Latuda Drug Description: Detailed Datasheet
- Generic Name: lurasidone hcl tablets for oral administration
- Brand Name: Latuda
side effects drug center latuda (lurasidone hcl tablets for oral administration) drug
- Related Drugs
- Health Resources
- Drug Comparison
- Latuda User Reviews
Drug Description
What is Latuda and how is it used?
Latuda (lurasidone hydrochloride) is an atypical antipsychotic used to treat schizophrenia.
What are side effects of Latuda?
Common side effects of Latuda include:
- drowsiness,
- dizziness,
- nausea,
- diarrhea,
- stomach pain,
- loss of appetite,
- shaking,
- muscle stiffness,
- weight gain,
- mask-like facial expression,
- inability to keep still,
- restlessness,
- agitation,
- blurred vision,
- breast swelling or discharge,
- missed menstrual periods,
- decreased sex drive,
- impotence, or
- difficulty having an orgasm.
Tell your doctor right if you experience serious side effects of Latuda including:
- drooling,
- trouble swallowing,
- fainting,
- signs of infection (such as persistent cough, fever)
- fast or uneven or pounding heartbeats;
- agitation, hostility, confusion, thoughts about hurting yourself,
- seizures (convulsions),
- fever, chills, body aches, flu symptoms,
- sores in your mouth and throat,
- high blood sugar (increased thirst, increased urination, hunger, dry mouth, fruity breath odor, drowsiness, dry skin, blurred vision, weight loss),
- very stiff (rigid) muscles, high fever, sweating, confusion, tremors, feeling like you might pass out, or
- twitching or uncontrollable movements of your eyes, lips, tongue, face, arms, or legs.
WARNING
INCREASED MORTALITY IN ELDERLY PATIENTS WITH DEMENTIA-RELATED PSYCHOSIS; and SUICIDAL THOUGHTS AND BEHAVIORS
Increased Mortality in Elderly Patients with Dementia-Related Psychosis
Elderly patients with dementia-related psychosis treated with antipsychotic drugs are at an increased risk of death. LATUDA is not approved for the treatment of patients with dementia-related psychosis [see WARNINGS AND PRECAUTIONS].
Suicidal Thoughts and Behaviors
Antidepressants increased the risk of suicidal thoughts and behavior in pediatric and young adults in short-term studies. Closely monitor all antidepressant-treated patients from clinical worsening, and for emergence of suicidal thoughts and behaviors. LATUDA is not approved for use in pediatric patients with depression [see WARNINGS AND PRECAUTIONS].
DESCRIPTION
LATUDA is an atypical antipsychotic belonging to the chemical class of benzisothiazol derivatives.
Its chemical name is (3aR,4S,7R,7aS)-2-{(1R,2R)-2-[4-(1,2-benzisothiazol-3-yl)piperazin-1ylmethyl] cyclohexylmethyl}hexahydro-4,7-methano-2H-isoindole-1,3-dione hydrochloride. Its molecular formula is C28H36N4O2S·HCl and its molecular weight is 529.14.
The chemical structure is:
![]() |
Lurasidone hydrochloride is a white to off-white powder. It is very slightly soluble in water, practically insoluble or insoluble in 0.1 N HCl, slightly soluble in ethanol, sparingly soluble in methanol, practically insoluble or insoluble in toluene and very slightly soluble in acetone.
LATUDA tablets are intended for oral administration only. Each tablet contains 20 mg, 40 mg, 60 mg, 80 mg, or 120 mg of lurasidone hydrochloride.
Inactive ingredients are mannitol, pregelatinized starch, croscarmellose sodium, hypromellose, magnesium stearate, Opadry® and carnauba wax. Additionally, the 80 mg tablet contains yellow ferric oxide and FD&C Blue No. 2 Aluminum Lake.
Indications
LATUDA is indicated for:
- Treatment of adult and adolescent patients age 13 to 17 years with schizophrenia [see Clinical Studies].
- Monotherapy treatment of adult patients with major depressive episodes associated with bipolar I disorder (bipolar depression) [see Clinical Studies].
- Adjunctive treatment with lithium or valproate in adult patients with major depressive episodes associated with bipolar I disorder (bipolar depression) [see Clinical Studies].
Dosage
DOSAGE AND ADMINISTRATION
Schizophrenia
Adults
The recommended starting dose of LATUDA is 40 mg once daily. Initial dose titration is not required. LATUDA has been shown to be effective in a dose range of 40 mg per day to 160 mg per day [see Clinical Studies]. The maximum recommended dose is 160 mg per day.
Adolescents
The recommended starting dose of LATUDA is 40 mg once daily. Initial dose titration is not required. LATUDA has been shown to be effective in a dose range of 40 mg per day to 80 mg per day [see Clinical Studies]. The maximum recommended dose is 80 mg per day.
Depressive Episodes Associated With Bipolar I Disorder
The recommended starting dose of LATUDA in adults is 20 mg given once daily as monotherapy or as adjunctive therapy with lithium or valproate. Initial dose titration is not required. LATUDA has been shown to be effective in a dose range of 20 mg per day to 120 mg per day as monotherapy or as adjunctive therapy with lithium or valproate [see Clinical Studies]. The maximum recommended dose, as monotherapy or as adjunctive therapy with lithium or valproate, is 120 mg per day. In the monotherapy study, the higher dose range (80 mg to 120 mg per day) did not provide additional efficacy, on average, compared to the lower dose range (20 to 60 mg per day) [see Clinical Studies].
The efficacy of LATUDA in the treatment of mania associated with bipolar disorder has not been established.
Administration Information
LATUDA should be taken with food (at least 350 calories). Administration with food substantially increases the absorption of LATUDA. Administration with food increases the AUC approximately 2-fold and increases the Cmax approximately 3-fold. In the clinical studies, LATUDA was administered with food [see CLINICAL PHARMACOLOGY].
The effectiveness of LATUDA for longer-term use, that is, for more than 6 weeks, has not been established in controlled studies. Therefore, the physician who elects to use LATUDA for extended periods should periodically re-evaluate the long-term usefulness of the drug for the individual patient [see Schizophrenia].
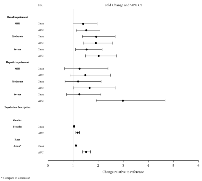
Dose Modifications For Renal Impairment
Dose adjustment is recommended in moderate (creatinine clearance: 30 to <50 mL/min) and severe renal impairment (creatinine clearance <30 mL/min) patients. The recommended starting dose is 20 mg per day. The dose in these patients should not exceed 80 mg per day [see Use In Specific Populations].
Dose Modifications For Hepatic Impairment
Dose adjustment is recommended in moderate (Child-Pugh Score = 7 to 9) and severe hepatic impairment (Child-Pugh Score = 10 to 15) patients. The recommended starting dose is 20 mg per day. The dose in moderate hepatic impairment patients should not exceed 80 mg per day and the dose in severe hepatic impairment patients should not exceed 40 mg/day [see Use In Specific Populations].
Dose Modifications Due To Drug Interactions Of CYP3A4 Inhibitors And CYP3A4 Inducers
Concomitant Use With CYP3A4 Inhibitors
LATUDA should not be used concomitantly with a strong CYP3A4 inhibitor (e.g., ketoconazole, clarithromycin, ritonavir, voriconazole, mibefradil, etc.) [see CONTRAINDICATIONS].
If LATUDA is being prescribed and a moderate CYP3A4 inhibitor (e.g. diltiazem, atazanavir, erythromycin, fluconazole, verapamil etc.) is added to the therapy, the LATUDA dose should be reduced to half of the original dose level. Similarly, if a moderate CYP3A4 inhibitor is being prescribed and LATUDA is added to the therapy, the recommended starting dose of LATUDA is 20 mg per day, and the maximum recommended dose of LATUDA is 80 mg per day [see CONTRAINDICATIONS , DRUG INTERACTIONS].
Grapefruit and grapefruit juice should be avoided in patients taking LATUDA, since these may inhibit CYP3A4 and alter LATUDA concentrations [see DRUG INTERACTIONS].
Concomitant Use With CYP3A4 Inducers
LATUDA should not be used concomitantly with a strong CYP3A4 inducer (e.g., rifampin, avasimibe, St. John’s wort, phenytoin, carbamazepine, etc.) [see CONTRAINDICATIONS; DRUG INTERACTIONS]. If LATUDA is used concomitantly with a moderate CYP3A4 inducer, it may be necessary to increase the LATUDA dose after chronic treatment (7 days or more) with the CYP3A4 inducer.
HOW SUPPLIED
Dosage Forms And Strengths
LATUDA tablets are available in the following shape and color (Table 1) with respective one-sided debossing.
Table 1: LATUDA Tablet Presentations
| Tablet Strength | Tablet Color/Shape | Tablet Markings |
| 20 mg | white to off-white round | L20 |
| 40 mg | white to off-white round | L40 |
| 60 mg | white to off-white oblong | L60 |
| 80 mg | pale green oval | L80 |
| 120 mg | white to off-white oval | L120 |
Storage And Handling
LATUDA tablets are white to off-white, round (20 mg or 40 mg), white to off-white, oblong (60 mg), pale green, oval (80 mg) or white to off-white, oval (120 mg) and identified with strength-specific one-sided debossing, “L20” (20 mg), “L40” (40 mg), “L80” (80 mg) or “L120” (120 mg). Tablets are supplied in the following strengths and package configurations (Table 33).
Table 33: Package Configuration for LATUDA Tablets
| Tablet Strength | Package Configuration | NDC Code |
| 20 mg | Bottles of 30 | 63402-302-30 |
| Bottles of 90 | 63402-302-90 | |
| Bottles of 500 | 63402-302-50 | |
| Box of 100 (Hospital Unit Dose) 10 blister cards, 10 tablets each | 63402-302-10 Carton 63402-302-01 Blister | |
| 40 mg | Bottles of 30 | 63402-304-30 |
| Bottles of 90 | 63402-304-90 | |
| Bottles of 500 | 63402-304-50 | |
| Box of 100 (Hospital Unit Dose) 10 blister cards, 10 tablets each | 63402-304-10 Carton 63402-304-01 Blister | |
| 60 mg | Bottles of 30 | 63402-306-30 |
| Bottles of 90 | 63402-306-90 | |
| Bottles of 500 | 63402-306-50 | |
| Box of 100 (Hospital Unit Dose) 10 blister cards, 10 tablets each | 63402-306-10 Carton 63402-306-01 Blister | |
| 80 mg | Bottles of 30 | 63402-308-30 |
| Bottles of 90 | 63402-308-90 | |
| Bottles of 500 | 63402-308-50 | |
| Box of 100 (Hospital Unit Dose) 10 blister cards, 10 tablets each | 63402-308-10 Carton 63402-308-01 Blister | |
| 120 mg | Bottles of 30 | 63402-312-30 |
| Bottles of 90 | 63402-312-90 | |
| Bottles of 500 | 63402-312-50 | |
| Box of 100 (Hospital Unit Dose) 10 blister cards, 10 tablets each | 63402-312-10 Carton 63402-312-01 Blister |
Storage
Store LATUDA tablets at 25°C (77°F); excursions permitted to 15° -30°C (59° -86°F) [See USP Controlled Room Temperature].
Manufactured for: Sunovion Pharmaceuticals Inc. Marlborough, MA 01752 USA. Revised : Jan 2017
Side Effects
The following adverse reactions are discussed in more detail in other sections of the labeling:
- Increased Mortality in Elderly Patients with Dementia-Related Psychosis [see BOX WARNING and WARNINGS AND PRECAUTIONS]
- Suicidal Thoughts and Behaviors [see BOX WARNING and WARNINGS AND PRECAUTIONS]
- Cerebrovascular Adverse Reactions, Including Stroke, in Elderly Patients with Dementia-related Psychosis [see WARNINGS AND PRECAUTIONS]
- Neuroleptic Malignant Syndrome [see WARNINGS AND PRECAUTIONS]
- Tardive Dyskinesia [see WARNINGS AND PRECAUTIONS]
- Metabolic Changes [see WARNINGS AND PRECAUTIONS]
- Hyperprolactinemia [see WARNINGS AND PRECAUTIONS]
- Leukopenia, Neutropenia, and Agranulocytosis [see WARNINGS AND PRECAUTIONS]
- Orthostatic Hypotension and Syncope [see WARNINGS AND PRECAUTIONS]
- Falls [see WARNINGS AND PRECAUTIONS]
- Seizures [see WARNINGS AND PRECAUTIONS]
- Potential for Cognitive and Motor Impairment [see WARNINGS AND PRECAUTIONS]
- Body Temperature Dysregulation [see WARNINGS AND PRECAUTIONS]
- Activation of Mania/Hypomania [see WARNINGS AND PRECAUTIONS]
- Dysphagia [see WARNINGS AND PRECAUTIONS]
- Neurological Adverse Reactions in Patients with Parkinson’s Disease or Dementia with Lewy Bodies [see WARNINGS AND PRECAUTIONS] .
Clinical Trials Experience
Because clinical trials are conducted under widely varying conditions, adverse reaction rates observed in clinical trials of a drug cannot be directly compared to rates in the clinical trials of another drug and may not reflect the rates observed in clinical practice.
Adults
The information below is derived from an integrated clinical study database for LATUDA consisting of 3799 adult patients exposed to one or more doses of LATUDA for the treatment of schizophrenia, and bipolar depression in placebo-controlled studies. This experience corresponds with a total experience of 1250.9 patient-years. A total of 1106 LATUDA-treated patients had at least 24 weeks and 371 LATUDA-treated patients had at least 52 weeks of exposure.
Adverse events during exposure to study treatment were obtained by general inquiry and voluntarily reported adverse experiences, as well as results from physical examinations, vital signs, ECGs, weights and laboratory investigations. Adverse experiences were recorded by clinical investigators using their own terminology. In order to provide a meaningful estimate of the proportion of individuals experiencing adverse events, events were grouped in standardized categories using MedDRA terminology.
Schizophrenia
The following findings are based on the short-term, placebo-controlled premarketing adult studies for schizophrenia in which LATUDA was administered at daily doses ranging from 20 to 160 mg (n=1508).
Commonly Observed Adverse Reactions:
The most common adverse reactions (incidence ≥ 5% and at least twice the rate of placebo) in patients treated with LATUDA were somnolence, akathisia, extrapyramidal symptoms, and nausea.
Adverse Reactions Associated with Discontinuation of Treatment:
A total of 9.5% (143/1508) LATUDA-treated patients and 9.3% (66/708) of placebo-treated patients discontinued due to adverse reactions. There were no adverse reactions associated with discontinuation in subjects treated with LATUDA that were at least 2% and at least twice the placebo rate.
Adverse Reactions Occurring at an Incidence of 2% or More in LATUDA-Treated Patients:
Adverse reactions associated with the use of LATUDA (incidence of 2% or greater, rounded to the nearest percent and LATUDA incidence greater than placebo) that occurred during acute therapy (up to 6 weeks in patients with schizophrenia) are shown in Table 17.
