Korlym Drug Description: Detailed Datasheet
- Generic Name: mifepristone
- Brand Name: Korlym
- Drug Class: Antiprogestins
side effects drug center korlym (mifepristone) drug
Drug Description
KORLYM®
(mifepristone) Tablet for Oral Use
WARNING
TERMINATION OF PREGNANCY
Mifepristone is a potent antagonist of progesterone and cortisol via the progesterone and glucocorticoid (GR-II) receptors, respectively. The antiprogestational effects will result in the termination of pregnancy. Pregnancy must therefore be excluded before the initiation of treatment with KORLYM and prevented during treatment and for one month after stopping treatment by the use of a non-hormonal medically acceptable method of contraception unless the patient has had a surgical sterilization, in which case no additional contraception is needed. Pregnancy must also be excluded if treatment is interrupted for more than 14 days in females of reproductive potential.
DESCRIPTION
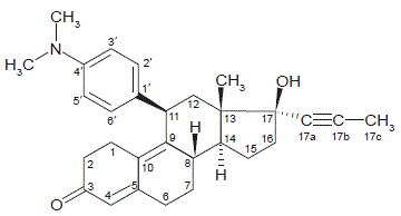
KORLYM (mifepristone) is a cortisol receptor blocker for oral administration. The chemical name of mifepristone is 11ß-(4-dimethylaminophenyl)-17ß-hydroxy-17α-(1-propynyl)-estra-4,9-dien-3-one.
The chemical formula is C29H35NO2; the molecular weight is 429.60, and the structural formula is:
![]() |
Mifepristone demonstrates a pH-related solubility profile. The greatest solubility is achieved in acidic media (~ 25 mg/mL at pH 1.5) and solubility declines rapidly as the pH is increased. At pH values above 2.5 the solubility of mifepristone is less than 1 mg/mL.
Each KORLYM tablet for oral use contains 300 mg of mifepristone. The inactive ingredients of KORLYM tablets are silicified microcrystalline cellulose, sodium starch glycolate, hydroxypropylcellulose, sodium lauryl sulfate, magnesium stearate, hypromellose, titanium dioxide, triacetin, D&C yellow 10 aluminum lake, polysorbate 80, and FD&C yellow 6 aluminum lake.
Indications
KORLYM (mifepristone) is a cortisol receptor blocker indicated to control hyperglycemia secondary to hypercortisolism in adult patients with endogenous Cushing’s syndrome who have type 2 diabetes mellitus or glucose intolerance and have failed surgery or are not candidates for surgery.
Limitations Of Use
- KORLYM should not be used in the treatment of patients with type 2 diabetes unless it is secondary to Cushing’s syndrome.
Dosage
DOSAGE AND ADMINISTRATION
Adult Dosage
The recommended starting dose is 300 mg orally once daily. KORLYM must be given as a single daily dose. KORLYM should always be taken with a meal. Patients should swallow the tablet whole. Do not split, crush, or chew tablets.
Dosing And Titration
The daily dose of KORLYM may be increased in 300 mg increments. The dose of KORLYM may be increased to a maximum of 1200 mg once daily but should not exceed 20 mg/kg per day. Increases in dose should not occur more frequently than once every 2-4 weeks. Decisions about dose increases should be based on a clinical assessment of tolerability and degree of improvement in Cushing’s syndrome manifestations. Changes in glucose control, anti-diabetic medication requirements, insulin levels, and psychiatric symptoms may provide an early assessment of response (within 6 weeks) and may help guide early dose titration. Improvements in cushingoid appearance, acne, hirsutism, striae, and body weight occur over a longer period of time and, along with measures of glucose control, may be used to determine dose changes beyond the first 2 months of therapy. Careful and gradual titration of KORLYM accompanied by monitoring for recognized adverse reactions (See WARNINGS AND PRECAUTIONS) may reduce the risk of severe adverse reactions. Dose reduction or even dose discontinuation may be needed in some clinical situations. If KORLYM treatment is interrupted, it should be reinitiated at the lowest dose (300 mg). If treatment was interrupted because of adverse reactions, the titration should aim for a dose lower than the one that resulted in treatment interruption.
Dosing In Renal Impairment
No change in initial dose of KORLYM is required in renal impairment. The maximum dose should be limited to 600 mg. [See Renal Impairment and CLINICAL PHARMACOLOGY]
Dosing In Hepatic Impairment
No change in the initial dose of KORLYM is required in mild to moderate hepatic impairment. The maximum dose should be limited to 600 mg. KORLYM should not be used in severe hepatic impairment. [See Hepatic Impairment and CLINICAL PHARMACOLOGY]
HOW SUPPLIED
Dosage Forms And Strengths
Tablets: 300 mg
Oval shaped, light yellow to yellow tablets debossed with “Corcept” on one side and “300” on the other side. The tablets are not scored.
