Magnevist Drug Description: Detailed Datasheet
- Generic Name: gadopentetate dimeglumine
- Brand Name: Magnevist
- Drug Class: How Do Gadolinium Containing Contrast Agents Work?
side effects drug center magnevist (gadopentetate dimeglumine) drug
Drug Description
MAGNEVIST®
(gadopentetate dimeglumine) Injection
WARNING
NEPHROGENIC SYSTEMIC FIBROSIS (NSF)
Gadolinium-based contrast agents (GBCAs) increase the risk for NSF among patients with impaired elimination of the drugs. Avoid use of GBCAs in these patients unless the diagnostic information is essential and not available with non-contrasted MRI or other modalities. NSF may result in fatal or debilitating fibrosis affecting the skin, muscle and internal organs.
- Do not administer MAGNEVIST to patients with:
- chronic, severe kidney disease (GFR < 30 mL/min/1.73m²), or
- acute kidney injury (see CONTRAINDICATIONS).
- Screen patients for acute kidney injury and other conditions that may reduce renal function. For patients at risk for chronically reduced renal function (for example, age > 60 years, hypertension or diabetes), estimate the glomerular filtration rate (GFR) through laboratory testing.
Do not exceed the recommended MAGNEVIST dose and allow a sufficient period of time for elimination of the drug from the body prior to any re-administration (see WARNINGS AND PRECAUTIONS).
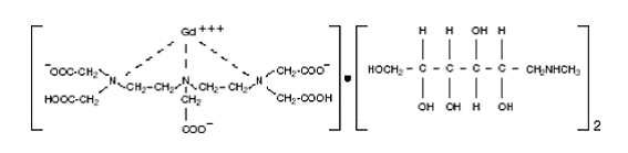
DESCRIPTION
MAGNEVIST® (brand of gadopentetate dimeglumine) Injection is the N-methylglucamine salt of the gadolinium complex of diethylenetriamine pentaacetic acid, and is an injectable contrast medium for magnetic resonance imaging (MRI). MAGNEVIST Injection is provided as a sterile, clear, colorless to slightly yellow aqueous solution for intravenous injection.
MAGNEVIST Injection is a 0.5-mol/L solution of 1-deoxy-1-(methylamino)-D-glucitol dihydrogen [N,N-bis[2-[bis(carboxymethyl)amino]ethyl] glycinato (5-) ]gadolinate (2-)(2:1) with a molecular weight of 938, an empirical formula of C28H54GdN5O20, and has the following structural formula:
![]() |
Each mL of MAGNEVIST Injection contains 469.01 mg gadopentetate dimeglumine, 0.99 mg meglumine, 0.40 mg diethylenetriamine pentaacetic acid and water for injection. MAGNEVIST Injection contains no antimicrobial preservative.
MAGNEVIST Injection has a pH of 6.5 to 8.0. Pertinent physicochemical data are noted below:
| PARAMETER | ||
| Osmolality (mOsmol/kg water) | at 37° C | 1,960 |
| Viscosity (CP) | at 20° C | 4.9 |
| at 37° C | 2.9 | |
| Density (g/mL) | at 25° C | 1.195 |
| Specific Gravity | at 25° C | 1.208 |
| Octanol: H2O Coefficient | at 25° C, pH7 log Pow = - 5.4 | |
MAGNEVIST Injection has an osmolality 6.9 times that of plasma which has an osmolality of 285 mOsmol/kg water. MAGNEVIST Injection is hypertonic under conditions of use.
Indications
Central Nervous System
MAGNEVIST Injection is indicated for use with magnetic resonance imaging (MRI) in adults, and pediatric patients (2 years of age and older) to visualize lesions with abnormal vascularity in the brain (intracranial lesions), spine and associated tissues. MAGNEVIST Injection has been shown to facilitate visualization of intracranial lesions including but not limited to tumors.
Extracranial/Extraspinal Tissues
MAGNEVIST is indicated for use with MRI in adults and pediatric patients (2 years of age and older) to facilitate the visualization of lesions with abnormal vascularity in the head and neck.