Table 17: Adverse Reactions in 2% or More of LATUDA-Treated Patients and That Occurred at Greater Incidence than in the Placebo-Treated Patients in Adult Short-term Schizophrenia Studies
| Percentage of Patients Reporting Reaction | |||||||
| LATUDA | |||||||
| Body System or Organ Class | Placebo (N=708) (%) |
20mg/day (N=71) (%) |
40mg/day (N=487) (%) |
80 mg/day (N=538) (%) |
120 mg/day (N=291) (%) |
160 mg/day (N=121) (%) |
AllLATUDA (N=1508) (%) |
| Gastrointestinal Disorders | |||||||
| Nausea | 5 | 11 | 10 | 9 | 13 | 7 | 10 |
| Vomiting | 6 | 7 | 6 | 9 | 9 | 7 | 8 |
| Dyspepsia | 5 | 11 | 6 | 5 | 8 | 6 | 6 |
| Salivary Hypersecretion | <1 | 1 | 1 | 2 | 4 | 2 | 2 |
| Musculoskeletal and Connective Tissue Disorders | |||||||
| Back Pain | 2 | 0 | 4 | 3 | 4 | 0 | 3 |
| Nervous System Disorders | |||||||
| Somnolence* | 7 | 15 | 16 | 15 | 26 | 8 | 17 |
| Akathisia | 3 | 6 | 11 | 12 | 22 | 7 | 13 |
| Extrapyramidal Disorder** | 6 | 6 | 11 | 12 | 22 | 13 | 14 |
| Dizziness | 2 | 6 | 4 | 4 | 5 | 6 | 4 |
| Psychiatric Disorders | |||||||
| Insomnia | 8 | 8 | 10 | 11 | 9 | 7 | 10 |
| Agitation | 4 | 10 | 7 | 3 | 6 | 5 | 5 |
| Anxiety | 4 | 3 | 6 | 4 | 7 | 3 | 5 |
| Restlessness | 1 | 1 | 3 | 1 | 3 | 2 | 2 |
| Note: Figures rounded to the nearest integer * Somnolence includes adverse event terms: hypersomnia, hypersomnolence, sedation, and somnolence ** Extrapyramidal symptoms include adverse event terms: bradykinesia, cogwheel rigidity, drooling, dystonia, extrapyramidal disorder, hypokinesia, muscle rigidity, oculogyric crisis, oromandibular dystonia, parkinsonism, psychomotor retardation, tongue spasm, torticollis, tremor, and trismus |
|||||||
Dose-Related Adverse Reactions in the Schizophrenia Studies
Akathisia and extrapyramidal symptoms were dose-related. The frequency of akathisia increased with dose up to 120 mg/day (5.6% for LATUDA 20 mg, 10.7% for LATUDA 40 mg, 12.3% for LATUDA 80 mg, and 22.0% for LATUDA 120 mg). Akathisia was reported by 7.4% (9/121) of patients receiving 160 mg/day. Akathisia occurred in 3.0% of subjects receiving placebo. The frequency of extrapyramidal symptoms increased with dose up to 120 mg/day (5.6% for LATUDA 20 mg, 11.5% for LATUDA 40 mg, 11.9% for LATUDA 80 mg, and 22.0% for LATUDA 120 mg).
Bipolar Depression (Monotherapy)
The following findings are based on the adult short-term, placebo-controlled premarketing study for bipolar depression in which LATUDA was administered at daily doses ranging from 20 to 120 mg (n=331).
Commonly Observed Adverse Reactions:
The most common adverse reactions (incidence ≥5%, in either dose group, and at least twice the rate of placebo) in patients treated with LATUDA were akathisia, extrapyramidal symptoms, somnolence, nausea, vomiting, diarrhea, and anxiety.
Adverse Reactions Associated with Discontinuation of Treatment:
A total of 6.0% (20/331) LATUDA-treated patients and 5.4% (9/168) of placebo-treated patients discontinued due to adverse reactions. There were no adverse reactions associated with discontinuation in subjects treated with LATUDA that were at least 2% and at least twice the placebo rate.
Adverse Reactions Occurring at an Incidence of 2% or More in LATUDA-Treated Patients:
Adverse reactions associated with the use of LATUDA (incidence of 2% or greater, rounded to the nearest percent and LATUDA incidence greater than placebo) that occurred during acute therapy (up to 6 weeks in patients with bipolar depression) are shown in Table 18.
Table 18: Adverse Reactions in 2% or More of LATUDA-Treated Patients and That Occurred at Greater Incidence than in the Placebo-Treated Patients in the Adult Short-term Monotherapy Bipolar Depression Study
| Body System or Organ Class Dictionary-derived Term |
Percentage of Patients Reporting Reaction | |||
| Placebo (N=168) (%) |
LATUDA 20-60 mg/day (N=164) (%) |
LATUDA 80-120 mg/day (N=167) (%) |
All LATUDA (N=331) (%) |
|
| Gastrointestinal Disorders | ||||
| Nausea | 8 | 10 | 17 | 14 |
| Vomiting | 2 | 2 | 6 | 4 |
| Diarrhea | 2 | 5 | 3 | 4 |
| Dry Mouth | 4 | 6 | 4 | 5 |
| Infections and Infestations | ||||
| Nasopharyngitis | 1 | 4 | 4 | 4 |
| Influenza | 1 | <1 | 2 | 2 |
| Urinary Tract Infection | <1 | 2 | 1 | 2 |
| Musculoskeletal and Connective Tissue Disorders | ||||
| Back Pain | <1 | 3 | <1 | 2 |
| Nervous System Disorders | ||||
| Extrapyramidal Symptoms* | 2 | 5 | 9 | 7 |
| Akathisia | 2 | 8 | 11 | 9 |
| Somnolence** | 7 | 7 | 14 | 11 |
| Psychiatric Disorders | ||||
| Anxiety | 1 | 4 | 5 | 4 |
| Note: Figures rounded to the nearest integer *Extrapyramidal symptoms include adverse event terms: bradykinesia, cogwheel rigidity, drooling, dystonia, extrapyramidal disorder, glabellar reflex abnormal, hypokinesia, muscle rigidity, oculogyric crisis, oromandibular dystonia, parkinsonism, psychomotor retardation, tongue spasm, torticollis, tremor, and trismus ** Somnolence includes adverse event terms: hypersomnia, hypersomnolence, sedation, and somnolence |
||||
Dose-Related Adverse Reactions in the Monotherapy Study:
In the adult short-term, placebo-controlled study (involving lower and higher LATUDA dose ranges) [see Clinical Studies] the adverse reactions that occurred with a greater than 5% incidence in the patients treated with LATUDA in any dose group and greater than placebo in both groups were nausea (10.4%, 17.4%), somnolence (7.3%, 13.8%), akathisia (7.9%, 10.8%), and extrapyramidal symptoms (4.9%, 9.0%) for LATUDA 20 to 60 mg/day and LATUDA 80 to 120 mg/day, respectively.
Bipolar Depression
Adjunctive Therapy With Lithium Or Valproate
The following findings are based on two adult short-term, placebo-controlled premarketing studies for bipolar depression in which LATUDA was administered at daily doses ranging from 20 to 120 mg as adjunctive therapy with lithium or valproate (n=360).
Commonly Observed Adverse Reactions:
The most common adverse reactions (incidence ≥5% and at least twice the rate of placebo) in subjects treated with LATUDA were akathisia and somnolence.
Adverse Reactions Associated with Discontinuation of Treatment:
A total of 5.8% (21/360) LATUDA-treated patients and 4.8% (16/334) of placebo-treated patients discontinued due to adverse reactions. There were no adverse reactions associated with discontinuation in subjects treated with LATUDA that were at least 2% and at least twice the placebo rate.
Adverse Reactions Occurring at an Incidence of 2% or More in LATUDA-Treated Patients:
Adverse reactions associated with the use of LATUDA (incidence of 2% or greater, rounded to the nearest percent and LATUDA incidence greater than placebo) that occurred during acute therapy (up to 6 weeks in patients with bipolar depression) are shown in Table 19.
Table 19: Adverse Reactions in 2% or More of LATUDA-Treated Patients and That Occurred at Greater Incidence than in the Placebo-Treated Patients in the Adult Short-term Adjunctive Therapy Bipolar Depression Studies
| Body System or Organ Class Dictionary-derived Term |
Percentage of Patients Reporting Reaction | |
| Placebo (N=334) (%) |
LATUDA 20 to 120 mg/day (N=360) (%) |
|
| Gastrointestinal Disorders | ||
| Nausea | 10 | 14 |
| Vomiting | 1 | 4 |
| General Disorders | ||
| Fatigue | 1 | 3 |
| Infections and Infestations | ||
| Nasopharyngitis | 2 | 4 |
| Investigations | ||
| Weight Increased | <1 | 3 |
| Metabolism and Nutrition Disorders | ||
| Increased Appetite | 1 | 3 |
| Nervous System Disorders | ||
| Extrapyramidal Symptoms* | 9 | 14 |
| Somnolence** | 5 | 11 |
| Akathisia | 5 | 11 |
| Psychiatric Disorders | ||
| Restlessness | <1 | 4 |
| Note: Figures rounded to the nearest integer *Extrapyramidal symptoms include adverse event terms: bradykinesia, cogwheel rigidity, drooling, dystonia, extrapyramidal disorder, glabellar reflex abnormal, hypokinesia, muscle rigidity, oculogyric crisis, oromandibular dystonia, parkinsonism, psychomotor retardation, tongue spasm, torticollis, tremor, and trismus ** Somnolence includes adverse event terms: hypersomnia, hypersomnolence, sedation, and somnolence |
||
Adolescents
The following findings are based on the short-term, placebo-controlled adolescent study for schizophrenia in which LATUDA was administered at daily doses ranging from 40 (N=110) to 80 mg (N=104).
Commonly Observed Adverse Reactions:
The most common adverse reactions (incidence ≥5% and at least twice the rate of placebo) in adolescent patients (13 to 17 years) treated with LATUDA were somnolence, nausea, akathisia, extrapyramidal symptoms (non-akathisia, 40mg only), vomiting, and rhinorrhea/rhinitis (80mg only).
Adverse Reactions Associated with Discontinuation of Treatment:
The incidence of discontinuation due to adverse reactions between LATUDA-and placebo-treated adolescent patients (13 to 17 years) was 4% and 8%, respectively.
Adverse Reactions Occurring at an Incidence of 2% or More in LATUDA-Treated Patients:
Adverse reactions associated with the use of LATUDA (incidence of 2% or greater, rounded to the nearest percent and LATUDA incidence greater than placebo) that occurred during acute therapy (up to 6-weeks in adolescent patients with schizophrenia) are shown in Table 20.
Table 20: Adverse Reactions in 2% or More of LATUDA-Treated Patients and That Occurred at Greater Incidence than in the Placebo-Treated Patients in the Adolescent Short-term Schizophrenia Study
| Body System or Organ Class Dictionary-derived Term |
Percentage of Patients Reporting Reaction | |||
| Placebo (N=112) |
LATUDA 40 mg/day (N=110) |
LATUDA 80 mg/day (N=104) |
All LATUDA (N=214) |
|
| Gastrointestinal Disorders | ||||
| Nausea | 3 | 13 | 14 | 14 |
| Vomiting | 2 | 8 | 6 | 8 |
| Diarrhea | 1 | 3 | 5 | 4 |
| Dry Mouth | 0 | 2 | 3 | 2 |
| Infections and Infestations | ||||
| Viral Infection** | 6 | 11 | 10 | 10 |
| Rhinitis*** | 2 | <1 | 8 | 4 |
| Oropharyngeal pain | 0 | <1 | 3 | 2 |
| Tachycardia | 0 | 0 | 3 | 1 |
| Nervous System Disorders | ||||
| Somnolence* | 7 | 15 | 13 | 15 |
| Akathisia | 2 | 9 | 9 | 9 |
| Dizziness | 1 | 5 | 5 | 5 |
| Note: Figures rounded to the nearest integer * Somnolence includes adverse event terms: hypersomnia, sedation, and somnolence ** Viral Infection includes adverse event terms: nasopharyngitis, influenza, viral infection, upper respiratory tract infection *** Rhinitis incudes adverse event terms: rhinitis, allergic rhinitis, rhinorrhea, and nasal congestion |
||||
Extrapyramidal Symptoms
Schizophrenia
Adults
In the short-term, placebo-controlled schizophrenia studies, for LATUDA-treated patients, the incidence of reported events related to extrapyramidal symptoms (EPS), excluding akathisia and restlessness, was 13.5% versus 5.8% for placebo-treated patients. The incidence of akathisia for LATUDA-treated patients was 12.9% versus 3.0% for placebo-treated patients. Incidence of EPS by dose is provided in Table 21.
Table 21: Incidence of EPS Compared to Placebo in Adult Schizophrenia Studies
| Adverse Event Term | LATUDA | |||||
| Placebo (N=708) (%) |
20 mg/day (N=71) (%) |
40 mg/day (N=487) (%) |
80 mg/day (N=538) (%) |
120 mg/day (N=291 ) (%) |
160 mg/day (N=121) (%) |
|
| All EPS events | 9 | 10 | 21 | 23 | 39 | 20 |
| All EPS events, excluding Akathisia/ Restlessness | 6 | 6 | 11 | 12 | 22 | 13 |
| Akathisia | 3 | 6 | 11 | 12 | 22 | 7 |
| Dystonia* | <1 | 0 | 4 | 5 | 7 | 2 |
| Parkinsonism** | 5 | 6 | 9 | 8 | 17 | 11 |
| Restlessness | 1 | 1 | 3 | 1 | 3 | 2 |
| Note: Figures rounded to the nearest integer * Dystonia includes adverse event terms: dystonia, oculogyric crisis, oromandibular dystonia, tongue spasm, torticollis, and trismus ** Parkinsonism includes adverse event terms: bradykinesia, cogwheel rigidity, drooling, extrapyramidal disorder, hypokinesia, muscle rigidity, parkinsonism, psychomotor retardation, and tremor |
||||||
Adolescents
In the short-term, placebo-controlled, study of schizophrenia in adolescents, the incidence of EPS, excluding events related to akathisia, for LATUDA-treated patients was higher in the 40 mg (10%) and the 80 mg (7.7%) treatment groups vs. placebo (3.6%); and the incidence of akathisia-related events for LATUDA-treated patients was 8.9% vs. 1.8% for placebo-treated patients. Incidence of EPS by dose is provided in Table 22.
Table 22: Incidence of EPS Compared to Placebo in the Adolescent Schizophrenia Study
| Adverse Event Term | LATUDA | ||
| Placebo (N=112) (%) |
40 mg/day (N=110) (%) |
80 mg/day (N=104) (%) |
|
| All EPS events | 5 | 14 | 14 |
| All EPS events, excluding Akathisia/Restlessness | 4 | 7 | 7 |
| Akathisia | 2 | 9 | 9 |
| Parkinsonism** | <1 | 4 | 0 |
| Dyskinesia | <1 | <1 | 1 |
| Dystonia* | 0 | <1 | 1 |
| Note: Figures rounded to the nearest integer * Dystonia includes adverse event terms: dystonia, trismus, oculogyric crisis, oromandibular dystonia, tongue spasm, and torticollis ** Parkinsonism includes adverse event terms: bradykinesia, drooling, extrapyramidal disorder, glabellar reflex abnormal, hypokinesia, parkinsonism, and psychomotor retardation |
|||
Bipolar Depression
Monotherapy
In the adult short-term, placebo-controlled monotherapy bipolar depression study, for LATUDA-treated patients, the incidence of reported events related to EPS, excluding akathisia and restlessness was 6.9% versus 2.4% for placebo-treated patients. The incidence of akathisia for LATUDA-treated patients was 9.4% versus 2.4% for placebo-treated patients. Incidence of EPS by dose groups is provided in Table 23.