Storage And Handling
KORLYM is supplied as a light yellow to yellow, film-coated, oval-shaped tablet debossed with “Corcept” on one side and “300” on the other. Each tablet contains 300 mg of mifepristone. KORLYM tablets are available in bottles of 28 tablets (NDC 76346-073-01) and bottles of 280 tablets (NDC 76346-073-02).
Store at controlled room temperature, 25 °C (77 °F); excursions permitted to 15 to 30 °C (59 – 86 °F). [See USP Controlled Room Temperature]
Manufactured for: Corcept Therapeutics Incorporated Menlo Park, CA 94025. Revised: Oct 2016
Side Effects
Clinical Trials Experience
Because clinical trials are conducted under widely varying conditions, the adverse reaction rates observed cannot be directly compared to rates in other clinical trials and may not reflect the rates observed in clinical practice.
Safety data on the use of KORLYM are available from 50 patients with Cushing’s syndrome enrolled in an uncontrolled, open-label, multi-center trial (Study 400). Forty-three patients had Cushing’s disease and all except one had previously undergone pituitary surgery. Four patients had ectopic ACTH secretion, and three had adrenal carcinoma. Patients were treated for up to 24 weeks. A dose of 300 mg per day was administered for the initial 14 days; thereafter, the dose could be escalated in increments of 300 mg per day based on assessments of tolerability and clinical response. Doses were escalated up to 900 mg per day for patients <60 kg, or 1200 mg per day for patients >60 kg.
The most frequently reported adverse reactions (reported in ≥20% of patients, regardless of relationship to KORLYM) were nausea, fatigue, headache, decreased blood potassium, arthralgia, vomiting, peripheral edema, hypertension, dizziness, decreased appetite, and endometrial hypertrophy. Drug-related adverse events resulted in dose interruption or reduction in study drug in 40% of patients.
The adverse reactions that occurred in ≥10% of the Cushing’s syndrome patients receiving KORLYM, regardless of relationship to KORLYM, are shown in Table 1.
Table 1. Treatment Emergent Adverse Events Occurring in ≥10% of Cushing’s Syndrome Patients Receiving KORLYM
| Body System/Adverse Reaction | Percent (%) of Patients Reporting Event (n = 50) |
| Gastrointestinal disorders | |
| Nausea | 48 |
| Vomiting | 26 |
| Dry mouth | 18 |
| Diarrhea | 12 |
| Constipation | 10 |
| General disorders and administration/site conditions | |
| Fatigue | 48 |
| Edema peripheral | 26 |
| Pain | 14 |
| Nervous system disorders | |
| Headache | 44 |
| Dizziness | 22 |
| Somnolence | 10 |
| Musculoskeletal and connective tissue disorders | |
| Arthralgia | 30 |
| Back pain | 16 |
| Myalgia | 14 |
| Pain in extremity | 12 |
| Investigations | |
| Blood potassium decreased | 34 |
| Thyroid function test abnormal | 18 |
| Infections and infestations | |
| Sinusitis | 14 |
| Nasopharyngitis | 12 |
| Metabolism and nutrition disorders | |
| Decreased appetite | 20 |
| Anorexia | 10 |
| Vascular disorders | |
| Hypertension | 24 |
| Reproductive system and breast disorders | |
| Endometrial hypertrophy | 38* |
| Respiratory, thoracic, and mediastinal disorders | |
| Dyspnea | 16 |
| Psychiatric disorders | |
| Anxiety | 10 |
| *The denominator was 26 females who had baseline and end-of-trial transvaginal ultrasound | |
Laboratory Tests
Reductions in high density lipoprotein-cholesterol (HDL-C) levels have been observed following treatment with KORLYM. In study subjects that experienced declines in HDL-C, levels returned to baseline following discontinuation of drug. The clinical significance of the treatment-related reduction in HDL-C levels in patients with Cushing’s syndrome is not known.
In a study of patients with Cushing’s syndrome, hypokalemia was observed in 44% of subjects during treatment with KORLYM. In these cases, hypokalemia responded to treatment with potassium supplementation and/or mineralocorticoid antagonist therapy (e.g., spironolactone or eplerenone). Hypokalemia should be corrected prior to initiating KORLYM. [See WARNINGS AND PRECAUTIONS]
Elevations of thyroid-stimulating hormone (TSH) were seen in subjects treated with KORLYM. Of the 42 subjects with detectable TSH at baseline, eight (19%) had increases in TSH above the normal range, while remaining asymptomatic. The TSH levels returned to normal in most patients without intervention when KORLYM was discontinued at the end of the study.