Body
MAGNEVIST Injection is indicated for use in MRI in adults and pediatric patients (2 years of age and older) to facilitate the visualization of lesions with abnormal vascularity in the body (excluding the heart).
Dosage
DOSAGE AND ADMINISTRATION
The recommended dosage of MAGNEVIST Injection is 0.2 mL/kg (0.1 mmol/kg) administered intravenously, at a rate not to exceed 10 mL per 15 seconds. Dosing for patients in excess of 286 lbs has not been studied systematically.
DOSE AND DURATION OF MAGNEVIST INJECTION BY BODY WEIGHT
| BODY WEIGHT | Total Volume, mL* | |
| lb | kg | |
| 22 | 10 | 2 |
| 44 | 20 | 4 |
| 66 | 30 | 6 |
| 88 | 40 | 8 |
| 110 | 50 | 10 |
| 132 | 60 | 12 |
| 154 | 70 | 14 |
| 176 | 80 | 16 |
| 198 | 90 | 18 |
| 220 | 100 | 20 |
| 242 | 110 | 22 |
| 264 | 120 | 24 |
| 286 | 130 | 26 |
| *Rate of Injection: 10 mL/15 sec | ||
Drug Handling: To ensure complete injection of the contrast medium, the injection should be followed by a 5-mL normal saline flush. The imaging procedure should be completed within 1 hour of injection of MAGNEVIST Injection.
As with other gadolinium contrast agents, MAGNEVIST Injection has not been established for use in magnetic resonance angiography.
Parenteral products should be inspected visually for particulate matter and discoloration prior to administration. Do not use the solution if it is discolored or particulate matter is present.
Any unused portion must be discarded in accordance with regulations dealing with the disposal of such materials.
HOW SUPPLIED
MAGNEVIST Injection is a clear, colorless to slightly yellow solution containing 469.01 mg/ mL of gadopentetate dimeglumine. MAGNEVIST Injection is supplied in the following sizes:
| 5 mL single-dose vials, rubber stoppered, in individual cartons, Boxes of 20 | NDC 50419-188-05 |
| 5 mL single-dose vials (RFID), rubber stoppered, in individual cartons, Boxes of 20 | NDC 50419-188-40 |
| 10 mL single-dose vials, rubber stoppered, in individual cartons, Boxes of 20 | NDC 50419-188-01 |
| 10 mL single-dose vials (RFID), rubber stoppered, in individual cartons, Boxes of 20 | NDC 50419-188-42 |
| 10 mL pre-filled disposable syringe, Boxes of 5 | NDC 50419-188-36 |
| 10 mL pre-filled disposable syringe (RFID), Boxes of 5 | NDC 50419-188-43 |
| 15 mL single-dose vials, rubber stoppered, in individual cartons, Boxes of 20 | NDC 50419-188-15 |
| 15 mL single-dose vials (RFID), rubber stoppered, in individual cartons, Boxes of 20 | NDC 50419-188-44 |
| 15 mL pre-filled disposable syringe, Boxes of 5 | NDC 50419-188-37 |
| 15 mL pre-filled disposable syringe (RFID), Boxes of 5 | NDC 50419-188-45 |
| 20 mL single-dose vials, rubber stoppered, in individual cartons, Boxes of 20 | NDC 50419-188-02 |
| 20 mL single-dose vials (RFID), rubber stoppered, in individual cartons, Boxes of 20 | NDC 50419-188-46 |
| 20 mL pre-filled disposable syringe, Boxes of 5 | NDC 50419-188-38 |
| 20 mL pre-filled disposable syringe (RFID), Boxes of 5 | NDC 50419-188-47 |
Storage
MAGNEVIST Injection should be stored at controlled room temperature, between 15-30° C (59- 86° F) and protected from light. DO NOT FREEZE. Should freezing occur in the vial MAGNEVIST Injection should be brought to room temperature before use. If allowed to stand at room temperature for a minimum of 90 minutes, MAGNEVIST Injection should return to a clear, colorless to slightly yellow solution. Before use, examine the product to assure that all solids are redissolved and that the container and closure have not been damaged. Should solids persist, discard vial.