Table 23: Incidence of EPS Compared to Placebo in the Adult Monotherapy Bipolar Depression Study
| Adverse Event Term | Placebo (N=168) (%) |
LATUDA | |
| 20 to 60 mg/day (N=164) (%) |
80 to 120 mg/day (N=167) (%) |
||
| All EPS events | 5 | 12 | 20 |
| All EPS events, excluding Akathisia/Restlessness | 2 | 5 | 9 |
| Akathisia | 2 | 8 | 11 |
| Dystonia* | 0 | 0 | 2 |
| Parkinsonism** | 2 | 5 | 8 |
| Restlessness | <1 | 0 | 3 |
| Note: Figures rounded to the nearest integer * Dystonia includes adverse event terms: dystonia, oculogyric crisis, oromandibular dystonia, tongue spasm, torticollis, and trismus ** Parkinsonism includes adverse event terms: bradykinesia, cogwheel rigidity, drooling, extrapyramidal disorder, glabellar reflex abnormal, hypokinesia, muscle rigidity, parkinsonism, psychomotor retardation, and tremor |
|||
Adjunctive Therapy with Lithium or Valproate
In the adult short-term, placebo-controlled adjunctive therapy bipolar depression studies, for LATUDA-treated patients, the incidence of EPS, excluding akathisia and restlessness, was 13.9% versus 8.7% for placebo. The incidence of akathisia for LATUDA-treated patients was 10.8% versus 4.8% for placebo-treated patients. Incidence of EPS is provided in Table 24.
Table 24: Incidence of EPS Compared to Placebo in the Adult Adjunctive Therapy Bipolar Depression Studies
| Adverse Event Term | Placebo (N=334) (%) |
LATUDA 20 to 120 mg/day (N=360) (%) |
| All EPS events | 13 | 24 |
| All EPS events, excluding Akathisia/Restlessness | 9 | 14 |
| Akathisia | 5 | 11 |
| Dystonia* | <1 | 1 |
| Parkinsonism** | 8 | 13 |
| Restlessness | <1 | 4 |
| Note: Figures rounded to the nearest integer * Dystonia includes adverse event terms: dystonia, oculogyric crisis, oromandibular dystonia, tongue spasm, torticollis, and trismus ' ** Parkinsonism includes adverse event terms: bradykinesia, cogwheel rigidity, drooling, extrapyramidal disorder, glabellar reflex abnormal, hypokinesia, muscle rigidity, parkinsonism, psychomotor retardation, and tremor |
||
In the short-term, placebo-controlled schizophrenia and bipolar depression studies, data was objectively collected on the Simpson Angus Rating Scale (SAS) for extrapyramidal symptoms (EPS), the Barnes Akathisia Scale (BAS) for akathisia and the Abnormal Involuntary Movement Scale (AIMS) for dyskinesias.
Schizophrenia
Adults
The mean change from baseline for LATUDA-treated patients for the SAS, BAS and AIMS was comparable to placebo-treated patients, with the exception of the Barnes Akathisia Scale global score (LATUDA, 0.1; placebo, 0.0). The percentage of patients who shifted from normal to abnormal was greater in LATUDA-treated patients versus placebo for the BAS (LATUDA, 14.4%; placebo, 7.1%), the SAS (LATUDA, 5.0%; placebo, 2.3%) and the AIMS (LATUDA, 7.4%; placebo, 5.8%).
Adolescents
The mean change from baseline for LATUDA-treated patients with adolescent schizophrenia for the SAS, BAS and AIMS was comparable to placebo-treated patients. The percentage of patients who shifted from normal to abnormal was greater in LATUDA-treated patients versus placebo for the BAS (LATUDA, 7.0%; placebo, 1.8%), the SAS (LATUDA, 8.3%; placebo, 2.7%) and the AIMS (LATUDA, 2.8%; placebo, 0.9%).
Bipolar Depression
onotherapy
The mean change from baseline for LATUDA-treated adult patients for the SAS, BAS and AIMS was comparable to placebo-treated patients. The percentage of patients who shifted from normal to abnormal was greater in LATUDA-treated patients versus placebo for the BAS (LATUDA, 8.4%; placebo, 5.6%), the SAS (LATUDA, 3.7%; placebo, 1.9%) and the AIMS (LATUDA, 3.4%; placebo, 1.2%).
Adjunctive Therapy with Lithium or Valproate
The mean change from baseline for LATUDA-treated adult patients for the SAS, BAS and AIMS was comparable to placebo-treated patients. The percentage of patients who shifted from normal to abnormal was greater in LATUDA-treated patients versus placebo for the BAS (LATUDA, 8.7%; placebo, 2.1%), the SAS (LATUDA, 2.8%; placebo, 2.1%) and the AIMS (LATUDA, 2.8%; placebo, 0.6%).
Dystonia
Class Effect
Symptoms of dystonia, prolonged abnormal contractions of muscle groups, may occur in susceptible individuals during the first few days of treatment. Dystonic symptoms include: spasm of the neck muscles, sometimes progressing to tightness of the throat, swallowing difficulty, difficulty breathing, and/or protrusion of the tongue. While these symptoms can occur at low doses, they occur more frequently and with greater severity with high potency and at higher doses of first-generation antipsychotic drugs. An elevated risk of acute dystonia is observed in males and younger age groups.
Schizophrenia
Adults
In the short-term, placebo-controlled schizophrenia clinical studies, dystonia occurred in 4.2% of LATUDA-treated subjects (0.0% LATUDA 20 mg, 3.5% LATUDA 40 mg, 4.5% LATUDA 80 mg, 6.5% LATUDA 120 mg and 2.5% LATUDA 160 mg) compared to 0.8% of subjects receiving placebo. Seven subjects (0.5%, 7/1508) discontinued clinical trials due to dystonic events – four were receiving LATUDA 80 mg/day and three were receiving LATUDA 120 mg/day.
Adolescents
In the short-term, placebo-controlled, adolescent schizophrenia study, dystonia occurred in 1% of LATUDA-treated patients (1% LATUDA 40 mg and 1% LATUDA 80 mg) compared to 0% of patients receiving placebo. No patients discontinued the clinical study due to dystonic events.
Bipolar Depression
Monotherapy
In the adult short-term, flexible-dose, placebo-controlled monotherapy bipolar depression study, dystonia occurred in 0.9% of LATUDA-treated subjects (0.0% and 1.8% for LATUDA 20 to 60 mg/day and LATUDA 80 to 120 mg/day, respectively) compared to 0.0% of subjects receiving placebo. No subject discontinued the clinical study due to dystonic events.
Adjunctive Therapy with Lithium or Valproate
In the adult short-term, flexible-dose, placebo-controlled adjunctive therapy bipolar depression studies, dystonia occurred in 1.1% of LATUDA-treated subjects (20 to 120 mg) compared to 0.6% of subjects receiving placebo. No subject discontinued the clinical study due to dystonic events.
Other Adverse Reactions Observed During The Premarketing Evaluation Of LATUDA
Following is a list of adverse reactions reported by adult patients treated with LATUDA at multiple doses of ≥ 20 mg once daily within the premarketing database of 2905 patients with schizophrenia. The reactions listed are those that could be of clinical importance, as well as reactions that are plausibly drug-related on pharmacologic or other grounds. Reactions listed in Table 16 or those that appear elsewhere in the LATUDA label are not included. Although the reactions reported occurred during treatment with LATUDA, they were not necessarily caused by it.
Reactions are further categorized by organ class and listed in order of decreasing frequency according to the following definitions: those occurring in at least 1/100 patients (frequent) (only those not already listed in the tabulated results from placebo-controlled studies appear in this listing); those occurring in 1/100 to 1/1000 patients (infrequent); and those occurring in fewer than 1/1000 patients (rare).
Blood and Lymphatic System Disorders: Infrequent: anemia
Cardiac Disorders: Frequent: tachycardia; Infrequent: AV block 1st degree, angina pectoris, bradycardia
Ear and Labyrinth Disorders: Infrequent: vertigo
Eye Disorders: Frequent: blurred vision
Gastrointestinal Disorders: Frequent: abdominal pain, diarrhea; Infrequent: gastritis
General Disorders and Administrative Site Conditions: Rare: sudden death
Investigations: Frequent: CPK increased
Metabolism and Nutritional System Disorders: Frequent: decreased appetite
Musculoskeletal and Connective Tissue Disorders: Rare: rhabdomyolysis
Nervous System Disorders: Infrequent: cerebrovascular accident, dysarthria
Psychiatric Disorders: Infrequent: abnormal dreams, panic attack, sleep disorder
Renal and Urinary Disorders: Infrequent: dysuria; Rare: renal failure
Reproductive System and Breast Disorders: Infrequent: amenorrhea, dysmenorrhea; Rare: breast enlargement, breast pain, galactorrhea, erectile dysfunction
Skin and Subcutaneous Tissue Disorders: Frequent: rash, pruritus; Rare: angioedema
Vascular Disorders: Frequent: hypertension
Clinical Laboratory Changes
Schizophrenia
Adults
Serum Creatinine: In short-term, placebo-controlled trials, the mean change from Baseline in serum creatinine was +0.05 mg/dL for LATUDA-treated patients compared to +0.02 mg/dL for placebo-treated patients. A creatinine shift from normal to high occurred in 3.0% (43/1453) of LATUDA-treated patients and 1.6% (11/681) on placebo. The threshold for high creatinine value varied from > 0.79 to > 1.3 mg/dL based on the centralized laboratory definition for each study (Table 25).
Table 25: Serum Creatinine Shifts from Normal at Baseline to High at Study End-Point in Adult Schizophrenia Studies
| Laboratory Parameter | Placebo (N=708) |
LATUDA 20 mg/day (N=71) |
LATUDA 40 mg/day (N=487) |
LATUDA 80 mg/day (N=538) |
LATUDA 120 mg/day (N=291) |
LATUDA 160 mg/day (N=121) |
| Serum Creatinine Elevated | 2% | 1% | 2% | 2% | 5% | 7% |
Adolescents
Serum Creatinine: In the short-term, placebo-controlled, adolescent schizophrenia study, the mean change from Baseline in serum creatinine was −0.009 mg/dL for LATUDA-treated patients compared to +0.017 mg/dL for placebo-treated patients. A creatinine shift from normal to high (based on the centralized laboratory definition) occurred in 7.2% (14/194) of LATUDA-treated patients and 2.9% (3/103) on placebo (Table 26).
Table 26: Serum Creatinine Shifts from Normal at Baseline to High at Study End-Point in the Adolescent Schizophrenia Study
| Laboratory Parameter | Placebo (N=103) |
LATUDA 40 mg/day (N=97) |
LATUDA 80 mg/day (N=97) |
| Serum Creatinine Elevated | 2.9% | 7.2% | 7.2% |
Bipolar Depression
Monotherapy
Serum Creatinine: In the adult short-term, flexible-dose, placebo-controlled monotherapy bipolar depression study, the mean change from Baseline in serum creatinine was +0.01 mg/dL for LATUDA-treated patients compared to -0.02 mg/dL for placebo-treated patients. A creatinine shift from normal to high occurred in 2.8% (9/322) of LATUDA-treated patients and 0.6% (1/162) on placebo (Table 27).
Table 27: Serum Creatinine Shifts from Normal at Baseline to High at Study End-Point in the Adult Monotherapy Bipolar Depression Study
| Laboratory Parameter | Placebo (N=168) |
LATUDA 20 to 60 mg/day (N=164) |
LATUDA 80 to 120 mg/day (N=167) |
| Serum Creatinine Elevated | <1% | 2% | 4% |
Adjunctive Therapy with Lithium or Valproate
Serum Creatinine: In adult short-term, placebo-controlled premarketing adjunctive studies for bipolar depression, the mean change from Baseline in serum creatinine was +0.04 mg/dL for LATUDA-treated patients compared to -0.01 mg/dL for placebo-treated patients. A creatinine shift from normal to high occurred in 4.3% (15/360) of LATUDA-treated patients and 1.6% (5/334) on placebo (Table 28).
Table 28: Serum Creatinine Shifts from Normal at Baseline to High at Study End-Point in the Adult Adjunctive Therapy Bipolar Depression Studies
| Laboratory Parameter | Placebo (N=334) |
LATUDA 20 to 120 mg/day (N=360) |
| Serum Creatinine Elevated | 2% | 4% |
Postmarketing Experience
The following adverse reactions have been identified during postapproval use of Latuda. Because these reactions are reported voluntarily from a population of uncertain size, it is not always possible to reliably estimate their frequency or establish a causal relationship to drug exposure.
Hypersensitivity Reactions: Urticaria, throat swelling, tongue swelling, and dyspnea.
Drug Interactions
Drugs Having Clinically Important Interactions With LATUDA
Table 29: Clinically Important Drug Interactions with Latuda
| Strong CYP3A4 Inhibitors | |
| Clinical Impact: | Concomitant use of LATUDA with strong CYP3A4 inhibitors increased the exposure of lurasidone compared to the use of LATUDA alone [see CLINICAL PHARMACOLOGY]. |
| Intervention: | LATUDA should not be used concomitantly with strong CYP3A4 inhibitors [see CONTRAINDICATIONS]. |
| Examples: | Ketoconazole, clarithromycin, ritonavir, voriconazole, mibefradil |
| Moderate CYP3A4 Inhibitors | |
| Clinical Impact: | Concomitant use of LATUDA with moderate CYP3A4 inhibitors increased the exposure of lurasidone compared to the use of LATUDA alone [see CLINICAL PHARMACOLOGY]. |
| Intervention: | LATUDA dose should be reduced to half of the original level when used concomitantly with moderate inhibitors of CYP3A4 [see DOSAGE AND ADMINISTRATION]. |
| Examples: | Diltiazem, atazanavir, erythromycin, fluconazole, verapamil |
| Strong CYP3A4 Inducers | |
| Clinical Impact: | Concomitant use of LATUDA with strong CYP3A4 inducers decreased the exposure of lurasidone compared to the use of LATUDA alone [see CLINICAL PHARMACOLOGY]. |
| Intervention: | LATUDA should not be used concomitantly with strong CYP3A4 inhibitors [see CONTRAINDICATIONS]. |
| Examples: | Rifampin, avasimibe, St. John’s wort, phenytoin, carbamazepine |
| Moderate CYP3A4 Inducers | |
| Clinical Impact: | Concomitant use of LATUDA with strong CYP3A4 inducers decreased the exposure of lurasidone compared to the use of LATUDA alone [see CLINICAL PHARMACOLOGY]. |
| Intervention: | LATUDA dose should be increased when used concomitantly with moderate inducers of CYP3A4 [see DOSAGE AND ADMINISTRATION] . |
| Examples: | Bosentan, efavirenz, etravirine, modafinil, nafcillin |
Drugs Having No Clinically Important Interactions With LATUDA
Based on pharmacokinetic studies, no dosage adjustment of LATUDA is required when administered concomitantly with lithium, valproate, or substrates of P-gp or CYP3A4 [see CLINICAL PHARMACOLOGY].
Drug Abuse And Dependence
Controlled Substance
LATUDA is not a controlled substance.
Abuse
LATUDA has not been systematically studied in humans for its potential for abuse or physical dependence or its ability to induce tolerance. While clinical studies with LATUDA did not reveal any tendency for drug-seeking behavior, these observations were not systematic and it is not possible to predict the extent to which a CNS-active drug will be misused, diverted and/or abused once it is marketed. Patients should be evaluated carefully for a history of drug abuse, and such patients should be observed carefully for signs of LATUDA misuse or abuse (e.g., development of tolerance, drug-seeking behavior, increases in dose).