Vaginal Bleeding And Endometrial Changes
In Study 400, the thickness of the endometrium increased from a mean of 6.14 mm at baseline (n=23) to 15.7 mm at end-of-trial (n=18) in premenopausal women; in postmenopausal women the increase was from 2.75 mm (n=6) to 7.35 mm (n=8). Endometrial thickness above the upper limit of normal was reported in 10/26 females who had baseline and end-of-trial transvaginal ultrasound (38%). The endometrial thickness returned to the normal range in 3 out of 10 patients 6 weeks after treatment cessation at the end of the study. Vaginal bleeding occurred in 5 out of 35 females (14%). Two of five subjects with vaginal bleeding had normal endometrial thickness. Endometrial biopsies were performed in six patients; five of these patients had endometrial thickening. No endometrial carcinoma was detected in the sampled cases.
Additional Data Fom Clinical Trials
The following are adverse events that were reported in Study 400 at frequencies of ≥ 5% to 10%, and may be related to KORLYM’s mechanism of action:
Gastrointestinal disorders: gastroesophageal reflux, abdominal pain
General disorders and administration site conditions: asthenia, malaise, edema, pitting edema, thirst
Investigations: blood triglycerides increased
Metabolism and nutrition disorders: hypoglycemia
Musculoskeletal and connective tissue disorders: muscular weakness, flank pain, musculoskeletal chest pain
Psychiatric disorders: insomnia
Reproductive system and breast disorders: vaginal hemorrhage, metrorrhagia [See WARNINGS AND PRECAUTIONS]
Adrenal Insufficiency
Adrenal insufficiency was reported in two subjects (4%) in Study 400. The most typical symptoms of adrenal insufficiency were nausea and decreased appetite. No hypotension or hypoglycemia was reported during the events. Adrenal insufficiency resolved in both cases with KORLYM interruption and/or dexamethasone administration.
Rash
Generalized, maculo-papular rash was reported in 2 subjects (4%) in Study 400. Two additional subjects developed pruritus (4%). None resulted in discontinuation of KORLYM, and all the events resolved by the end of the study.
Postmarketing Experience
The following adverse reaction has been identified during post approval use of KORLYM. Because these reactions are reported voluntarily from a population of uncertain size, it is not always possible to reliably estimate their frequency or establish a causal relationship to drug exposure.
Drug Interactions
Based on the long terminal half-life of mifepristone after reaching steady state, at least 2 weeks should elapse after cessation of KORLYM before initiating or increasing the dose of any interacting concomitant medication.
Drugs Metabolized By CYP3A
Because KORLYM is an inhibitor of CYP3A, concurrent use of KORLYM with a drug whose metabolism is largely or solely mediated by CYP3A is likely to result in increased plasma concentrations of the drug. Discontinuation or dose reduction of such medications may be necessary with KORLYM co-administration.
KORLYM increased the exposure to simvastatin and simvastatin acid significantly in healthy subjects. Concomitant use of simvastatin or lovastatin is contraindicated because of the increased risk of myopathy and rhabdomyolysis. [See CONTRAINDICATIONS, CLINICAL PHARMACOLOGY]
The exposure of other substrates of CYP3A with narrow therapeutic ranges, such as cyclosporine, dihydroergotamine, ergotamine, fentanyl, pimozide, quinidine, sirolimus, and tacrolimus, may be increased by concomitant administration with KORLYM. Therefore, the concomitant use of such CYP3A substrates with KORLYM is contraindicated. [See CONTRAINDICATIONS]
Other drugs with similar high first pass metabolism in which CYP3A is the primary route of metabolism should be used with extreme caution if co-administered with KORLYM. The lowest possible dose and/or a decreased frequency of dosing must be used with therapeutic drug monitoring when possible. Use of alternative drugs without these metabolic characteristics is advised when possible with concomitant KORLYM.
If drugs that undergo low first pass metabolism by CYP3A or drugs in which CYP3A is not the major metabolic route are co-administered with KORLYM, use the lowest dose of concomitant medication necessary, with appropriate monitoring and follow-up. [See CLINICAL PHARMACOLOGY]
CYP3A Inhibitors
Medications that inhibit CYP3A could increase plasma mifepristone concentrations and dose reduction of KORLYM may be required.
Ketoconazole and other strong inhibitors of CYP3A, such as itraconazole, nefazodone, ritonavir, nelfinavir, indinavir, atazanavir, amprenavir and fosamprenavir, boceprevir, clarithromycin, conivaptan, lopinavir, mibefradil, posaconazole, saquinavir, telaprevir, telithromycin, or voriconazole may increase exposure to mifepristone significantly. The clinical impact of this interaction has not been studied. Therefore, extreme caution should be used when these drugs are prescribed in combination with KORLYM. The benefit of concomitant use of these agents should be carefully weighed against the potential risks. The dose of KORLYM should be limited to 300 mg and used only when necessary. [See WARNINGS AND PRECAUTIONS]
Moderate inhibitors of CYP3A, such as amprenavir, aprepitant, atazanavir, ciprofloxacin, darunavir/ritonavir, diltiazem, erythromycin, fluconazole, fosamprenavir, grapefruit juice, imatinib, or verapamil, should be used with caution when administered in combination with KORLYM.