Manufactured for: Bayer HealthCare Pharmaceuticals Inc., Wayne, NJ 07470. Manufactured in Germany. March 2012
Side Effects & Drug Interactions
SIDE EFFECTS
Clinical Trial Experience
Because clinical trials are conducted under widely varying conditions, adverse reaction rates observed in the clinical trials of a drug cannot be directly compared to rates in the clinical trials of another drug and may not reflect the rates observed in practice.
The mean age of the 1272 patients who received MAGNEVIST Injection in pre-market clinical trials was 46.4 years (range 2 to 93 years). Of these patients, 55% (700) were male and 45% (572) were female. Of the 1271 patients who received MAGNEVIST Injection and for whom race was reported, 82.1% (1043) were Caucasian, 9.7% (123) were Black, 5.3% (67) were Hispanic, 2.1% (27) were Oriental/Asian, and 0.9% (11) were other.
The most common adverse reaction was headache (4.8%). The majority of headaches were transient and of mild to moderate severity. Other adverse reactions that occurred in ≥ 1% of patients included: nausea (2.7%), injection site coldness/localized coldness (2.3%) and dizziness (1%).
The following additional adverse reactions occurred in less than 1% of the patients:
General Disorders: Injection site reactions, including phlebitis, pain, localized warmth, localized edema, and burning sensation; substernal chest pain, back pain, pyrexia, asthenia, feeling cold, generalized warmth, fatigue, and chest tightness, and anaphylactoid reactions characterized by cardiovascular, respiratory and/or cutaneous symptoms, such as dyspnea, bronchospasm, and cough. (See WARNINGS AND PRECAUTIONS.)
Cardiovascular: Hypotension, hypertension, tachycardia, migraine, syncope, vasodilatation, pallor.
Gastrointestinal: Abdominal discomfort, teeth pain, increased salivation, abdominal pain, vomiting, diarrhea.
Nervous System: Agitation, anxiety, thirst, somnolence, diplopia, loss of consciousness, convulsions (including grand mal), paresthesia.
Respiratory System: Throat irritation, rhinitis, sneezing.
Skin: Rash, sweating (hyperhidrosis), pruritus, urticaria (hives), facial edema.
Special Senses: Conjunctivitis, taste abnormality, dry mouth, lacrimation, eye irritation, eye pain, ear pain.
Postmarketing Experience
The following additional adverse reactions have been identified during postmarketing use of Magnevist. Because these reactions are reported voluntarily from a population of uncertain size, it is not always possible to reliably estimate their frequency or establish a causal relationship to drug exposure.
The most serious reactions were nephrogenic systemic fibrosis (see BOXED WARNING) and acute reactions including cardiac or respiratory arrest, anaphylactic shock, shock, respiratory distress, and laryngeal edema. Life threatening and/or fatal adverse reactions have been reported. The most frequently reported adverse reactions in the postmarketing experience were nausea, vomiting, urticaria and rash.
General Disorders and Administration Site Conditions: Nephrogenic systemic fibrosis (see WARNINGS AND PRECAUTIONS), body temperature decreased, tremor, shivering (chills).
Hypersensitivity Reactions: Anaphylactic/anaphylactoid reactions that may be fatal and include cardiac or respiratory arrest, respiratory distress, cyanosis, laryngeal edema, laryngospasm, pharyngeal edema, and angioedema (see WARNINGS AND PRECAUTIONS).
Delayed hypersensitivity reactions have been reported up to several hours after administration of Magnevist.
Renal and Urinary: Acute renal failure, worsening renal impairment (see WARNINGS AND PRECAUTIONS), urinary incontinence, urinary urgency.
Vascular: Thrombophlebitis, deep vein thrombophlebitis, compartment syndrome requiring surgical intervention.
Cardiac: Cardiac arrest, heart rate decreased, arrhythmia.
Ear and Labyrinth Disorders: Hearing impaired.
Eye Disorders: Visual disturbance.
Musculoskeletal and Connective Tissue Disorder: Arthralgia.
Nervous System Disorders: Coma, parosmia, speech disorder.
Respiratory System: Respiratory arrest, pulmonary edema.