Warnings & Precautions
WARNINGS
Included as part of the "PRECAUTIONS" Section
PRECAUTIONS
Increased Mortality In Elderly Patients With Dementia-Related Psychosis
Elderly patients with dementia-related psychosis treated with antipsychotic drugs are at an increased risk of death. Analyses of 17 placebo-controlled trials (modal duration of 10 weeks), largely in patients taking atypical antipsychotic drugs, revealed a risk of death in drug-treated patients of between 1.6-to 1.7-times the risk of death in placebo-treated patients. Over the course of a typical 10-week controlled trial, the rate of death in drug-treated patients was about 4.5%, compared to a rate of about 2.6% in the placebo group. Although the causes of death were varied, most of the deaths appeared to be either cardiovascular (e.g., heart failure, sudden death) or infectious (e.g., pneumonia) in nature. Observational studies suggest that, similar to atypical antipsychotic drugs, treatment with conventional antipsychotic drugs may increase mortality. The extent to which the findings of increased mortality in observational studies may be attributed to the antipsychotic drug as opposed to some characteristic(s) of the patients is not clear. LATUDA is not approved for the treatment of patients with dementia-related psychosis [see BOX WARNING].
Suicidal Thoughts And Behaviors In Pediatric And Young Adult Patients
In pooled analyses of placebo-controlled trials of antidepressant drugs (SSRIs and other antidepressant classes) that included approximately 77,000 adult patients, and over 4,400 pediatric patients, the incidence of suicidal thoughts and behaviors in pediatric and young adult patients was greater in antidepressant-treated patients than in placebo-treated patients. The drug-placebo differences in the number of cases of suicidal thoughts and behaviors per 1000 patients treated are provided in Table 2.
No suicides occurred in any of the pediatric studies. There were suicides in the adult studies, but the number was not sufficient to reach any conclusion about antidepressant drug effect on suicide.
Table 2: Risk Differences of the Number of Cases of Suicidal Thoughts or Behaviors in the
| Age Range | Drug-Placebo Difference in Number of Patients of Suicidal Thoughts or Behaviors per 1000 Patients Treated |
| Increases Compared to Placebo | |
| <18 | 14 additional patients |
| 18-24 | 5 additional patients |
| Decreases Compared to Placebo | |
| 25-64 | 1 fewer patient |
| ≥65 | 6 fewer patients |
LATUDA is not approved for use in pediatric patients with depression.
It is unknown whether the risk of suicidal thoughts and behaviors in pediatric and young adult patients extends to longer-term use, i.e., beyond four months. However, there is substantial evidence from placebo-controlled maintenance studies in adults with MDD that antidepressants delay the recurrence of depression.
Monitor all antidepressant-treated patients for clinical worsening and emergence of suicidal thoughts and behaviors, especially during the initial few months of drug therapy and at times of dosage changes. Counsel family members or caregivers of patients to monitor for changes in behavior and to alert the healthcare provider. Consider changing the therapeutic regimen, including possibly discontinuing LATUDA, in patients whose depression is persistently worse, or who are experiencing emergent suicidal thoughts or behaviors.
Cerebrovascular Adverse Reactions, Including Stroke In Elderly Patients With Dementia-Related Psychosis
In placebo-controlled trials with risperidone, aripiprazole, and olanzapine in elderly subjects with dementia, there was a higher incidence of cerebrovascular adverse reactions (cerebrovascular accidents and transient ischemic attacks), including fatalities, compared to placebo-treated subjects. LATUDA is not approved for the treatment of patients with dementia-related psychosis [see BOX WARNING, Increased Mortality In Elderly Patients With Dementia-Related Psychosis].
Neuroleptic Malignant Syndrome
A potentially fatal symptom complex sometimes referred to as Neuroleptic Malignant Syndrome (NMS) has been reported in association with administration of antipsychotic drugs, including LATUDA.
Clinical manifestations of NMS are hyperpyrexia, muscle rigidity, altered mental status, and evidence of autonomic instability (irregular pulse or blood pressure, tachycardia, diaphoresis, and cardiac dysrhythmia). Additional signs may include elevated creatine phosphokinase, myoglobinuria (rhabdomyolysis), and acute renal failure.
The diagnostic evaluation of patients with this syndrome is complicated. It is important to exclude cases where the clinical presentation includes both serious medical illness (e.g., pneumonia, systemic infection) and untreated or inadequately treated extrapyramidal signs and symptoms (EPS). Other important considerations in the differential diagnosis include central anticholinergic toxicity, heat stroke, drug fever, and primary central nervous system pathology.
The management of NMS should include: 1) immediate discontinuation of antipsychotic drugs and other drugs not essential to concurrent therapy; 2) intensive symptomatic treatment and medical monitoring; and 3) treatment of any concomitant serious medical problems for which specific treatments are available. There is no general agreement about specific pharmacological treatment regimens for NMS.
If a patient requires antipsychotic drug treatment after recovery from NMS, the potential reintroduction of drug therapy should be carefully considered. If reintroduced, the patient should be carefully monitored, since recurrences of NMS have been reported.
Tardive Dyskinesia
Tardive dyskinesia is a syndrome consisting of potentially irreversible, involuntary, dyskinetic movements that can develop in patients treated with antipsychotic drugs. Although the prevalence of the syndrome appears to be highest among the elderly, especially elderly women, it is impossible to rely upon prevalence estimates to predict, at the inception of antipsychotic treatment, which patients are likely to develop the syndrome. Whether antipsychotic drug products differ in their potential to cause tardive dyskinesia is unknown.
The risk of developing tardive dyskinesia and the likelihood that it will become irreversible are believed to increase as the duration of treatment and the total cumulative dose of antipsychotic drugs administered to the patient increase. However, the syndrome can develop, although much less commonly, after relatively brief treatment periods at low doses.
There is no known treatment for established cases of tardive dyskinesia, although the syndrome may remit, partially or completely, if antipsychotic treatment is withdrawn. Antipsychotic treatment, itself, however, may suppress (or partially suppress) the signs and symptoms of the syndrome and thereby may possibly mask the underlying process. The effect that symptomatic suppression has upon the long-term course of the syndrome is unknown.
Given these considerations, LATUDA should be prescribed in a manner that is most likely to minimize the occurrence of tardive dyskinesia. Chronic antipsychotic treatment should generally be reserved for patients who suffer from a chronic illness that (1) is known to respond to antipsychotic drugs, and (2) for whom alternative, equally effective, but potentially less harmful treatments are not available or appropriate. In patients who do require chronic treatment, the smallest dose and the shortest duration of treatment producing a satisfactory clinical response should be sought. The need for continued treatment should be reassessed periodically.
If signs and symptoms of tardive dyskinesia appear in a patient on LATUDA, drug discontinuation should be considered. However, some patients may require treatment with LATUDA despite the presence of the syndrome.
Metabolic Changes
Atypical antipsychotic drugs have been associated with metabolic changes that may increase cardiovascular/cerebrovascular risk. These metabolic changes include hyperglycemia, dyslipidemia, and body weight gain. While all of the drugs in the class have been shown to produce some metabolic changes, each drug has its own specific risk profile.
Hyperglycemia And Diabetes Mellitus
Hyperglycemia, in some cases extreme and associated with ketoacidosis or hyperosmolar coma or death, has been reported in patients treated with atypical antipsychotics. Assessment of the relationship between atypical antipsychotic use and glucose abnormalities is complicated by the possibility of an increased background risk of diabetes mellitus in patients with schizophrenia and the increasing incidence of diabetes mellitus in the general population. Given these confounders, the relationship between atypical antipsychotic use and hyperglycemia-related adverse events is not completely understood. However, epidemiological studies suggest an increased risk of treatment-emergent hyperglycemia-related adverse events in patients treated with the atypical antipsychotics. Because LATUDA was not marketed at the time these studies were performed, it is not known if LATUDA is associated with this increased risk.
Patients with an established diagnosis of diabetes mellitus who are started on atypical antipsychotics should be monitored regularly for worsening of glucose control. Patients with risk factors for diabetes mellitus (e.g., obesity, family history of diabetes) who are starting treatment with atypical antipsychotics should undergo fasting blood glucose testing at the beginning of treatment and periodically during treatment. Any patient treated with atypical antipsychotics should be monitored for symptoms of hyperglycemia including polydipsia, polyuria, polyphagia, and weakness. Patients who develop symptoms of hyperglycemia during treatment with atypical antipsychotics should undergo fasting blood glucose testing. In some cases, hyperglycemia has resolved when the atypical antipsychotic was discontinued; however, some patients required continuation of anti-diabetic treatment despite discontinuation of the suspect drug.
Schizophrenia
Adults
Pooled data from short-term, placebo-controlled schizophrenia studies are presented in Table 3.
Table 3: Change in Fasting Glucose in Adult Schizophrenia Studies
| LATUDA | ||||||
| Placebo | 20 mg/day | 40 mg/day | 80 mg/day | 120 mg/day | 160 mg/day | |
| Mean Change from Baseline (mg/dL) | ||||||
| n=680 | n=71 | n=478 | n=508 | n=283 | n=113 | |
| Serum Glucose | -0.0 | -0.6 | +2.6 | -0.4 | +2.5 | +2.5 |
| Proportion of Patients with Shifts to ≥ 126 mg/dL | ||||||
| Serum Glucose (≥ 126 mg/dL) |
8.3% (52/628) |
11.7% (7/60) |
12.7% ( 57/449) |
6.8% (32/472) |
10.0% (26/260) |
5.6% (6/108) |
In the uncontrolled, longer-term schizophrenia studies (primarily open-label extension studies), LATUDA was associated with a mean change in glucose of +1.8 mg/dL at week 24 (n=355), +0.8 mg/dL at week 36 (n=299) and +2.3 mg/dL at week 52 (n=307).
Adolescents
In studies of adolescents and adults with schizophrenia, changes in fasting glucose were similar. In the short-term, placebo-controlled study of adolescents, fasting serum glucose mean values were -1.3 for placebo (n=95), +0.1 for 40mg (n=90), and +1.8 for 80mg (n=92).
Bipolar Depression
Monotherapy
Data from the adult short-term, flexible-dose, placebo-controlled monotherapy bipolar depression study are presented in Table 4.
Table 4: Change in Fasting Glucose in the Adult Monotherapy Bipolar Depression Study
| LATUDA | |||
| Placebo | 20 to 60 mg/day | 80 to 120 mg/day | |
| Mean Change from Baseline (mg/dL) | |||
| n=148 | n=140 | n=143 | |
| Serum Glucose | +1.8 | -0.8 | +1.8 |
| Proportion of Patients with Shifts to ≥ 126 mg/dL | |||
| Serum Glucose (≥ 126 mg/dL) |
4.3% (6/141) |
2.2% (3/138) |
6.4% (9/141) |
| Patients were randomized to flexibly dosed LATUDA 20 to 60 mg/day, LATUDA 80 to 120 mg/day, or placebo | |||
In the uncontrolled, open-label, longer-term bipolar depression study, patients who received LATUDA as monotherapy in the short-term study and continued in the longer-term study, had a mean change in glucose of +1.2 mg/dL at week 24 (n=129).
Adjunctive Therapy with Lithium or Valproate
Data from the adult short-term, flexible-dosed, placebo-controlled adjunctive therapy bipolar depression studies are presented in Table 5.
Table 5: Change in Fasting Glucose in the Adult Adjunctive Therapy Bipolar Depression Studies
| Placebo | LATUDA 20 to 120 mg/day |
|
| Mean Change from Baseline (mg/dL) | ||
| n=302 | n=319 | |
| Serum Glucose | -0.9 | +1.2 |
| Proportion of Patients with Shifts to ≥ 126 mg/dL | ||
| Serum Glucose (≥ 126 mg/dL) |
1.0% (3/290) |
1.3% (4/316) |
| Patients were randomized to flexibly dosed LATUDA 20 to 120 mg/day or placebo as adjunctive therapy with lithium or valproate. | ||
In the uncontrolled, open-label, longer-term bipolar depression study, patients who received LATUDA as adjunctive therapy with either lithium or valproate in the short-term study and continued in the longer-term study, had a mean change in glucose of +1.7 mg/dL at week 24 (n=88).
Dyslipidemia
Undesirable alterations in lipids have been observed in patients treated with atypical antipsychotics.
Schizophrenia
Adults
Pooled data from short-term, placebo-controlled schizophrenia studies are presented in Table 6.
Table 6: Change in Fasting Lipids in Adult Schizophrenia Studies
| LATUDA | ||||||
| Placebo | 20 mg/day | 40 mg/day | 80 mg/day | 120 mg/day | 160 mg/day | |
| Mean Change from Baseline (mg/dL) | ||||||
| n=660 | n=71 | n=466 | n=499 | n=268 | n=115 | |
| Total Cholesterol | -5.8 | -12.3 | -5.7 | -6.2 | -3.8 | -6.9 |
| Triglycerides | -13.4 | -29.1 | -5.1 | -13.0 | -3.1 | -10.6 |
| Proportion of Patients with Shifts | ||||||
| Total Cholesterol (≥ 240 mg/dL) |
5.3% (30/571) |
13.8% (8/58) |
6.2% (25/402) |
5.3% (23/434) |
3.8% (9/238) |
4.0% (4/101) |
| Triglycerides (≥ 200 mg/dL) |
10.1% (53/526) |
14.3% (7/49) |
10.8% (41/379) |
6.3% (25/400) |
10.5% (22/209) |
7.0% (7/100) |
In the uncontrolled, longer-term schizophrenia studies (primarily open-label extension studies), LATUDA was associated with a mean change in total cholesterol and triglycerides of -3.8 (n=356) and -15.1 (n=357) mg/dL at week 24, -3.1 (n=303) and -4.8 (n=303) mg/dL at week 36 and -2.5 (n=307) and -6.9 (n=307) mg/dL at week 52, respectively.
Adolescents
In the adolescent short-term, placebo-controlled study, fasting serum cholesterol mean values were -9.6 for placebo (n=95), -4.4 for 40mg (n=89), and +1.6 for 80mg (n=92), and fasting serum triglyceride mean values were +0.1 for placebo (n=95), -0.6 for 40mg (n=89), and +8.5 for 80mg (n=92).
Bipolar Depression
Monotherapy
Data from the adult short-term, flexible-dosed, placebo-controlled, monotherapy bipolar depression study are presented in Table 7.
Table 7: Change in Fasting Lipids in the Adult Monotherapy Bipolar Depression Study
| LATUDA | |||
| Placebo | 20 to 60 mg/day | 80 to 120 mg/day | |
| Mean Change from Baseline (mg/dL) | |||
| n=147 | n=140 | n=144 | |
| Total cholesterol | -3.2 | +1.2 | -4.6 |
| Triglycerides | +6.0 | +5.6 | +0.4 |
| Proportion of Patients with Shifts | |||
| Total cholesterol (≥ 240 mg/dL) |
4.2% (5/118) |
4.4% (5/113) |
4.4% (5/114) |
| Triglycerides (≥ 200 mg/dL) |
4.8% (6/126) |
10.1% (12/119) |
9.8% (12/122) |
| Patients were randomized to flexibly dosed LATUDA 20 to 60 mg/day, LATUDA 80 to 120 mg/day, or placebo | |||
In the uncontrolled, open-label, longer-term bipolar depression study, patients who received LATUDA as monotherapy in the short-term and continued in the longer-term study had a mean change in total cholesterol and triglycerides of -0.5 (n=130) and -1.0 (n=130) mg/dL at week 24, respectively.
Adjunctive Therapy with Lithium or Valproate
Data from the adult short-term, flexible-dosed, placebo-controlled, adjunctive therapy bipolar depression studies are presented in Table 8.