CYP3A Inducers
No medications that induce CYP3A have been studied when co-administered with KORLYM. Avoid co-administration of KORLYM and CYP3A inducers such as rifampin, rifabutin, rifapentin, phenobarbital, phenytoin, carbamazepine, and St. John’s wort.
Drugs Metabolized By CYP2C8/2C9
Because KORLYM is an inhibitor of CYP2C8/2C9, concurrent use of KORLYM with a drug whose metabolism is largely or solely mediated by CYP2C8/2C9 is likely to result in increased plasma concentrations of the drug.
KORLYM significantly increased exposure of fluvastatin, a typical CYP2C8/2C9 substrate, in healthy subjects. When given concomitantly with KORLYM, drugs that are substrates of CYP2C8/2C9 (including non-steroidal anti-inflammatory drugs, warfarin, and repaglinide) should be used at the smallest recommended doses, and patients should be closely monitored for adverse effects. [See CLINICAL PHARMACOLOGY]
Drugs Metabolized By CYP2B6
Mifepristone is an inhibitor of CYP2B6 and may cause significant increases in exposure of drugs that are metabolized by CYP2B6 such as bupropion and efavirenz. Since no study has been conducted to evaluate the effect of mifepristone on substrates of CYP2B6, the concomitant use of bupropion and efavirenz should be undertaken with caution. [See CLINICAL PHARMACOLOGY]
Use Of Hormonal Contraceptives
Mifepristone is a progesterone-receptor antagonist and will interfere with the effectiveness of hormonal contraceptives. Therefore, non-hormonal contraceptive methods should be used.
Warnings & Precautions
WARNINGS
Included as part of the "PRECAUTIONS" Section
PRECAUTIONS
Adrenal Insufficiency
Patients receiving mifepristone may experience adrenal insufficiency. Because serum cortisol levels remain elevated and may even increase during treatment with KORLYM, serum cortisol levels do not provide an accurate assessment of hypoadrenalism in patients receiving KORLYM. Patients should be closely monitored for signs and symptoms of adrenal insufficiency, including weakness, nausea, increased fatigue, hypotension, and hypoglycemia. If adrenal insufficiency is suspected, discontinue treatment with KORLYM immediately and administer glucocorticoids without delay. High doses of supplemental glucocorticoids may be needed to overcome the glucocorticoid receptor blockade produced by mifepristone. Factors considered in deciding on the duration of glucocorticoid treatment should include the long half-life of mifepristone (85 hours).
Treatment with KORLYM at a lower dose can be resumed after resolution of adrenal insufficiency. Patients should also be evaluated for precipitating causes of hypoadrenalism (infection, trauma, etc.).
Hypokalemia
In a study of patients with Cushing’s syndrome, hypokalemia was observed in 44% of subjects during treatment with KORLYM. Hypokalemia should be corrected prior to initiating KORLYM. During KORLYM administration, serum potassium should be measured 1 to 2 weeks after starting or increasing the dose of KORLYM and periodically thereafter. Hypokalemia can occur at any time during KORLYM treatment. Mifepristone-induced hypokalemia should be treated with intravenous or oral potassium supplementation based on event severity. If hypokalemia persists in spite of potassium supplementation, consider adding mineralocorticoid antagonists.
Vaginal Bleeding And Endometrial Changes
Being an antagonist of the progesterone receptor, mifepristone promotes unopposed endometrial proliferation that may result in endometrium thickening, cystic dilatation of endometrial glands, and vaginal bleeding. KORLYM should be used with caution in women who have hemorrhagic disorders or are receiving concurrent anticoagulant therapy. Women who experience vaginal bleeding during KORLYM treatment should be referred to a gynecologist for further evaluation.
QT Interval Prolongation
Mifepristone and its metabolites block IKr. KORLYM prolongs the QTc interval in a dose-related manner. There is little or no experience with high exposure, concomitant dosing with other QT-prolonging drugs, or potassium channel variants resulting in a long QT interval. [See Use Of Strong CYP3A Inhibitors] To minimize risk, the lowest effective dose should always be used.