Skin: Erythema multiforme, pustules (rash pustular).
DRUG INTERACTIONS
No information provided.
Warnings & Precautions
WARNINGS
Included as part of the PRECAUTIONS section.
PRECAUTIONS
Nephrogenic Systemic Fibrosis (NSF)
Gadolinium-based contrast agents (GBCAs) increase the risk for nephrogenic systemic fibrosis (NSF) among patients with impaired elimination of the drugs. Avoid use of GBCAs among these patients unless the diagnostic information is essential and not available with non-contrast enhanced MRI or other modalities. The GBCA-associated NSF risk appears highest for patients with chronic, severe kidney disease (GFR < 30 mL/min/1.73m²) as well as patients with acute kidney injury. Do not administer MAGNEVIST to these patients. The risk appears lower for patients with chronic, moderate kidney disease (GFR 30- 59 mL/min/1.73m²) and little, if any, for patients with chronic, mild kidney disease (GFR 60- 89 mL/min/1.73m²). NSF may result in fatal or debilitating fibrosis affecting the skin, muscle and internal organs. Report any diagnosis of NSF following MAGNEVIST administration to Bayer Healthcare (1-888-842-2937) or FDA (1800-FDA-1088 or www.fda.gov/medwatch).
Screen patients for acute kidney injury and other conditions that may reduce renal function. Features of acute kidney injury consist of rapid (over hours to days) and usually reversible decrease in kidney function, commonly in the setting of surgery, severe infection, injury or drug-induced kidney toxicity. Serum creatinine levels and estimated GFR may not reliably assess renal function in the setting of acute kidney injury. For patients at risk for chronically reduced renal function (for example, age > 60 years, diabetes mellitus or chronic hypertension), estimate the GFR through laboratory testing.
Among the factors that may increase the risk for NSF are repeated or higher than recommended doses of a GBCA and degree of renal impairment at the time of exposure. Record the specific GBCA and the dose administered to a patient. When administering Magnevist, do not exceed the recommended dose and allow a sufficient period of time for elimination of the drug prior to re-administration (See CLINICAL PHARMACOLOGY and DOSAGE AND ADMINISTRATION).
Hypersensitivity Reactions
Anaphylactoid and anaphylactic reactions with cardiovascular, respiratory and/or cutaneous manifestations rarely resulting in death have occurred. The risk of hypersensitivity reactions is higher in patients with a history of reaction to contrast media, bronchial asthma, or allergic disorders. Hypersensitivity reactions can occur with or without prior exposure to GBCAs.
Have appropriately trained personnel administer MAGNEVIST in a facility that has immediate availability of resuscitative equipment. If a hypersensitivity reaction occurs, stop MAGNEVIST Injection and immediately begin appropriate therapy.
Observe closely patients with a history of drug reactions, allergy or other hypersensitivity disorders, during and up to several hours after MAGNEVIST Injection.
Renal Failure
In patients with renal impairment, acute renal failure (acute kidney injury) requiring dialysis or worsening renal function has occurred, mostly within 48 hrs of MAGNEVIST Injection. The risk of acute renal failure is higher with increasing dose of contrast. Use the lowest possible dose, evaluate renal function in patients with renal impairment, and allow sufficient time for contrast elimination before re-administration. Elimination half-life in patients with mild or moderate renal impairment is 3 to 4 hours. Elimination half-life in patients with severe renal impairment is about 11 hours. MAGNEVIST is cleared by glomerular filtration and is dialyzable. After 3 dialysis sessions of 3 hours each, about 97% of the administered dose is eliminated from the body; each dialysis session removes about 70% of the circulating drug (See CLINICAL PHARMACOLOGY, Pharmacokinetics).
Injection Site Reactions
Skin and soft tissue necrosis, thrombosis, fasciitis, and compartment syndrome requiring surgical intervention (e.g., compartment release or amputation) have occurred very rarely at the site of contrast injection or the dosed limb. Total volume and rate of MAGNEVIST Injection, extravasation of contrast agent, and patient susceptibility might contribute to these reactions. Phlebitis and thrombophlebitis may be observed generally within 24 hours after MAGNEVIST Injection and resolve with supportive treatment. Determine the patency and integrity of the intravenous line before administration of MAGNEVIST Injection. Assessment of the dosed limb for the development of injection site reactions is recommended.