Table 8: Change in Fasting Lipids in the Adult Adjunctive Therapy Bipolar Depression Studies
| Placebo | LATUDA 20 to 120 mg/day |
|
| Mean Change from Baseline (mg/dL) | ||
| n=303 | n=321 | |
| Total cholesterol | -2.9 | -3.1 |
| Triglycerides | -4.6 | +4.6 |
| Proportion of Patients with Shifts | ||
| Total cholesterol (≥ 240 mg/dL) |
5.7% (15/263) |
5.4% (15/276) |
| Triglycerides (≥ 200 mg/dL) |
8.6% (21/243) |
10.8% (28/260) |
| Patients were randomized to flexibly dosed LATUDA 20 to 120 mg/day or placebo as adjunctive therapy with lithium or valproate. | ||
In the uncontrolled, open-label, longer-term bipolar depression study, patients who received LATUDA, as adjunctive therapy with either lithium or valproate in the short-term study and continued in the longer-term study, had a mean change in total cholesterol and triglycerides of -0.9 (n=88) and +5.3 (n=88) mg/dL at week 24, respectively.
Weight Gain
Weight gain has been observed with atypical antipsychotic use. Clinical monitoring of weight is recommended.
Schizophrenia
Adults
Pooled data from short-term, placebo-controlled schizophrenia studies are presented in Table 9. The mean weight gain was +0.43 kg for LATUDA-treated patients compared to -0.02 kg for placebo-treated patients. Change in weight from baseline for olanzapine was +4.15 kg and for quetiapine extended-release was +2.09 kg in Studies 3 and 5 [see Clinical Studies], respectively. The proportion of patients with a ≥7% increase in body weight (at Endpoint) was 4.8% for LATUDA-treated patients versus 3.3% for placebo-treated patients.
Table 9: Mean Change in Weight (kg) from Baseline in Adult Schizophrenia Studies
| LATUDA | ||||||
| Placebo (n=696) |
20 mg/day (n=71) |
40 mg/day (n=484) |
80 mg/day (n=526) |
120 mg/day (n=291) |
160 mg/day (n=114) |
|
| All Patients | -0.02 | -0.15 | +0.22 | +0.54 | +0.68 | +0.60 |
In the uncontrolled, longer-term schizophrenia studies (primarily open-label extension studies), LATUDA was associated with a mean change in weight of -0.69 kg at week 24 (n=755), -0.59 kg at week 36 (n=443) and -0.73 kg at week 52 (n=377).
Adolescents
Data from the short-term, placebo-controlled adolescent schizophrenia study are presented in Table 10. The mean weight gain was +0.5 kg for LATUDA-treated patients compared to +0.2 kg for placebo-treated patients. The proportion of patients with a ≥7% increase in body weight (at Endpoint) was 3.3% for LATUDA-treated patients versus 4.5% for placebo-treated patients.
Table 10: Mean Change in Weight (kg) from Baseline in the Adolescent Schizophrenia Study
| LATUDA | |||
| Placebo (n=111) |
40 mg/day (n=109) |
80 mg/day (n=104) |
|
| All Patients | +0.2 | +0.3 | +0.7 |
Bipolar Depression
Monotherapy
Data from the adult short-term, flexible-dosed, placebo-controlled monotherapy bipolar depression study are presented in Table 11. The mean weight gain was +0.29 kg for LATUDA-treated patients compared to -0.04 kg for placebo-treated patients. The proportion of patients with a ≥7% increase in body weight (at Endpoint) was 2.4% for LATUDA-treated patients versus 0.7% for placebo-treated patients.
Table 11: Mean Change in Weight (kg) from Baseline in the Adult Monotherapy Bipolar Depression StudyM
| LATUDA | |||
| Placebo (n=151) |
20 to 60 mg/day (n=143) |
80 to 120 mg/day (n=147) |
|
| All Patients | -0.04 | +0.56 | +0.02 |
| Patients were randomized to flexibly dosed LATUDA 20 to 60 mg/day, LATUDA 80 to 120 mg/day, or placebo | |||
In the uncontrolled, open-label, longer-term bipolar depression study, patients who received LATUDA as monotherapy in the short-term and continued in the longer-term study had a mean change in weight of -0.02 kg at week 24 (n=130).
Adjunctive Therapy with Lithium or Valproate
Data from the adult short-term, flexible-dosed, placebo-controlled adjunctive therapy bipolar depression studies are presented in Table 12. The mean weight gain was +0.11 kg for LATUDA-treated patients compared to +0.16 kg for placebo-treated patients. The proportion of patients with a ≥7% increase in body weight (at Endpoint) was 3.1% for LATUDA-treated patients versus 0.3% for placebo-treated patients.
Table 12: Mean Change in Weight (kg) from Baseline in the Adult Adjunctive Therapy Bipolar Depression Studies
| Placebo (n=307) |
LATUDA 20 to 120 mg/day (n=327) |
|
| All Patients | +0.16 | +0.11 |
| Patients were randomized to flexibly dosed LATUDA 20 to 120 mg/day or placebo as adjunctive therapy with lithium or valproate. | ||
Patients were randomized to flexibly dosed LATUDA 20 to 120 mg/day or placebo as adjunctive therapy with lithium or valproate.
In the uncontrolled, open-label, longer-term bipolar depression study, patients who were treated with LATUDA, as adjunctive therapy with either lithium or valproate in the short-term and continued in the longer-term study, had a mean change in weight of +1.28 kg at week 24 (n=86).
Hyperprolactinemia
As with other drugs that antagonize dopamine D2 receptors, LATUDA elevates prolactin levels.
Hyperprolactinemia may suppress hypothalamic GnRH, resulting in reduced pituitary gonadotrophin secretion. This, in turn, may inhibit reproductive function by impairing gonadal steroidogenesis in both female and male patients. Galactorrhea, amenorrhea, gynecomastia, and impotence have been reported with prolactin-elevating compounds. Long-standing hyperprolactinemia, when associated with hypogonadism, may lead to decreased bone density in both female and male patients [see ADVERSE REACTIONS].
Tissue culture experiments indicate that approximately one-third of human breast cancers are prolactin-dependent in vitro, a factor of potential importance if the prescription of these drugs is considered in a patient with previously detected breast cancer. As is common with compounds which increase prolactin release, an increase in mammary gland neoplasia was observed in a carcinogenicity study conducted with lurasidone in rats and mice [see Nonclinical Toxicology]. Neither clinical studies nor epidemiologic studies conducted to date have shown an association between chronic administration of this class of drugs and tumorigenesis in humans, but the available evidence is too limited to be conclusive.
Schizophrenia
Adults
In short-term, placebo-controlled schizophrenia studies, the median change from baseline to endpoint in prolactin levels for LATUDA-treated patients was +0.4 ng/mL and was -1.9 ng/mL in the placebo-treated patients. The median change from baseline to endpoint for males was +0.5 ng/mL and for females was -0.2 ng/mL. Median changes for prolactin by dose are shown in Table 13.
Table 13: Median Change in Prolactin (ng/mL) from Baseline in Adult Schizophrenia Studies
| LATUDA | ||||||
| Placebo | 20 mg/day | 40 mg/day | 80 mg/day | 120 mg/day | 160 mg/day | |
| All Patients | -1.9 (n=672) |
-1.1 (n=70) |
-1.4 (n=476) |
-0.2 (n=495) |
+3.3 (n=284) |
+3.3 (n=115) |
| Females | -5.1 (n=200) |
-0.7 (n=19) |
-4.0 (n=149) |
-0.2 (n=150) |
+6.7 (n=70) |
+7.1 (n=36) |
| Males | -1.3 (n=472) |
-1.2 (n=51) |
-0.7 (n=327) |
-0.2 (n=345) |
+3.1 (n=214) |
+2.4 (n=79) |
The proportion of patients with prolactin elevations ≥5× upper limit of normal (ULN) was 2.8% for LATUDA-treated patients versus 1.0% for placebo-treated patients. The proportion of female patients with prolactin elevations ≥5x ULN was 5.7% for LATUDA-treated patients versus 2.0% for placebo-treated female patients. The proportion of male patients with prolactin elevations ≥5x ULN was 1.6% versus 0.6% for placebo-treated male patients.
In the uncontrolled longer-term schizophrenia studies (primarily open-label extension studies), LATUDA was associated with a median change in prolactin of -0.9 ng/mL at week 24 (n=357), -5.3ng/mL at week 36 (n=190) and -2.2 ng/mL at week 52 (n=307).
Adolescents
In the short-term, placebo-controlled adolescent schizophrenia study, the median change from baseline to endpoint in prolactin levels for LATUDA-treated patients was +1.1 ng/mL and was +0.1 ng/mL for placebo-treated patients. For LATUDA-treated patients, the median change from baseline to endpoint for males was +1.0 ng/mL and for females was +2.6 ng/mL. Median changes for prolactin by dose are shown in Table 14.
Table 14: Median Change in Prolactin (ng/mL) from Baseline in the Adolescent Schizophrenia Study
| Placebo | LATUDA 40 mg/day |
LATUDA 80 mg/day |
|
| All Patients | +0.10 (n=103) |
+0.75 (n=102) |
+1.20 (n=99) |
| Females | +0.70 (n=39) |
+0.60 (n=42) |
+4.40 (n=33) |
| Males | 0.00 (n=64) |
+0.75 (n=60) |
+1.00 (n=66) |
The proportion of patients with prolactin elevations ≥5x ULN was 0.5% for LATUDA-treated patients versus 1.0% for placebo-treated patients. The proportion of female patients with prolactin elevations 5x ULN was 1.3% for LATUDA-treated patients versus 0% for placebo-treated female patients. The proportion of male patients with prolactin elevations 5x ULN was 0% versus 1.6% for placebo-treated male patients.
Bipolar Depression
Monotherapy
The median change from baseline to endpoint in prolactin levels, in the adult short-term, flexible-dosed, placebo-controlled monotherapy bipolar depression study, was +1.7 ng/mL and +3.5 ng/mL with LATUDA 20 to 60 mg/day and 80 to 120 mg/day, respectively compared to +0.3 ng/mL with placebo-treated patients. The median change from baseline to endpoint for males was +1.5 ng/mL and for females was +3.1 ng/mL. Median changes for prolactin by dose range are shown in Table 15.
Table 15: Median Change in Prolactin (ng/mL) from Baseline in the Adult Monotherapy Bipolar Depression Study
| LATUDA | |||
| Placebo | 20 to 60 mg/day | 80 to 120 mg/day | |
| All Patients | +0.3 (n=147) |
+1.7 (n=140) |
+3.5 (n=144) |
| Females | 0.0 (n=82) |
+1.8 (n=78) |
+5.3 (n=88) |
| Males | +0.4 (n=65) |
+1.2 (n=62) |
+1.9 (n=56) |
| Patients were randomized to flexibly dosed LATUDA 20 to 60 mg/day, LATUDA 80 to 120 mg/day, or placebo | |||
The proportion of patients with prolactin elevations ≥5x upper limit of normal (ULN) was 0.4% for LATUDA-treated patients versus 0.0% for placebo-treated patients. The proportion of female patients with prolactin elevations ≥5x ULN was 0.6% for LATUDA-treated patients versus 0% for placebo-treated female patients. The proportion of male patients with prolactin elevations ≥5x ULN was 0% versus 0% for placebo-treated male patients.
In the uncontrolled, open-label, longer-term bipolar depression study, patients who were treated with LATUDA as monotherapy in the short-term and continued in the longer-term study, had a median change in prolactin of -1.15 ng/mL at week 24 (n=130).
Adjunctive Therapy with Lithium or Valproate
The median change from baseline to endpoint in prolactin levels, in the adult short-term, flexible-dosed, placebo-controlled adjunctive therapy bipolar depression studies was +2.8 ng/mL with LATUDA 20 to 120 mg/day compared to 0.0 ng/mL with placebo-treated patients. The median change from baseline to endpoint for males was +2.4 ng/mL and for females was +3.2 ng/mL. Median changes for prolactin across the dose range are shown in Table 16.
Table 16: Median Change in Prolactin (ng/mL) from Baseline in the Adult Adjunctive Therapy Bipolar Depression Studies
| Placebo | LATUDA 20 to 120 mg/day |
|
| All Patients | 0.0 (n=301) |
+2.8 (n=321) |
| Females | +0.4 (n=156) |
+3.2 (n=162) |
| Males | -0.1 (n=145) |
+2.4 (n=159) |
| Patients were randomized to flexibly dosed LATUDA 20 to 120 mg/day or placebo as adjunctive therapy with lithium or valproate. | ||
The proportion of patients with prolactin elevations ≥5x upper limit of normal (ULN) was 0.0% for LATUDA-treated patients versus 0.0% for placebo-treated patients. The proportion of female patients with prolactin elevations ≥5x ULN was 0% for LATUDA-treated patients versus 0% for placebo-treated female patients. The proportion of male patients with prolactin elevations ≥5x ULN was 0% versus 0% for placebo-treated male patients.
In the uncontrolled, open-label, longer-term bipolar depression study, patients who were treated with LATUDA, as adjunctive therapy with either lithium or valproate, in the short-term and continued in the longer-term study, had a median change in prolactin of -2.9 ng/mL at week 24 (n=88).
Leukopenia, Neutropenia And Agranulocytosis
Leukopenia/neutropenia has been reported during treatment with antipsychotic agents. Agranulocytosis (including fatal cases) has been reported with other agents in the class.
Possible risk factors for leukopenia/neutropenia include pre-existing low white blood cell count (WBC) and history of drug-induced leukopenia/neutropenia. Patients with a pre-existing low WBC or a history of drug-induced leukopenia/neutropenia should have their complete blood count (CBC) monitored frequently during the first few months of therapy and LATUDA should be discontinued at the first sign of decline in WBC, in the absence of other causative factors.
Patients with neutropenia should be carefully monitored for fever or other symptoms or signs of infection and treated promptly if such symptoms or signs occur. Patients with severe neutropenia (absolute neutrophil count < 1000/mm3) should discontinue LATUDA and have their WBC followed until recovery.
Orthostatic Hypotension And Syncope
LATUDA may cause orthostatic hypotension and syncope, perhaps due to its α1-adrenergic receptor antagonism. Associated adverse reactions can include dizziness, lightheadedness, tachycardia, and bradycardia. Generally, these risks are greatest at the beginning of treatment and during dose escalation. Patients at increased risk of these adverse reactions or at increased risk of developing complications from hypotension include those with dehydration, hypovolemia, treatment with antihypertensive medication, history of cardiovascular disease (e.g., heart failure, myocardial infarction, ischemia, or conduction abnormalities), history of cerebrovascular disease, as well as patients who are antipsychotic-naïve. In such patients, consider using a lower starting dose and slower titration, and monitor orthostatic vital signs.
Orthostatic hypotension, as assessed by vital sign measurement, was defined by the following vital sign changes: ≥ 20 mm Hg decrease in systolic blood pressure and ≥10 bpm increase in pulse from sitting to standing or supine to standing position.
Schizophrenia
Adults
The incidence of orthostatic hypotension and syncope reported as adverse events from short-term, placebo-controlled schizophrenia studies was (LATUDA incidence, placebo incidence): orthostatic hypotension [0.3% (5/1508), 0.1% (1/708)] and syncope [0.1% (2/1508), 0% (0/708)].
In short-term schizophrenia clinical studies, orthostatic hypotension, as assessed by vital signs, occurred with a frequency of 0.8% with LATUDA 40 mg, 2.1% with LATUDA 80 mg, 1.7% with LATUDA 120 mg and 0.8% with LATUDA 160 mg compared to 0.7% with placebo.