Exacerbation/Deterioration Of Conditions Treated With Corticosteroids
Use of KORLYM in patients who receive corticosteroids for other conditions (e.g., autoimmune disorders) may lead to exacerbation or deterioration of such conditions, as KORLYM antagonizes the desired effects of glucocorticoid in these clinical settings. For medical conditions in which chronic corticosteroid therapy is lifesaving (e.g., immunosuppression in organ transplantation), KORLYM is contraindicated. [See CONTRAINDICATIONS]
Use Of Strong CYP3A Inhibitors
KORLYM should be used with extreme caution in patients taking ketoconazole and other strong inhibitors of CYP3A, such as itraconazole, nefazodone, ritonavir, nelfinavir, indinavir, atazanavir, amprenavir, fosamprenavir, boceprevir, clarithromycin, conivaptan, lopinavir, posaconazole, saquinavir, telaprevir, telithromycin, or voriconazole, as these could substantially increase the concentration of mifepristone in the blood. The benefit of concomitant use of these agents should be carefully weighed against the potential risks. Mifepristone should be used in combination with strong CYP3A inhibitors only when necessary, and in such cases the dose should be limited to 300 mg per day. [See QT Interval Prolongation, DRUG INTERACTIONS, and CLINICAL PHARMACOLOGY]
Pneumocystis Jiroveci Infection
Patients with endogenous Cushing’s syndrome are at risk for opportunistic infections such as Pneumocystis jiroveci pneumonia during KORLYM treatment. Patients may present with respiratory distress shortly after initiation of KORLYM. Appropriate diagnostic tests should be undertaken and treatment for Pneumocystis jiroveci should be considered.
Potential Effects Of Hypercortisolemia
KORLYM does not reduce serum cortisol levels. Elevated cortisol levels may activate mineralocorticoid receptors which are also expressed in cardiac tissues. Caution should be used in patients with underlying heart conditions including heart failure and coronary vascular disease.
Patient Counseling Information
As a part of patient counseling, doctors must review the KORLYM Medication Guide with every patient. [See FDA-Approved PATIENT INFORMATION]
Importance Of Preventing Pregnancy
- Advise patients that KORLYM will cause termination of pregnancy. KORLYM is contraindicated in pregnant patients.
- Counsel females of reproductive potential regarding pregnancy prevention and planning with a non-hormonal contraceptive prior to use of KORLYM and up to one month after the end of treatment.
- Instruct patients to contact their physician immediately if they suspect or confirm they are pregnant.
Nonclinical Toxicology
Carcinogenesis, Mutagenesis, Impairment Of Fertility
Mifepristone was evaluated for carcinogenicity potential in rats and mice. Rats were dosed for up to two years at doses of 5, 25, and 125 mg/kg of mifepristone. The high dose was the maximum tolerated dose, but exposure at all doses was below exposure at the maximum clinical dose based on AUC comparison. Female rats had a statistically significant increase in follicular cell adenomas/carcinomas and liver adenomas. It is plausible that these tumors are due to drug-induced enzyme metabolism, a mechanism not considered clinically relevant, but studies confirming this mechanism were not conducted with mifepristone. Mice were also tested for up to 2 years at mifepristone doses up to the maximum tolerated dose of 125 mg/kg, which provided exposure below the maximum clinical dose based on AUC. No drug-related tumors were seen in mice.
Mifepristone was not genotoxic in a battery of bacterial, yeast, and mammalian in vitro assays, and an in vivo micronucleus study in mice.
The pharmacological activity of mifepristone disrupts the estrus cycle of adult rats at a dose of 0.3 mg/kg (less than human exposure at the maximum clinical dose, based on body surface area). However, following withdrawal of treatment and subsequent resumption of the estrus cycle, there was no effect on reproductive function when mated.
A single subcutaneous dose of mifepristone (up to 100 mg/kg) to rats on the first day after birth did not adversely affect future reproductive function in males or females, although the onset of puberty was slightly premature in dosed females. Repeated doses of mifepristone (1 mg every other day) to neonatal rats resulted in potentially adverse fertility effects, including oviduct and ovary malformations in females, delayed male puberty, deficient male sexual behavior, reduced testicular size, and lowered ejaculation frequency.
Use In Specific Populations
Pregnancy
Category X
KORLYM is contraindicated in pregnancy. KORLYM can cause fetal harm when administered to a pregnant woman because the use of KORLYM results in pregnancy loss. The inhibition of both endogenous and exogenous progesterone by mifepristone at the progesterone receptor results in pregnancy loss. If KORLYM is used during pregnancy or if the patient becomes pregnant while taking this drug, the patient should be apprised of the potential hazard to a fetus. [See CONTRAINDICATIONS]
Human Data
In a report of thirteen live births after single dose mifepristone exposure, no fetal abnormalities were noted.
Animal Data
Teratology studies in mice, rats and rabbits at doses of 0.25 to 4.0 mg/kg (less than human exposure at the maximum clinical dose, based on body surface area) were carried out. Because of the anti-progestational activity of mifepristone, fetal losses were much higher than in control animals. Skull deformities were detected in rabbit studies at less than human exposure, although no teratogenic effects of mifepristone have been observed to date in rats or mice. These deformities were most likely due to the mechanical effects of uterine contractions resulting from antagonism of the progesterone receptor.