Interference with Visualization of Lesions Visible with Non-Contrast MRI
As with any paramagnetic contrast agent, MAGNEVIST Injection might impair the visualization of lesions seen on non-contrast MRI. Therefore, caution should be exercised when MAGNEVIST MRI scans are interpreted without a companion non-contrast MRI scan.
Laboratory Test Findings
Transitory changes in serum iron, bilirubin and transaminase levels were observed in clinical trials.
MAGNEVIST Injection does not interfere with serum and plasma calcium measurements determined by colorimetric assays.
Carcinogenesis, Mutagenesis And Impairment Of Fertility
Long term animal studies have not been performed to evaluate the carcinogenic potential of gadopentetate dimeglumine.
A comprehensive battery of in vitro and in vivo studies in bacterial and mammalian systems suggest that gadopentetate dimeglumine is not mutagenic or clastogenic and does not induce unscheduled DNA repair in rat hepatocytes or cause cellular transformation of mouse embryo fibroblasts. However, the drug did show some evidence of mutagenic potential in vivo in the mouse dominant lethal assay at doses of 6 mmol/kg, but did not show any such potential in the mouse and dog micronucleus tests at intravenous doses of 9 mmol/kg and 2.5 mmol/kg, respectively.
When administered intra-peritoneally to male and female rats daily prior to mating, during mating and during embryonic development for up to 74 days (males) or 35 days (females), gadopentetate caused a decrease in number of corpora lutea at the 0.1 mmol/kg dose level. After daily dosing with 2.5 mmol/kg suppression of food consumption and body weight gain (males and females) and a decrease in the weights of testes and epididymis were also observed.
In a separate experiment in rats, daily injections of gadopentetate dimeglumine over 16 days caused spermatogenic cell atrophy at a dose level of 5 mmol/kg but not at a dose level of 2.5 mmol/kg. This atrophy was not reversed within a 16-day observation period following the discontinuation of the drug.
Pregnancy Category C
Gadopentetate dimeglumine retarded fetal development slightly when given intravenously for 10 consecutive days to pregnant rats at daily doses of 0.25, 0.75, and 1.25 mmol/kg (2.5, 7.5 and 12.5 times the human dose based on body weight) and when given intravenously for 13 consecutive days to pregnant rabbits at daily doses of 0.75 and 1.25 mmol/kg (7.5 and 12.5 times the human dose respectively, based on body weight) but not at daily doses of 0.25 mmol/kg. No congenital anomalies were noted in rats or rabbits.
Adequate and well controlled studies were not conducted in pregnant women. MAGNEVIST Injection should be used during pregnancy only if the potential benefit justifies the potential risk to the fetus.
Nursing Women
MAGNEVIST is excreted in human milk. MAGNEVIST Injection was administered intravenously to 18 lactating women with normal renal function at a dose of 0.1 mmol/kg body weight. In these women, less than 0.04% of the administered gadolinium was excreted into the breast milk during the 24-hour period following dosing. Breast milk obtained during the 24 hours following dosing revealed the average cumulative amount of gadolinium excreted in breast milk was 0.57+/-0.71 micromoles. The amount transferred from a 70 kg woman (receiving 0.1 mmol/kg body weight) to an infant by breastfeeding over a period of 24 hrs translates into less than 3 micromoles of gadolinium.
The overall duration of excretion of gadolinium into breast milk is unknown. The extent of the absorption of MAGNEVIST Injection in infants and its effect on the breast-fed child remains unknown.
Pediatric Use
The use of MAGNEVIST in imaging the central nervous system, extracranial/extraspinal tissues, and body have been established in the pediatric population from the ages of 2 to 16 years on the basis of adequate and well controlled clinical trials in adults and safety studies in this pediatric population. (See Clinical Trials for details.)
