of the ingredients in MIRVASO topical gel. See the end of this Patient Information leaflet for a list of ingredients in MIRVASO topical gel. See “What are the possible side effects of MIRVASO topical gel?”
What should I tell my doctor before using MIRVASO topical gel?
Before using MIRVASO topical gel, tell your doctor about all of your medical conditions including if you:
- have depression
- have heart or blood vessel problems
- have dizziness or blood pressure problems
- have problems with blood circulation or have had a stroke
- have dry mouth or Sjögren’s Syndrome
- have skin tightening or scleroderma
- have Raynaud’s phenomenon
- have irritated skin or open sores
- plan to have any laser procedures
- are pregnant or plan to become pregnant. It is not known if MIRVASO topical gel will harm your unborn baby.
- are breastfeeding. It is not known if MIRVASO topical gel passes into your breast milk. You and your doctor should decide if you will use MIRVASO topical gel or breastfeed. You should not do both.
Tell your doctor about all the medicines you take, including prescription and over-the-counter medicines, skin products, vitamins, and herbal supplements. Using MIRVASO topical gel with certain other medicines may affect each other and can cause serious side effects.
How should I use MIRVASO topical gel?
See the detailed Instructions for Use that comes with your MIRVASO topical gel tube or pump for information about how to apply MIRVASO topical gel correctly.
- Use MIRVASO topical gel exactly as your doctor tells you. Do not use more MIRVASO topical gel than prescribed. Call your doctor if you are not sure.
- You should not apply MIRVASO topical gel to irritated skin or open wounds.
- MIRVASO topical gel is for use on your skin only. Do not use MIRVASO topical gel in your eyes, mouth, or vagina. Avoid contact with your lips and eyes.
What are the possible side effects of MIRVASO topical gel?
MIRVASO topical gel may cause serious side effects, including:
- See “Important information” at the beginning of this Patient Information leaflet.
- Problems with blood circulation. People who use MIRVASO topical gel can have problems with blood circulation, including a slow heart rate, low blood pressure, and dizziness. These problems may sometimes be serious and lead to hospitalization. See “What should I tell my doctor before using MIRVASO topical gel?”
- Serious allergic (hypersensitivity) reactions have happened in people who use MIRVASO topical gel. Stop using MIRVASO topical gel and go to the nearest hospital emergency room right away if you have any of the following signs and symptoms of a serious allergic reaction including:
- swelling of your face, lips, tongue, or throat
- trouble breathing
- hives
The most common side effects of MIRVASO topical gel include:
- redness
- flushing
- burning sensation of the skin
- skin reactions (contact dermatitis).
Skin redness is common after applying MIRVASO topical gel, and may be worse than before you applied it. You may also develop redness on areas of your face that were not affected by rosacea, as well as on your neck and chest.
Skin flushing is common and may happen off and on after applying MIRVASO topical gel. In some cases, the flushing may be new, may happen more often, or you may have increased redness with flushing.
Pale colored skin or very white skin (excessive whitening) can happen at or outside the treated area.
Tell your doctor if you get skin redness, flushing, and pale colored skin that is uncomfortable for you.
These are not all the possible side effects of MIRVASO topical gel.
Call your doctor for medical advice about side effects. You may report side effects to FDA at 1-800-FDA-1088.
General information about the safe and effective use of MIRVASO topical gel
Medicines are sometimes prescribed for purposes other than those listed in a Patient Information leaflet. You can ask your pharmacist or doctor for information about MIRVASO topical gel that is written for health professionals. Do not use MIRVASO topical gel for a condition for which it was not prescribed. Do not give MIRVASO topical gel to other people, even if they have the same symptoms that you have. It may harm them.
What are the ingredients in MIRVASO topical gel?
Active ingredient: brimonidine
Inactive ingredients: carbomer homopolymer type B, glycerin, methylparaben, phenoxyethanol, propylene glycol, purified water, sodium hydroxide, titanium dioxide.