Nursing Mothers
Mifepristone is present in human milk of women taking the drug. Because of the potential for serious adverse reactions in nursing infants from KORLYM, a decision should be made whether to discontinue nursing or to discontinue the drug, taking into account the importance of the drug to the mother.
Pediatric Use
Safety and effectiveness of KORLYM in pediatric patients have not been established.
Geriatric Use
Clinical studies with KORLYM did not include sufficient numbers of patients aged 65 and over to determine whether they respond differently than younger people.
Renal Impairment
The maximum dose should not exceed 600 mg per day in renally impaired patients.
[See CLINICAL PHARMACOLOGY]
Hepatic Impairment
In patients with mild to moderate hepatic impairment, the maximum dose should not exceed 600 mg per day. The pharmacokinetics of mifepristone in patients with severe hepatic impairment has not been studied, and KORLYM should not be used in these patients.
[See CLINICAL PHARMACOLOGY]
Females Of Reproductive Potential
Due to its anti-progestational activity, KORLYM causes pregnancy loss. Exclude pregnancy before the initiation of treatment with KORLYM or if treatment is interrupted for more than 14 days in females of reproductive potential. Recommend contraception for the duration of treatment and for one month after stopping treatment using a non-hormonal medically acceptable method of contraception. If the patient has had surgical sterilization, no additional contraception is needed.
Overdosage & Contraindications
OVERDOSE
There is no experience with overdosage of KORLYM.
CONTRAINDICATIONS
Pregnancy
KORLYM is contraindicated in women who are pregnant. Pregnancy must be excluded before the initiation of treatment with KORLYM or if treatment is interrupted for more than 14 days in females of reproductive potential. Nonhormonal contraceptives should be used during and one month after stopping treatment in all women of reproductive potential. [see Use In Specific Populations]
Drugs Metabolized By CYP3A
KORLYM is contraindicated in patients taking simvastatin, lovastatin, and CYP3A substrates with narrow therapeutic ranges, such as cyclosporine, dihydroergotamine, ergotamine, fentanyl, pimozide, quinidine, sirolimus, and tacrolimus, due to an increased risk of adverse events. [see DRUG INTERACTIONS and CLINICAL PHARMACOLOGY]
Corticosteroid Therapy Required For Lifesaving Purposes
KORLYM is contraindicated in patients who require concomitant treatment with systemic corticosteroids for serious medical conditions or illnesses (e.g., immunosuppression after organ transplantation) because KORLYM antagonizes the effect of glucocorticoids.
Women With Risk Of Vaginal Bleeding Or Endometrial Changes
KORLYM is contraindicated in the following:
- Women with a history of unexplained vaginal bleeding
- Women with endometrial hyperplasia with atypia or endometrial carcinoma
Known Hypersensitivity To Mifepristone
KORLYM is contraindicated in patients with prior hypersensitivity reactions to mifepristone or to any of the product components.
Clinical Pharmacology
Mechanism Of Action
Mifepristone is a selective antagonist of the progesterone receptor at low doses and blocks the glucocorticoid receptor (GR-II) at higher doses. Mifepristone has high affinity for the GR-II receptor but little affinity for the GR-I (MR, mineralocorticoid) receptor. In addition, mifepristone appears to have little or no affinity for estrogen, muscarinic, histaminic, or monoamine receptors.
Pharmacodynamics
Because mifepristone acts at the receptor level to block the effects of cortisol, its antagonistic actions affect the hypothalamic-pituitary-adrenal (HPA) axis in such a way as to further increase circulating cortisol levels while, at the same time, blocking their effects.
Mifepristone and the three active metabolites have greater affinity for the glucocorticoid receptor (100%, 61%, 48%, and 45%, respectively) than either dexamethasone (23%) or cortisol (9%).
Pharmacokinetics
Absorption
Following oral administration, time to peak plasma concentrations of mifepristone occurred between 1 and 2 hours following single dose, and between 1 and 4 hours following multiple doses of 600 mg of KORLYM in healthy volunteers. Mean plasma concentrations of three active metabolites of mifepristone peak between 2 and 8 hours after multiple doses of 600 mg/day, and the combined concentrations of the metabolites exceed that of the parent mifepristone. Exposure to mifepristone is substantially less than dose proportional. Time to steady state is within 2 weeks, and the mean (SD) half-life of the parent mifepristone was 85 (61) hours following multiple doses of 600 mg/day of KORLYM.
Studies evaluating the effects of food on the pharmacokinetics of KORLYM demonstrate a significant increase in plasma levels of mifepristone when dosed with food. To achieve consistent plasma drug concentrations, patients should be instructed to always take their medication with meals.