Safety and efficacy in the pediatric population under the age of 2 years have not been established. MAGNEVIST is eliminated primarily by the kidney. In a study with pediatric patients aged 2 months to < 2 years the pharmacokinetics (body weight-normalized clearance, body weight-normalized distribution volume, and terminal half-life) of gadopentetate were similar to adults. (See INDICATIONS and DOSAGE AND ADMINISTRATION.)
Overdosage & Contraindications
OVERDOSE
Systemic consequences associated with overdosage of MAGNEVIST Injection have not been reported.
CONTRAINDICATIONS
MAGNEVIST is contraindicated in patients with:
- Chronic, severe kidney disease (glomerular filtration rate, GFR < 30 mL/min/1.73m²), or
- Acute kidney injury.
Clinical Pharmacology
Pharmacokinetics
The pharmacokinetics of intravenously administered gadopentetate dimeglumine in normal subjects conforms to a two compartment open-model with mean distribution and elimination half-lives (reported as mean ± SD) of about 0.2 ± 0.13 hours and 1.6 ± 0.13 hours, respectively.
Upon injection, the meglumine salt is completely dissociated from the gadopentetate dimeglumine complex. Gadopentetate is exclusively eliminated in the urine with 83 ± 14% (mean ± SD) of the dose excreted within 6 hours and 91 ± 13% (mean ± SD) by 24 hours, post-injection. There was no detectable biotransformation or decomposition of gadopentetate dimeglumine.
The renal and plasma clearance rates (1.76 ± 0.39 mL/min/kg and 1.94 ± 0.28 mL/min/kg, respectively) of gadopentetate are essentially identical, indicating no alteration in elimination kinetics on passage through the kidneys and that the drug is essentially cleared through the kidney. The volume of distribution (266 ± 43 mL/kg) is equal to that of extracellular water and clearance is similar to that of substances which are subject to glomerular filtration.
In vitro laboratory results indicate that gadopentetate does not bind to human plasma protein. In vivo protein binding studies have not been done.
Renal Impairment
Gadopentetate dimeglumine is excreted via the kidneys, even in patients with impaired renal function. In patients with impaired renal function, the serum half-life of gadopentetate dimeglumine is prolonged. Mean serum elimination half-lives of a single intravenous dose of gadopentetate dimeglumine (0.1 mmol/kg) were 2.6 ± 1.2 h, 4.2 ± 2.0 h and 10.8 ± 6.9 h, for mildly (creatinine clearance, CLCR = 60 to < 90 mL/min), moderately (CLCR = 30 to < 60 mL/min) and severely (CLCR = < 30 mL/min) impaired patients, respectively, as compared with 1.6 ± 0.1 h in healthy subjects.
Pharmacodynamics
Gadopentetate dimeglumine is a paramagnetic agent and, as such, it develops a magnetic moment when placed in a magnetic field. The relatively large magnetic moment produced by the paramagnetic agent results in a relatively large local magnetic field, which can enhance the relaxation rates of water protons in the vicinity of the paramagnetic agent.
In magnetic resonance imaging (MRI), visualization of normal and pathological brain tissue depends in part on variations in the radiofrequency signal intensity that occur with 1) changes in proton density; 2) alteration of the spin-lattice or longitudinal relaxation time (T1); and 3) variation of the spin-spin or transverse relaxation time (T2). When placed in a magnetic field, gadopentetate dimeglumine decreases the T1 and T2 relaxation time in tissues where it accumulates. At usual doses the effect is primarily on the T1 relaxation time.
Gadopentetate dimeglumine does not cross the intact blood-brain barrier and, therefore, does not accumulate in normal brain or in lesions that do not have an abnormal blood-brain barrier, e.g., cysts, mature post-operative scars, etc. However, disruption of the blood-brain barrier or abnormal vascularity allows accumulation of gadopentetate dimeglumine in lesions such as neoplasms, abscesses, and subacute infarcts. The pharmacokinetic parameters of MAGNEVIST in various lesions are not known.