Adolescents
The incidence of orthostatic hypotension reported as adverse events from the short-term, placebo-controlled adolescent schizophrenia study was 0.5% (1/214) in LATUDA-treated patients and 0% (0/112) in placebo-treated patients. No syncope event was reported.
Orthostatic hypotension, as assessed by vital signs, occurred with a frequency of 0% with LATUDA 40 mg and 2.9% with LATUDA 80 mg, compared to 1.8% with placebo.
Bipolar Depression
Monotherapy
In the adult short-term, flexible-dose, placebo-controlled monotherapy bipolar depression study, there were no reported adverse events of orthostatic hypotension and syncope.
Orthostatic hypotension, as assessed by vital signs, occurred with a frequency of 0.6% with LATUDA 20 to 60 mg and 0.6% with LATUDA 80 to 120 mg compared to 0% with placebo.
Adjunctive Therapy with Lithium or Valproate
In the adult short-term, flexible-dose, placebo-controlled adjunctive therapy bipolar depression therapy studies, there were no reported adverse events of orthostatic hypotension and syncope. Orthostatic hypotension, as assessed by vital signs, occurred with a frequency of 1.1% with LATUDA 20 to 120 mg compared to 0.9% with placebo.
Falls
Latuda may cause somnolence, postural hypotension, motor and sensory instability, which may lead to falls and, consequently, fractures or other injuries. For patients with diseases, conditions, or medications that could exacerbate these effects, complete fall risk assessments when initiating antipsychotic treatment and recurrently for patients on long-term antipsychotic therapy.
Seizures
As with other antipsychotic drugs, LATUDA should be used cautiously in patients with a history of seizures or with conditions that lower the seizure threshold, e.g., Alzheimer’s dementia. Conditions that lower the seizure threshold may be more prevalent in patients 65 years or older.
Schizophrenia
In adult short-term, placebo-controlled schizophrenia studies, seizures/convulsions occurred in 0.1% (2/1508) of patients treated with LATUDA compared to 0.1% (1/708) placebo-treated patients.
Bipolar Depression
Monotherapy
In the adult short-term, flexible-dose, placebo-controlled monotherapy bipolar depression study, no patient experienced seizures/convulsions.
Adjunctive Therapy with Lithium or Valproate
In the adult short-term, flexible-dose, placebo-controlled adjunctive therapy bipolar depression studies, no patient experienced seizures/convulsions.
Potential For Cognitive And Motor Impairment
LATUDA, like other antipsychotics, has the potential to impair judgment, thinking or motor skills. Caution patients about operating hazardous machinery, including motor vehicles, until they are reasonably certain that therapy with LATUDA does not affect them adversely.
In clinical studies with LATUDA, somnolence included: hypersomnia, hypersomnolence, sedation and somnolence.
Schizophrenia
Adults
In short-term, placebo-controlled schizophrenia studies, somnolence was reported by 17.0% (256/1508) of patients treated with LATUDA (15.5% LATUDA 20 mg, 15.6% LATUDA 40 mg, 15.2% LATUDA 80 mg, 26.5% LATUDA 120 mg and 8.3% LATUDA 160 mg/day) compared to 7.1% (50/708) of placebo patients.
Adolescents
In the short-term, placebo-controlled adolescent schizophrenia study, somnolence was reported by 14.5% (31/214) of patients treated with LATUDA (15.5% LATUDA 40 mg and 13.5% LATUDA 80 mg,/day) compared to 7.1% (8/112) of placebo patients.
Bipolar Depression
Monotherapy
In the adult short-term, flexible-dosed, placebo-controlled monotherapy bipolar depression study, somnolence was reported by 7.3% (12/164) and 13.8% (23/167) with LATUDA 20 to 60 mg and 80 to120 mg, respectively compared to 6.5% (11/168) of placebo patients.
Adjunctive Therapy with Lithium or Valproate
In the adult short-term, flexible-dosed, placebo-controlled adjunctive therapy bipolar depression studies, somnolence was reported by 11.4% (41/360) of patients treated with LATUDA 20-120 mg compared to 5.1% (17/334) of placebo patients.
Body Temperature Dysregulation
Disruption of the body’s ability to reduce core body temperature has been attributed to antipsychotic agents. Appropriate care is advised when prescribing LATUDA for patients who will be experiencing conditions that may contribute to an elevation in core body temperature, e.g., exercising strenuously, exposure to extreme heat, receiving concomitant medication with anticholinergic activity, or being subject to dehydration.
Activation Of Mania/Hypomania
Antidepressant treatment can increase the risk of developing a manic or hypomanic episode, particularly in patients with bipolar disorder. Monitor patients for the emergence of such episodes.
In the bipolar depression monotherapy and adjunctive therapy (with lithium or valproate) studies, less than 1% of subjects in the LATUDA and placebo groups developed manic or hypomanic episodes.
Dysphagia
Esophageal dysmotility and aspiration have been associated with antipsychotic drug use. Aspiration pneumonia is a common cause of morbidity and mortality in elderly patients, in particular those with advanced Alzheimer’s dementia. LATUDA and other antipsychotic drugs should be used cautiously in patients at risk for aspiration pneumonia.
Neurological Adverse Reactions In Patients with Parkinson’s Disease Or Dementia With Lewy Bodies
Patients with Parkinson’s Disease or Dementia with Lewy Bodies are reported to have an increased sensitivity to antipsychotic medication. Manifestations of this increased sensitivity include confusion, obtundation, postural instability with frequent falls, extrapyramidal symptoms, and clinical features consistent with the neuroleptic malignant syndrome.
Patient Counselinng Information
Advise the patient to read the FDA-approved patient labeling (Medication Guide).
Suicidal Thoughts And Behavior
Advise patients and caregivers to look for the emergence of suicidality, especially early during treatment and when the dosage is adjusted up or down and instruct them to report such symptoms to the healthcare provider [see BOX WARNING, WARNINGS AND PRECAUTIONS].
Neuroleptic Malignant Syndrome
Counsel patients about a potentially fatal adverse reaction referred to as Neuroleptic Malignant Syndrome (NMS). Advise patients, family members, or caregivers to contact healthcare provider or to report to the emergency room if they experience signs and symptoms of NMS [see WARNINGS AND PRECAUTIONS].
Tardive Dyskinesia
Counsel patients on the signs and symptoms of tardive dyskinesia and to contact their healthcare provider if these abnormal movements occur [see WARNINGS AND PRECAUTIONS].
Metabolic Changes
Educate patients about the risk of metabolic changes, how to recognize symptoms of hyperglycemia and diabetes mellitus, and the need for specific monitoring, including blood glucose, lipids, and weight [see WARNINGS AND PRECAUTIONS].
Hyperprolactinemia
Counsel patients on signs and symptoms of hyperprolactinemia that may be associated with chronic use of LATUDA. Advise them to seek medical attention if they experience any of the following: amenorrhea or galactorrhea in females, erectile dysfunction or gynecomastia in males [see WARNINGS AND PRECAUTIONS].
Orthostatic Hypotension
Educate patients about the risk of orthostatic hypotension, particularly at the time of initiating treatment, re-initiating treatment, or increasing the dose [see WARNINGS AND PRECAUTIONS] .
Leukopenia/Neutropenia
Advise patients with a pre-existing low WBC or a history of drug-induced leukopenia/neutropenia that they should have their CBC monitored while taking LATUDA [see WARNINGS AND PRECAUTIONS].
Interference With Cognitive And Motor Performance
Caution patients about performing activities requiring mental alertness, such as operating hazardous machinery or operating a motor vehicle, until they are reasonably certain that LATUDA therapy does not affect them adversely [see WARNINGS AND PRECAUTIONS].
Activation Of Mania Or Hypomania
Advise patients and their caregivers to observe for signs of activation of mania/hypomania [see WARNINGS AND PRECAUTIONS].
Pregnancy
Advise patients that LATUDA may cause extrapyramidal and/or withdrawal symptoms in a neonate. Advise patients to notify their healthcare provider with a known or suspected pregnancy [see Use In Specific Populations].
Concomitant Medication
Advise patients to inform their physicians if they are taking, or plan to take, any prescription or over-the-counter drugs, because there is a potential for drug interactions [see DRUG INTERACTIONS].
Heat Exposure And Dehydration
Educate patients regarding appropriate care in avoiding overheating and dehydration [see WARNINGS AND PRECAUTIONS].
Nonclinical Toxicology
Carcinogenesis, Mutagenesis, Impairment Of Fertility
Carcinogenesis
Lurasidone increased incidences of malignant mammary gland tumors and pituitary gland adenomas in female mice orally dosed with 30, 100, 300, or 650 mg/kg/day. The lowest dose produced plasma levels (AUC) approximately equal to those in humans receiving the MRHD of 160 mg/day. No increases in tumors were seen in male mice up to the highest dose tested, which produced plasma levels (AUC) 14 times those in humans receiving the MRHD.
Lurasidone increased the incidence of mammary gland carcinomas in female rats orally dosed at 12 and 36 mg/kg/day: the lowest dose; 3 mg/kg/day is the no-effect dose which produced plasma levels (AUC) 0.4 times those in humans receiving the MRHD. No increases in tumors were seen in male rats up to the highest dose tested, which produced plasma levels (AUC) 6 times those in humans receiving the MRHD.
Proliferative and/or neoplastic changes in the mammary and pituitary glands of rodents have been observed following chronic administration of antipsychotic drugs and are considered to be prolactin-mediated [see WARNINGS AND PRECAUTIONS].
Mutagenesis
Lurasidone did not cause mutation or chromosomal aberration when tested in vitro and in vivo test battery. Lurasidone was negative in the Ames gene mutation test, the Chinese Hamster Lung (CHL) cells, and in the in vivo mouse bone marrow micronucleus test up to 2000 mg/kg which is 61 times the MRHD of 160 mg/day based on mg/m2 body surface area.
Impairment Of Fertility
Estrus cycle irregularities were seen in rats orally administered lurasidone at 1.5, 15 and 150 mg/kg/day for 15 consecutive days prior to mating, during the mating period, and through gestation day 7. No effect was seen at the lowest dose of 0.1 mg/kg which is approximately 0.006 times the MRHD of 160 mg/day based on mg/m2 . Fertility was reduced only at the highest dose, which was reversible after a 14 day drug-free period. The no-effect dose for reduced fertility was approximately equal to the MRHD based on mg/m2 .
Lurasidone had no effect on fertility in male rats treated orally for 64 consecutive days prior to mating and during the mating period at doses up to 9 times the MRHD based on mg/m2 .
Use In Specific Populations
Pregnancy
Pregnancy Exposure Registry
There is a pregnancy exposure registry that monitors pregnancy outcomes in women exposed to LATUDA during pregnancy. For more information, contact the National Pregnancy Registry for Atypical Antipsychotics at 1-866-961-2388 or visit http://womensmentalhealth.org/clinical-andresearch-programs/pregnancyregistry/.
Risk Summary
Neonates exposed to antipsychotic drugs during the third trimester of pregnancy are at risk for extrapyramidal and/or withdrawal symptoms following delivery [see Clinical Considerations]. There are no studies of LATUDA use in pregnant women. The limited available data are not sufficient to inform a drug-associated risk of birth defects or miscarriage. In animal reproduction studies, no teratogenic effects were seen in pregnant rats and rabbits given lurasidone during the period of organogenesis at doses approximately 1.5-and 6-times, the maximum recommended human dose (MRHD) of 160 mg/day, respectively based on mg/m2 body surface area [see Data].
The estimated background risk of major birth defects and miscarriage for the indicated population(s) is unknown. All pregnancies have a background risk of birth defect, loss or other adverse outcomes. In the U.S. general population, the estimated background risk of major birth defects and miscarriage in clinically recognized pregnancies is 2-4% and 15-20%, respectively.
Clinical Considerations
Fetal/Neonatal Adverse Reactions
Extrapyramidal and/or withdrawal symptoms, including agitation, hypertonia, hypotonia, tremor, somnolence, respiratory distress and feeding disorder have been reported in neonates who were exposed to antipsychotic drugs during the third trimester of pregnancy. These symptoms have varied in severity. Some neonates recovered within hours or days without specific treatment; others required prolonged hospitalization. Monitor neonates for extrapyramidal and/or withdrawal symptoms and manage symptoms appropriately.
Data
Animal Data
Pregnant rats were treated with oral lurasidone at doses of 3, 10, and 25 mg/kg/day during the period of organogenesis. These doses are 0.2, 0.6, and 1.5 times the MRHD of 160 mg/day based on mg/m2 body surface area. No teratogenic or embryo-fetal effects were observed up to 1.5 times the MHRD of 160 mg/day, based on mg/m2 .
Pregnant rabbits were treated with oral lurasidone at doses of 2, 10, and 50 mg/kg/day during the period of organogenesis. These doses are 0.2, 1.2 and 6 times the MRHD of 160 mg/day based on mg/m2. No teratogenic or embryo-fetal effects were observed up to 6 times the MHRD of 160 mg/day based on mg/m2.
Pregnant rats were treated with oral lurasidone at doses of 0.4, 2, and 10 mg/kg/day during the periods of organogenesis and lactation. These doses are 0.02, 0.1 and 0.6 times the MRHD of 160 mg/day based on mg/m2. No pre-and postnatal developmental effects were observed up to 0.6 times the MRHD of 160 mg/day, based on mg/m2.
Lactation
Risk Summary
Lactation studies have not been conducted to assess the presence of lurasidone in human milk, the effects on the breastfed infant, or the effects on milk production. Lurasidone is present in rat milk. The development and health benefits of breastfeeding should be considered along with the mother’s clinical need for LATUDA and any potential adverse effects on the breastfed infant from LATUDA or from the underlying maternal condition.
Pediatric Use
Schizophrenia
The safety and effectiveness of LATUDA 40-mg/day and 80-mg/day for the treatment of schizophrenia in adolescents (13 to 17 years) was established in a 6-week, placebo-controlled clinical study in 326 adolescent patients [see DOSAGE AND ADMINISTRATION, ADVERSE REACTIONS and Clinical Studies].
Depression
The safety and effectiveness of LATUDA have not been established in pediatric patients with depression.
Irritability Associated With Autistic Disorder
The effectiveness of LATUDA in pediatric patients for the treatment of irritability associated with autistic disorder has not been established.
Efficacy was not demonstrated in a 6-week study evaluating LATUDA 20 mg/day and 60 mg/day for the treatment of pediatric patients 6 to 17 years of age with irritability associated with autistic disorder diagnosed by Diagnostic and Statistical Manual of Mental Disorders, 4th Ed., Text Revision [DSM-IV-TR] criteria. The primary objective of the study as measured by improvement from Baseline in the irritability subscale of the Aberrant Behavior Checklist (ABC) at Endpoint (Week 6) was not met. A total of 149 patients were randomized to LATUDA or placebo. Vomiting occurred at a higher rate than reported in other LATUDA studies (4/49 or 8% for 20mg, 14/51 or 27% for 60mg, and 2/49 or 4% for placebo), particularly in children ages 6 to 12 (13 out of 18 patients on LATUDA with vomiting).