Distribution
Mifepristone is highly bound to alpha-1-acid glycoprotein (AAG) and approaches saturation at doses of 100 mg (2.5 μM) or more. Mifepristone and its metabolites also bind to albumin and are distributed to other tissues, including the central nervous system (CNS). As determined in vitro by equilibrium dialysis, binding of mifepristone and its three active metabolites to human plasma proteins was concentration-dependent. Binding was approximately 99.2% for mifepristone, and ranged from 96.1 to 98.9% for the three active metabolites at clinically relevant concentrations.
Metabolism
Cytochrome P450 3A4 (CYP3A4) has been shown to be involved in mifepristone metabolism in human liver microsomes. Two of the known active metabolites are the product of demethylation (one monodemethylated and one di-demethylated), while a third active metabolite results from hydroxylation (monohydroxylated).
Elimination And Excretion
Excretion is primarily (approximately 90%) via the fecal route.
Specific Populations
Renal Impairment
The pharmacokinetics of mifepristone in subjects with severe renal impairment (creatinine clearance [CrCL] < 30 mL/min, but not on dialysis) was evaluated following multiple doses of 1200 mg KORLYM for 7 days. Mean exposure to mifepristone increased 31%, with similar or smaller increases in metabolite exposure as compared to subjects with normal renal function (CrCL ≥ 90 mL/min). There was large variability in the exposure of mifepristone and its metabolites in subjects with severe renal impairment as compared to subjects with normal renal function (geometric least square mean ratio [CI] for AUC of mifepristone: 1.21 [0.71-2.06]; metabolite 1: 1.43 [0.84-2.44]; metabolite 2: 1.18 [0.64-2.17] and metabolite 3: 1.19 [0.71-1.99]). No change in the initial dose of KORLYM is needed for renal impairment; the maximum dose should not exceed 600 mg per day.
Hepatic Impairment
The pharmacokinetics of mifepristone in subjects with moderate hepatic impairment (Child-Pugh Class B) was evaluated in a single- and multiple-dose study (600 mg for 7 days). The pharmacokinetics in subjects with moderate hepatic impairment was similar to those with normal hepatic function. There was large variability in the exposure of mifepristone and its metabolites in subjects with moderate hepatic impairment as compared to subjects with normal hepatic function (geometric least square mean ratio [CI] for AUC of mifepristone: 1.02 [0.59-1.76]; metabolite 1: 0.95 [0.52-1.71]; metabolite 2: 1.37 [0.71-2.62] and metabolite 3: 0.62 [0.33-1.16]). Due to limited information on safety in patients with mild-to-moderate hepatic impairment, the maximum dose should not exceed 600 mg per day. The pharmacokinetics of mifepristone in patients with severe hepatic disease has not been studied. KORLYM is not recommended in patients with severe hepatic disease.
Drug-Drug Interactions
In Vitro Assessment Of Drug Interactions
In vitro studies indicate a potential for CYP-mediated drug interactions by mifepristone and/or its metabolites with substrates of CYP2A6, CYP2C8/2C9, CYP2C19, CYP3A4, CYP1A2, CYP2B6, CYP2D6, and CYP2E1. In vitro studies also indicated an interaction potential for drug transport mediated by P-glycoprotein (P-gp) and breast cancer resistance protein (BCRP). In vitro studies indicate mifepristone metabolism is mediated by CYP3A, and that mifepristone also inhibits and induces CYP3A.
In Vivo Assessment Of Drug Interactions (see Table 2)
Table 2. Summary Table of KORLYM Drug-Drug Interaction Effects
| Dosing of Mifepristone | Coadministered Drug | Dosing of Coadministered Drug | Geometric Mean Ratio (analyte ratio with/without drug coadministration) |
||
| Analyte | AUC | Cmax | |||
| Effect of KORLYM on Coadministered Drug | |||||
| Contraindicated with mifepristone [See CONTRAINDICATIONS] | |||||
| 1200 mg once daily for 10 days | simvastatin1 | 80 mg single dose | simvastatin acid simvastatin |
15.70 10.40 |
18.20 7.02 |
| Use lowest dose of coadministered drug, based on clinical experience and/or use of therapeutic drug monitoring | |||||
| 1200 mg once daily for 10 days | alprazolam2 | 1 mg single dose | alprazolam 4-hydroxy-alprazolam |
1.80 0.76 |
0.81 0.39 |
| 1200 mg once daily for 7 days | fluvastatin3 | 40 mg single dose | fluvastatin | 3.57 | 1.76 |
| 1200 mg once daily for 10 days | digoxin4 | 0.125 mg once daily | digoxin | 1.40 | 1.64 |
| Effect of Coadministered Drug on KORLYM | |||||
| No dosing adjustment required | |||||
| 300 mg once daily for 14 days | cimetidine5 | 800 mg once daily | mifepristone | 0.85* | 0.75 |