Clinical Trials
MAGNEVIST Injection was administered to 1272 patients in open label controlled clinical studies. The mean age of these patients was 46.4 years (range 2 to 93 years). Of these patients, 55% (700) were male and 45% (572) were female. Of the 1271 patients who received MAGNEVIST Injection and for whom race was reported, 82.1% (1043) were Caucasian, 9.7% (123) were Black, 5.3% (67) were Hispanic, 2.1% (27) were Oriental/Asian, and 0.9% (11) were other. Of the 1272 patients, 550 patients were evaluated in blinded reader studies. These evaluated the use of contrast enhancement in magnetic resonance imaging of lesions in the head and neck, brain, spine and associated tissues, and body (excluding the heart). Of the 550 patients, all patients had a reason for an MRI and efficacy assessments were based on pre-and post- MAGNEVIST injection film quality, film contrast, lesion configuration (border, size, and location), and the number of lesions. The protocols did not include systematic verification of specific diseases or histopathologic confirmation of findings.
Of the above 550 patients, 97 patients received 0.1 mmol/kg MAGNEVIST Injection IV in two clinical trials of MAGNEVIST MRI contrast enhancement for body imaging. Of these 97, 68 had MRIs of the internal organs/structures of the abdomen or thorax (excluding the heart); 8 had breast images and 22 had images of appendages. The results of MRIs before and after MAGNEVIST use were compared blindly. Overall additional lesions were identified in 22/97 (23%) of the patients after MAGNEVIST Injection. The mean number of lesions identified before (1.49/patient) and after MAGNEVIST (1.75/patient) were similar. Seven (8%) of the patients had lesions seen before MAGNEVIST that were not seen after MAGNEVIST. Overall, after MAGNEVIST Injection, 41% of the images had a higher contrast score than before injection; and 18% of the images had a higher contrast score before MAGNEVIST Injection than after MAGNEVIST Injection. MAGNEVIST MRI of the 8 patients with breast images were not systematically compared to the results to mammography, breast biopsy or other modalities. In the 22 patients with appendage images (e.g., muscle, bone and intraarticular structures), MAGNEVIST MRI was not systematically evaluated to determine the effects of contrast biodistribution in these different areas.
Of the above 550 patients, 66 patients received MAGNEVIST 0.1 mmol/kg IV in clinical trials of MAGNEVIST MRl contrast enhancement of lesions in the head and neck. A total of 66 MRI images were evaluated blindly by comparing each pair of MRI images, before and after MAGNEVIST Injection. In these paired images, 56/66 (85%) had greater enhancement after MAGNEVIST and 40/66 (61%) had better lesion configuration or border delineation after MAGNEVIST. Overall, there was better contrast after MAGNEVIST in 55% of the images, comparable enhancement in 44 (36%) before and after MAGNEVIST, and better enhancement in 9% without MAGNEVIST.
In the studies of the brain and spinal cord, MAGNEVIST 0.1 mmol/kg IV provided contrast enhancement in lesions with an abnormal blood brain barrier.
In two studies, a total of 108 patients were evaluated to compare the dose response effects of 0.1 mmol/kg and 0.3 mmol/kg of MAGNEVIST in CNS MRI. Both dosing regimens had similar imaging and general safety profiles; however, the 0.3 mmoL/kg dose did not provide additional benefit to the final diagnosis (defined as number of lesions, location and characterization).
Medication Guide
PATIENT INFORMATION
Patients scheduled to receive MAGNEVIST Injection should be instructed to inform their physician if they are pregnant, breastfeeding, or have a history of renal insufficiency, asthma or allergic respiratory disorders. Additionally instruct patients to inform their physician if they:
- Have a history of kidney and/or liver disease, or
- Have recently received a GBCA.
GBCAs increase the risk of NSF among patients with impaired elimination of drugs. To counsel patients at risk of NSF:
- Describe the clinical manifestation of NSF
- Describe procedures to screen for the detection of renal impairment
Instruct the patients to contact their physician if they develop signs or symptoms of NSF following MAGNEVIST administration, such as burning, itching, swelling, scaling, hardening and tightening of the skin; red or dark patches on the skin; stiffness in joints with trouble moving, bending or straightening the arms, hands, legs or feet; pain in the hip bones or ribs; or muscle weakness.