Juvenile Animal Studies
Adverse effects were seen on growth, physical and neurobehavioral development at doses as low as 0.2 times the MRHD based on mg/m2. Lurasidone was orally administered to rats from postnatal days 21 through 91 (this period corresponds to childhood, adolescence, and young adulthood in humans) at doses of 3, 30, and 150 (males) or 300 (females) mg/kg/day which are 0.2 to 10 times (males) and 20 times (females) the maximum recommended adult human dose (MRHD) of 160 mg/day based on mg/m2. The adverse effects included dose-dependent decreases in femoral length, bone mineral content, body and brain weights at 2 times the MRHD in both sexes, and motor hyperactivity at 0.2 and 2 times the MRHD in both sexes based on mg/m2. In females, there was a delay in attainment of sexual maturity at 2 times the MRHD, associated with decreased serum estradiol. Mortality occurred in both sexes during early post-weaning period and some of the male weanlings died after only 4 treatments at doses as low as 2 times the MRHD based on mg/m2. Histopathological findings included increased colloid in the thyroids and inflammation of the prostate in males at 10 times MRHD based on mg/m2 and mammary gland hyperplasia, increased vaginal mucification, and increased ovarian atretic follicles at doses as low as 0.2 times the MRHD based on mg/m2. Some of these findings were attributed to transiently elevated serum prolactin which was seen in both sexes at all doses. However, there were no changes at any dose level in reproductive parameters (fertility, conception indices, spermatogenesis, estrous cycle, gestation length, parturition, number of pups born). The no effect dose for neurobehavioral changes in males is 0.2 times the MHRD based on mg/m2 and could not be determined in females. The no effect dose for growth and physical development in both sexes is 0.2 times the MRHD based on mg/m2.
Geriatric Use
Clinical studies with LATUDA did not include sufficient numbers of patients aged 65 and older to determine whether or not they respond differently from younger patients. In elderly patients with psychosis (65 to 85), LATUDA concentrations (20 mg/day) were similar to those in young subjects. It is unknown whether dose adjustment is necessary on the basis of age alone.
Elderly patients with dementia-related psychosis treated with LATUDA are at an increased risk of death compared to placebo. LATUDA is not approved for the treatment of patients with dementia-related psychosis [see BOX WARNING, WARNINGS AND PRECAUTIONS].
Renal Impairment
Reduce the maximum recommended dosage in patients with moderate or severe renal impairment (CLcr<50 mL/minute). Patients with impaired renal function (CLcr<50 mL/minute) had higher exposure to lurasidone than patients with normal renal function [see CLINICAL PHARMACOLOGY]. Greater exposure may increase the risk of LATUDA-associated adverse reactions [see DOSAGE AND ADMINISTRATION]
Hepatic Impairment
Reduce the maximum recommended dosage in patients with moderate to severe hepatic impairment (Child-Pugh score ≥7). Patients with moderate to severe hepatic impairment (Child-Pugh score ≥7) generally had higher exposure to lurasidone than patients with normal hepatic function [see CLINICAL PHARMACOLOGY]. Greater exposure may increase the risk of LATUDA-associated adverse reactions [see DOSAGE AND ADMINISTRATION].
Other Specific Populations
No dosage adjustment for LATUDA is required on the basis of a patient’s sex, race, or smoking status [see CLINICAL PHARMACOLOGY].
Overdosage
Human Experience
In premarketing clinical studies, accidental or intentional overdosage of LATUDA was identified in one patient who ingested an estimated 560 mg of LATUDA. This patient recovered without sequelae. This patient resumed LATUDA treatment for an additional two months.
Management Of Overdosage
No specific antidotes for LATUDA are known. In managing overdose, provide supportive care, including close medical supervision and monitoring, and consider the possibility of multiple drug involvement. If an overdose occurs, consult a Certified Poison Control Center (1-800-222-1222 or www.poison.org).
Cardiovascular monitoring should commence immediately, including continuous electrocardiographic monitoring for possible arrhythmias. If antiarrhythmic therapy is administered, disopyramide, procainamide, and quinidine carry a theoretical hazard of additive QT-prolonging effects when administered in patients with an acute overdose of LATUDA. Similarly, the alpha-blocking properties of bretylium might be additive to those of LATUDA, resulting in problematic hypotension.
Hypotension and circulatory collapse should be treated with appropriate measures. Epinephrine and dopamine should not be used, or other sympathomimetics with beta-agonist activity, since beta stimulation may worsen hypotension in the setting of LATUDA-induced alpha blockade. In case of severe extrapyramidal symptoms, anticholinergic medication should be administered.
Gastric lavage (after intubation if patient is unconscious) and administration of activated charcoal together with a laxative should be considered.
The possibility of obtundation, seizures, or dystonic reaction of the head and neck following overdose may create a risk of aspiration with induced emesis.
Contraindications
- Known hypersensitivity to lurasidone HCl or any components in the formulation. Angioedema has been observed with lurasidone [see ADVERSE REACTIONS].
- Strong CYP3A4 inhibitors (e.g., ketoconazole, clarithromycin, ritonavir, voriconazole, mibefradil, etc.) [see DRUG INTERACTIONS].
- Strong CYP3A4 inducers (e.g., rifampin, avasimibe, St. John’s wort, phenytoin, carbamazepine, etc.) [see DRUG INTERACTIONS].
Clinical Pharmacology
Mechanism Of Action
The mechanism of action of lurasidone in the treatment of schizophrenia and bipolar depression is unknown. However, its efficacy in schizophrenia and bipolar depression could be mediated through a combination of central dopamine D2 and serotonin Type 2 (5HT2A) receptor antagonism.
Pharmacodynamics
Lurasidone is an antagonist with high affinity binding at the dopamine D2 receptors (Ki of 1 nM) and the serotonin 5-HT2A (Ki of 0.5 nM) and 5-HT7 (Ki of 0.5 nM) receptors. It also binds with moderate affinity to the human α2C adrenergic receptors (Ki of 11 nM), is a partial agonist at serotonin 5-HT1A (Ki of 6.4 nM) receptors, and is an antagonist at the α2A adrenergic receptors (Ki of 41 nM). Lurasidone exhibits little or no affinity for histamine H1 and muscarinic M1 receptors (IC50 > 1,000 nM).
ECG Changes
The effects of LATUDA on the QTc interval were evaluated in a randomized, double-blind, multiple-dose, parallel-dedicated thorough QT study in 43 patients with schizophrenia or schizoaffective disorder, who were treated with LATUDA doses of 120 mg daily, 600 mg daily and completed the study. The maximum mean (upper 1-sided, 95% CI) increase in baseline-adjusted QTc intervals based on individual correction method (QTcI) was 7.5 (11.7) ms and 4.6 (9.5) ms, for the 120 mg and 600 mg dose groups respectively, observed at 2 to 4 hours after dosing. In this study, there was no apparent dose (exposure)-response relationship.
In short-term, placebo-controlled studies in schizophrenia and bipolar depression, no post-baseline QT prolongations exceeding 500 msec were reported in patients treated with LATUDA or placebo.
Pharmacokinetics
Adults
The activity of LATUDA is primarily due to the parent drug. The pharmacokinetics of LATUDA is dose-proportional within a total daily dose range of 20 mg to 160 mg. Steady-state concentrations of LATUDA are reached within 7 days of starting LATUDA.
Following administration of 40 mg of LATUDA, the mean (%CV) elimination half-life was 18 (7) hours.
Absorption and Distribution
LATUDA is absorbed and reaches peak serum concentrations in approximately 1-3 hours. It is estimated that 9-19% of an administered dose is absorbed. Following administration of 40 mg of LATUDA, the mean (%CV) apparent volume of distribution was 6173 (17.2) L. LATUDA is highly bound (˜99%) to serum proteins.
In a food effect study, LATUDA mean Cmax and AUC were about 3-times and 2-times, respectively, when administered with food compared to the levels observed under fasting conditions. LATUDA exposure was not affected as meal size was increased from 350 to 1000 calories and was independent of meal fat content [see DOSAGE AND ADMINISTRATION].
In clinical studies, establishing the safety and efficacy of LATUDA, patients were instructed to take their daily dose with food [see DOSAGE AND ADMINISTRATION].
Metabolism and Elimination
LATUDA is metabolized mainly via CYP3A4. The major biotransformation pathways are oxidative N-dealkylation, hydroxylation of norbornane ring, and S-oxidation. LATUDA is metabolized into two active metabolites (ID-14283 and ID-14326) and two major non-active metabolites (ID-20219 and ID-20220). Based on in vitro studies, LATUDA is not a substrate of CYP1A1, CYP1A2, CYP2A6, CYP4A11, CYP2B6, CYP2C8, CYP2C9, CYP2C19, CYP2D6 or CYP2E1 enzymes. Because LATUDA is not a substrate for CYP1A2, smoking is not expected to have an effect on the pharmacokinetics of LATUDA.
Transporter Proteins
In vitro studies suggest LATUDA is not a substrate of OATP1B1 or OATP1B3, however, is probably a substrate of P-gp and BCRP. In vitro studies indicate that LATUDA is not expected to inhibit transporters OATP1B1, OATP1B3, OCT1, OCT2, OAT1, OAT3, MATE1, MATE2-K and BSEP at clinically relevant concentrations. LATUDA is not a clinically significant inhibitor of P-gp. However, it may inhibit BCRP.
Total excretion of radioactivity in urine and feces combined was approximately 89%, with about 80% recovered in feces and 9% recovered in urine, after a single dose of [14C]-labeled LATUDA.
Following administration of 40 mg of LATUDA, the mean (%CV) apparent clearance was 3902 (18.0) mL/min.
Drug Interaction Studies
Effects of other drugs on the exposure of lurasidone are summarized in Figure 1. A population PK analyses concluded that coadministration of lithium 300-2400 mg/day or valproate 300-2000 mg/day with lurasidone for up to 6 weeks has minimal effect on lurasidone exposure.
And the effects of LATUDA on the exposures of other drugs are summarized in Figure 2. A population PK analyses concluded that coadministration of lurasidone has minimal effect on lithium and valproate exposure when it is coadministered with lithium 300-2400 mg/day or valproate 300-2000 mg/day.
Figure 1: Impact of Other Drugs on LATUDA Pharmacokinetics
![]() |
Figure 2:Impact of LATUDA on Other Drugs
![]() |
Studies In Specific Populations
The effect of intrinsic patient factors on the pharmacokinetics of LATUDA is presented in Figure 3.
Pediatric Patients
LATUDA exposure (i.e., steady-state Cmax and AUC) in children and adolescent patients (10 to 17 years of age) was generally similar to that in adults across the dose range from 40 to 160 mg, without adjusting for body weight.
Figure 3: Impact of Other Patient Factors on LATUDA Pharmacokinetics
![]() |
Clinical Studies
Schizophrenia
Adults
The efficacy of LATUDA for the treatment of schizophrenia was established in five short-term (6-week), placebo-controlled studies in adult patients (mean age of 38.4 years, range 18-72) who met DSM-IV criteria for schizophrenia. An active-control arm (olanzapine or quetiapine extended-release) was included in two studies to assess assay sensitivity.
Several instruments were used for assessing psychiatric signs and symptoms in these studies:
- Positive and Negative Syndrome Scale (PANSS), is a multi-item inventory of general psychopathology used to evaluate the effects of drug treatment in schizophrenia. PANSS total scores may range from 30 to 210.
- Brief Psychiatric Rating Scale derived (BPRSd), derived from the PANSS, is a multi-item inventory primarily focusing on positive symptoms of schizophrenia, whereas the PANSS includes a wider range of positive, negative and other symptoms of schizophrenia. The BPRSd consists of 18 items rated on a scale of 1 (not present) to 7 (severe). BPRSd scores may range from 18 to 126.
- The Clinical Global Impression severity scale (CGI-S) is a clinician-rated scale that measures the subject’s current illness state on a 1-to 7-point scale.
The endpoint associated with each instrument is change from baseline in the total score to the end of week 6. These changes are then compared to placebo changes for the drug and control groups.
The results of the studies follow:
- Study 1: In a 6-week, placebo-controlled trial (N=145) involving two fixed doses of LATUDA (40 or 120 mg/day), both doses of LATUDA at Endpoint were superior to placebo on the BPRSd total score, and the CGI-S.
- Study 2: In a 6-week, placebo-controlled trial (N=180) involving a fixed dose of LATUDA (80 mg/day), LATUDA at Endpoint was superior to placebo on the BPRSd total score, and the CGI-S.
- Study 3: In a 6-week, placebo-and active-controlled trial (N=473) involving two fixed doses of LATUDA (40 or 120 mg/day) and an active control (olanzapine), both LATUDA doses and the active control at Endpoint were superior to placebo on the PANSS total score, and the CGI-S.
- Study 4: In a 6-week, placebo-controlled trial (N=489) involving three fixed doses of LATUDA (40, 80 or 120 mg/day), only the 80 mg/day dose of LATUDA at Endpoint was superior to placebo on the PANSS total score, and the CGI-S.
- Study 5: In a 6-week, placebo-and active-controlled trial (N=482) involving two fixed doses of LATUDA (80 or 160 mg/day) and an active control (quetiapine extended-release), both LATUDA doses and the active control at Endpoint were superior to placebo on the PANSS total score, and the CGI-S.
Thus, the efficacy of LATUDA at doses of 40, 80, 120 and 160 mg/day has been established (Table 30).
Table 30: Primary Efficacy Results for Studies in Adult Patients with Schizophrenia (BPRSd or PANSS Scores)
| Study | Treatment Group | Primary Efficacy Measure: BPRSd | ||
| Mean Baseline Score (SD) | LS Mean Change from Baseline (SE) |
Placebo-subtracted Differencea (95% CI) |
||
| 1 | LATUDA (40 mg/day)* | 54.2 (8.8) | -9.4 (1.6) | -5.6 (-9.8, -1.4) |
| LATUDA (120 mg/day)* | 52.7 (7.6) | -11.0 (1.6) | -6.7 (-11.0, -2.5) | |
| Placebo | 54.7 (8.1) | -3.8 (1.6) | - | |
| 2 | LATUDA (80 mg/day)* | 55.1 (6.0) | -8.9 (1.3) | -4.7 (-8.3, -1.1) |
| Placebo | 56.1 (6.8) | -4.2 (1.4) | - | |
| Primary Efficacy Measure: PANSS | ||||
| 3 | LATUDA (40 mg/day)* | 96.6 (10.7) | -25.7 (2.0) | -9.7 (-15.3, -4.1) |
| LATUDA (120 mg/day)* | 97.9 (11.3) | -23.6 (2.1) | -7.5 (-13.4, -1.7) | |
| Olanzapine (15 mg/day)*b | 96.3 (12.2) | -28.7 (1.9) | -12.6 (-18.2, -7.9) | |
| Placebo | 95.8 (10.8) | -16.0 (2.1) | - | |
| 4 | LATUDA (40 mg/day) | 96.5 (11.5) | -19.2 (1.7) | -2.1 (-7.0, 2.8) |
| LATUDA (80 mg/day)* | 96.0 (10.8) | -23.4 (1.8) | -6.4 (-11.3, -1.5) | |
| LATUDA (120 mg/day) | 96.0 (9.7) | -20.5 (1.8) | -3.5 (-8.4, 1.4) | |
| Placebo | 96.8 (11.1) | -17.0 (1.8) | - | |
| 5 | LATUDA (80 mg/day)* | 97.7 (9.7) | -22.2 (1.8) | -11.9 (-16.9, -6.9) |
| LATUDA (160 mg/day)* | 97.5 (11.8) | -26.5 (1.8) | -16.2 (-21.2, -11.2) | |
| Quetiapine Extended-release (600 mg/day)*b | 97.7 (10.2) | -27.8 (1.8) | -17.5 (-22.5, -12.4) | |
| Placebo | 96.6 (10.2) | -10.3 (1.8) | - | |
| SD: standard deviation; SE: standard error; LS Mean: least-squares mean; CI: confidence interval, unadjusted for multiple
comparisons. a Difference (drug minus placebo) in least-squares mean change from baseline. b Included for assay sensitivity. * Doses statistically significantly superior to placebo. |
||||
Examination of population subgroups based on age (there were few patients over 65), gender and race did not reveal any clear evidence of differential responsiveness.
Adolescents
The efficacy of LATUDA, was established in a 6-week, multicenter, randomized, double-blind, placebo-controlled study of adolescents (13 to 17 years) who met DSM-IV-TR criteria for schizophrenia (N=326). Patients were randomized to one of two fixed-doses of LATUDA (40 or 80 mg/day) or placebo.
The primary rating instrument used to assess psychiatric signs and symptoms was the PANSS. The key secondary instrument was the CGI-S.
For both dose groups, LATUDA was superior to placebo in reduction of PANSS and CGI-S scores at Week 6. On average, the 80 mg/day dose did not provide additional benefit compared to the 40 mg/day dose.
The primary efficacy results are provided in Table 31.
Table 31: Primary Efficacy Results (PANSS Total Score) for the Adolescent Schizophrenia Study
| Treatment Group | Primary Efficacy Measure: PANSS | ||
| Mean Baseline Score (SD) | LS Mean Change from Baseline (SE) | Placebo-subtracted Difference (95% CI) | |
| LATUDA (40 mg/day)* | 94.5 (10.97) | -18.6 (1.59) | -8.0 (-12.4, -3.7) |
| LATUDA (80 mg/day)* | 94.0 (11.12) | -18.3 (1.60) | -7.7 (-12.1, -3.4) |
| Placebo | 92.8 (11.08) | -10.5 (1.59) | - |
| SD: standard deviation; SE: standard error; LS Mean: least-squares mean; CI: confidence interval, unadjusted for multiple
comparisons. a Difference (drug minus placebo) in least-squares mean change from baseline. * Doses statistically significantly superior to placebo. |
|||
Depressive Episodes Associated With Bipolar I Disorder
Monotherapy
The efficacy of LATUDA, as monotherapy, was established in a 6-week, multicenter, randomized, double-blind, placebo-controlled study of adult patients (mean age of 41.5 years, range 18 to 74) who met DSM-IV-TR criteria for major depressive episodes associated with bipolar I disorder, with or without rapid cycling, and without psychotic features (N=485). Patients were randomized to one of two flexible-dose ranges of LATUDA (20 to 60 mg/day, or 80 to 120 mg/day) or placebo.
The primary rating instrument used to assess depressive symptoms in this study was the Montgomery-Asberg Depression Rating Scale (MADRS), a 10-item clinician-rated scale with total scores ranging from 0 (no depressive features) to 60 (maximum score). The primary endpoint was the change from baseline in MADRS score at Week 6. The key secondary instrument was the Clinical Global Impression-Bipolar-Severity of Illness scale (CGI-BP-S), a clinician-rated scale that measures the subject’s current illness state on a 7-point scale, where a higher score is associated with greater illness severity.
For both dose groups, LATUDA was superior to placebo in reduction of MADRS and CGI-BP-S scores at Week 6. The primary efficacy results are provided in Table 32. The high dose range (80 to 120 mg per day) did not provide additional efficacy on average, compared to the low dose range (20 to 60 mg per day).
Adjunctive Therapy With Lithium Or Valproate
The efficacy of LATUDA, as an adjunctive therapy with lithium or valproate, was established in a 6-week, multicenter, randomized, double-blind, placebo-controlled study of adult patients (mean age of 41.7 years, range 18 to 72) who met DSM-IV-TR criteria for major depressive episodes associated with bipolar I disorder, with or without rapid cycling, and without psychotic features (N=340). Patients who remained symptomatic after treatment with lithium or valproate were randomized to flexibly dosed LATUDA 20 to 120 mg/day or placebo.
The primary rating instrument used to assess depressive symptoms in this study was the MADRS. The primary endpoint was the change from baseline in MADRS score at Week 6. The key secondary instrument was the CGI-BP-S scale.
LATUDA was superior to placebo in reduction of MADRS and CGI-BP-S scores at Week 6, as an adjunctive therapy with lithium or valproate (Table 32).
Table 32: Primary Efficacy Results for Adult Studies in Depressive Episodes Associated with Bipolar I Disorder (MADRS Scores)
| Study | Treatment Group | Primary Efficacy Measure: MADRS | ||
| Mean Baseline Score (SD) | LS Mean Change from Baseline (SE) |
Placebo-subtracted Differencea (95% CI) |
||
| Monotherapy study | LATUDA (20-60 mg/day)* | 30.3 (5.0) | -15.4 (0.8) | -4.6 (-6.9, -2.3) |
| LATUDA (80-120 mg/day)* | 30.6 (4.9) | -15.4 (0.8) | -4.6 (-6.9, -2.3) | |
| Placebo | 30.5 (5.0) | -10.7 (0.8) | - | |
| Adjunctive Therapy study | LATUDA (20-120 mg/day)* + lithium or valproate | 30.6 (5.3) | -17.1 (0.9) | -3.6 (-6.0, -1.1) |
| Placebo + lithium or valproate | 30.8 (4.8) | -13.5 (0.9) | - | |
| SD:standard deviation; SE: standard error; LS Mean: least-squares mean; CI: confidence interval, unadjusted for multiple
comparisons. a Difference (drug minus placebo) in least-squares mean change from baseline. * Treatment group statistically significantly superior to placebo. |
||||
Medication Guide
PATIENT INFORMATION
LATUDA
(luh-TOO-duh)
(lurasidone hydrochloride) Tablets
What is the most important information I should know about LATUDA?
LATUDA may cause serious side effects, including:
- Increased risk of death in elderly people who are confused, have memory loss and have lost touch with reality (dementia-related psychosis). Medicines like LATUDA can increase the risk of death in elderly people who are confused, have memory loss and have lost touch with reality (dementia-related psychosis). LATUDA should not be used to treat people with dementia-related psychosis.
- Increased risk of suicidal thoughts or actions (antidepressant medicines, depression and other serious mental illnesses, and suicidal thoughts or actions).
- Talk to your, or your family member’s, healthcare provider about:
- all risks and benefits of treatment with antidepressant medicines.
- all treatment choices for depression or other serious mental illness.
- Antidepressant medicines may increase suicidal thoughts or actions in some children, teenagers, and young adults within the first few months of treatment.
- Depression and other serious mental illnesses are the most important causes of suicidal thoughts and actions. Some people may have a particularly high risk of having suicidal thoughts or actions. These include people who have (or have a family history of) depression, bipolar illness (also called manic-depressive illness), or a history of suicidal thoughts or actions.
- How can I watch for and try to prevent suicidal thoughts and actions in myself or a family member?
- Pay close attention to any changes, especially sudden changes, in mood, behaviors, thoughts, or feelings. This is very important when an antidepressant medicine is started or when the dose is changed.
- Call the healthcare provider right away to report new or sudden changes in mood, behavior, thoughts, or feelings.
- Keep all follow-up visits with the healthcare provider as scheduled. Call the healthcare provider between visits as needed, especially if you have concerns about symptoms.
- Talk to your, or your family member’s, healthcare provider about:
Call a healthcare provider right away if you or your family member has any of the following symptoms, especially if they are new, worse, or worry you:
- thoughts about suicide or dying
- attempts to commit suicide
- new or worse depression
- new or worse anxiety
- feeling very agitated or restless
- panic attacks
- trouble sleeping (insomnia)
- new or worse irritability
- acting aggressive, being angry, or violent
- acting on dangerous impulses
- an extreme increase in activity and talking (mania)
- other unusual changes in behavior or mood
What else do I need to know about antidepressant medicines?
- Never stop an antidepressant medicine without first talking to your healthcare provider. Stopping an antidepressant medicine suddenly can cause other symptoms.
- Antidepressants are medicines used to treat depression and other illnesses. It is important to discuss all the risks of treating depression and also the risks of not treating it. Patients and their families or other caregivers should discuss all treatment choices with the healthcare provider, not just the use of antidepressants.
- Antidepressant medicines have other side effects. Talk to the healthcare provider about the side effects of the medicine prescribed for you or your family member.
- Antidepressant medicines can interact with other medicines. Know all of the medicines that you or your family member takes. Keep a list of all medicines to show the healthcare provider. Do not start new medicines without first checking with your healthcare provider.
- Not all antidepressant medicines prescribed for children are FDA approved for use in children. Talk to your child’s healthcare provider for more information.
What is LATUDA?
LATUDA is a prescription medicine used to treat:
- schizophrenia in people 13 years of age or older
- depressive episodes associated with bipolar I disorder, alone or with lithium or valproate in adults
It is not known if LATUDA is safe and effective in people under 13 years of age.
Do not take LATUDA if you are:
- allergic to lurasidone hydrochloride or any of the ingredients in LATUDA. See the end of this Medication Guide for a complete list of ingredients in LATUDA.
- taking certain other medicines called CYP3A4 inhibitors or inducers including ketoconazole, clarithromycin, ritonavir, voriconazole, mibefradil, rifampin, avasimibe, St. John’s wort, phenytoin, or carbamazepine. Ask your healthcare provider if you are not sure if you are taking any of these medicines.
Before taking LATUDA, tell your healthcare provider about all of your medical conditions, including if you:
- have or have had diabetes or high blood sugar in you or your family. Your healthcare provider should check your blood sugar before you start LATUDA and also during therapy.
- have or have had high levels of total cholesterol, triglycerides or LDL-cholesterol or low levels of HDL-cholesterol
- have or have had low or high blood pressure
- have or have had low white blood cell count
- have or have had seizures
- have or have had abnormal thyroid tests
- have or have had high prolactin levels
- have or have had heart problems
- have or have had liver problems
- are pregnant or plan to become pregnant. It is not known if LATUDA will harm your unborn baby. Using LATUDA in the last trimester of pregnancy may cause muscle movement problems, medicine withdrawal symptoms, or both in your newborn.
- If you become pregnant while taking LATUDA, talk to your healthcare provider about registering with the National Pregnancy Registry for Atypical Antipsychotics at 1-866-961-2388 or visit http://womensmentalhealth.org/clinical-and-researchprograms/pregnancyregistry/.
- are breastfeeding or plan to breastfeed. It is not known if LATUDA passes into your breast milk. You and your healthcare provider should decide if you will take LATUDA or breastfeed.
Tell your healthcare provider about all the medicines you take, including prescription and over-the-counter medicines, vitamins, and herbal supplements.
Especially tell your healthcare provider if you take or plan to take medicines for:
- depression
- high blood pressure
- Parkinson’s disease
- trouble sleeping
- abnormal heart beats or rhythm
- epilepsy
- inflammation
- psychosis
Know the medicines you take. Keep a list of your medicines to show your healthcare provider and pharmacist when you get a new medicine.
How should I take LATUDA?
- Take LATUDA exactly as your healthcare provider tells you to take it. Do not change the dose yourself.
- Take LATUDA by mouth, with food (at least 350 calories).
- If you take too much LATUDA, call your healthcare provider or poison control center at 1-800-222-1222 right away, or go to the nearest hospital emergency room.
What should I avoid while taking LATUDA?
- Avoid eating grapefruit or drinking grapefruit juice while you take LATUDA since these can affect the amount of LATUDA in the blood. Do not drive, operate machinery, or do other dangerous activities until you know how LATUDA affects you. LATUDA may make you drowsy.
- Avoid getting overheated or dehydrated.
- Do not over-exercise.
- In hot weather, stay inside in a cool place if possible.
- Stay out of the sun. Do not wear too much or heavy clothing.
- Drink plenty of water.
Do not drink alcohol while taking LATUDA. It may make some side effects of LATUDA worse.
What are the possible side effects of LATUDA?
LATUDA may cause serious side effects, including:
- See “What is the most important information I should know about LATUDA?”
- stroke that can lead to death can happen in elderly people with dementia who take medicines like LATUDA
- neuroleptic malignant syndrome (NMS). NMS is a rare but very serious condition that can happen in people who take antipsychotic medicines, including LATUDA. NMS can cause death and must be treated in a hospital. Call your healthcare provider right away if you become severely ill and have some or all of these symptoms:
- high fever
- excessive sweating
- rigid muscles
- confusion
- changes in your breathing, heartbeat, and blood pressure
- movements you cannot control in your face, tongue, or other body parts (tardive dyskinesia). These may be signs of a serious condition. Tardive dyskinesia may not go away, even if you stop taking LATUDA. Tardive dyskinesia may also start after you stop taking LATUDA.
- high blood sugar (hyperglycemia). High blood sugar can happen if you have diabetes already or if you have never had diabetes. High blood sugar could lead to:
- build-up of acid in your blood due to ketones (ketoacidosis)
- coma
- death
Increases in blood sugar can happen in some people who take LATUDA. Extremely high blood sugar can lead to coma or death. If you have diabetes or risk factors for diabetes (such as being overweight or a family history of diabetes) your healthcare provider should check your blood sugar before you start LATUDA and during therapy.
Call your healthcare provider if you have any of these symptoms of high blood sugar (hyperglycemia) while taking LATUDA:- feel very thirsty
- need to urinate more than usual
- feel very hungry
- feel weak or tired
- feel sick to your stomach
- feel confused, or your breath smells fruity
- high fat levels in your blood (increased cholesterol and triglycerides). High fat levels may happen in people treated with LATUDA. You may not have any symptoms, so your healthcare provider may decide to check your cholesterol and triglycerides during your treatment with LATUDA.
- increase in weight (weight gain). Weight gain has been reported in patients taking medicines like LATUDA. You and your healthcare provider should check your weight regularly. Talk to your healthcare provider about ways to control weight gain, such as eating a healthy, balanced diet, and exercising.
- increases in prolactin levels. Your healthcare provider may do blood tests to check your prolactin levels.
- low white blood cell count
- decreased blood pressure (orthostatic hypotension), including lightheadedness or fainting caused by a sudden change in heart rate and blood pressure when rising too quickly from a sitting or lying position.
- seizures
- difficulty swallowing
The most common side effects of LATUDA in adults include:
- Sleepiness or drowsiness
- restlessness and feeling like you need to move around (akathisia)
- difficulty moving, slow movements, muscle stiffness, or tremor
- nausea
The most common side effects of LATUDA in adolescents (13 to 17 years old) include:
- sleepiness or drowsiness
- nausea
- restlessness and feeling like you need to move around (akathisia)
- vomiting
These are not all of the possible side effects of LATUDA.
Call your doctor for medical advice about side effects. You may report side effects to FDA at 1-800-FDA-1088.
How should I store LATUDA?
- Store LATUDA tablets at room temperature between 68°F to 77°F (20°C to 25°C).
- Keep LATUDA and all medicines out of the reach of children.
General information about the safe and effective use of LATUDA.
Medicines are sometimes prescribed for purposes other than those listed in a Medication Guide. Do not use LATUDA for a condition for which it was not prescribed. Do not give LATUDA to other people, even if they have the same symptoms that you have. It may harm them. You can ask your pharmacist or healthcare provider for information about LATUDA that is written for health professionals.
What are the ingredients in LATUDA?
Active ingredient: lurasidone hydrochloride
Inactive ingredients: mannitol, pregelatinized starch, croscarmellose sodium, hypromellose, magnesium stearate, Opadry® and carnauba wax. Additionally, the 80 mg tablet contains yellow ferric oxide and FD&C Blue No. 2 Aluminum Lake
This Medication Guide has been approved by the U.S. Food and Drug Administration