| *No effect = 90% CI within range 0.80 – 1.25 1 Simvastatin 40 mg dose used as reference for the comparison. Result could be representative of other oral drugs with CYP3A metabolism and high first pass effect: cyclosporine, midazolam, triazolam, pimozide, sildenafil, sirolimus, and tacrolimus 2 Result could be representative of other oral drugs with CYP3A metabolism and low first pass effect. Clinical significance of any interaction will depend on the therapeutic margin of the drug. 3 Result could be representative of other oral drugs with CYP2C8/C9 metabolism 4 Plasma digoxin concentration should be measured after 1 to 2 weeks of concomitant use and following usual clinical practice at appropriate intervals thereafter. 5 Result could be representative of other mild inhibitors of CYP3A |
|||||
Clinical Studies
Cushing’s Syndrome
An uncontrolled, open-label, 24-week, multicenter clinical study was conducted to evaluate the safety and efficacy of KORLYM in the treatment of endogenous Cushing’s syndrome. The study enrolled 50 subjects with clinical and biochemical evidence of hypercortisolemia despite prior surgical treatment and radiotherapy. The reasons for medical treatment were failed surgery, recurrence of disease, and poor medical candidate for surgery. Forty-three patients (86%) had Cushing’s disease, four patients (8%) had ectopic ACTH secretion, and three (6%) had adrenal carcinoma. Baseline characteristics included: mean age of 45 years (range 26 to 71), mean BMI of 36 kg/m2 (range 24 to 66), mean weight 100 kg (range 61 to 199), and mean waist circumference was 119 cm (range 89 to 178); 70% were female; 84% were white and 16% were black or African American. Baseline mean urinary free cortisol level was 365 μg per 24 hr.
Patients belonged to one of two cohorts: a “diabetes” cohort (29 patients, 26 with type 2 diabetes and 3 with glucose intolerance), and a “hypertension” cohort (21 patients). Efficacy was evaluated separately in the two cohorts. KORLYM treatment was started in all patients at a dose of 300 mg once a day. The study protocol allowed an increase in dose to 600 mg after 2 weeks, and then by additional 300 mg increments every 4 weeks to a maximum of 900 mg per day for patients <60 kg, or 1200 mg per day for patients >60 kg, based on clinical tolerance and clinical response.
Results In The Diabetes Cohort
Patients in the diabetes cohort underwent standard oral glucose tolerance tests at baseline and periodically during the clinical study. Anti-diabetic medications were allowed but had to be kept stable during the trial and patients had to be on stable anti-diabetic regimens prior to enrollment. The primary efficacy analysis for the diabetes cohort was an analysis of responders. A responder was defined as a patient who had a ≥25% reduction from baseline in glucose AUC. The primary efficacy analysis was conducted in the modified intent-to-treat population (n=25) defined as all patients who received a minimum of 30 days on KORLYM. Fifteen of 25 patients (60%) were treatment responders (95% CI: 39%,78%).
Mean HbA1c was 7.4% in the 24 patients with HbA1c values at baseline and Week 24. For these 24 patients mean reduction in HbA1c was 1.1% (95% CI -1.6, -0.7) from baseline to the end of the trial. Fourteen of 24 patients had above normal HbA1c levels at baseline, ranging between 6.7% and 10.4%; all of these patients had reductions in HbA1c by the end of the study (range -0.4 to -4.4%) and eight of 14 patients (57%) normalized HbA1c levels at trial end. Antidiabetic medications were reduced in 7 of the 15 DM subjects taking antidiabetic medication and remained constant in the others.
Results In The Hypertension Cohort
There were no changes in mean systolic and diastolic blood pressures at the end of the trial relative to baseline in the modified intent-to-treat population (n=21).
Signs And Symptoms Of Cushing’s Syndrome In Both Cohorts
Individual patients showed varying degrees of improvement in Cushing’s syndrome manifestations such as cushingoid appearance, acne, hirsutism, striae, psychiatric symptoms, and excess total body weight. Because of the variability in clinical presentation and variability of response in this open label trial, it is uncertain whether these changes could be ascribed to the effects of KORLYM.
Medication Guide
PATIENT INFORMATION
KORLYM®
(KOR-lim)
(mifepristone) Tablets
Read this Medication Guide before you start taking KORLYM and each time you get a refill. There may be new information. This information does not take the place of talking with your doctor about your medical condition or treatment.
What is the most important information I should know about KORLYM?
KORLYM can cause serious side effects, including:
- Loss of a pregnancy. Women who can become pregnant must:
- have a negative pregnancy test before starting KORLYM
- have a negative pregnancy test before restarting KORLYM if you stop taking it for more than 14 days
- use a non-hormonal form of birth control while taking KORLYM and for 1 month after stopping KORLYM. Talk to your doctor about how to prevent pregnancy. Tell your doctor right away if you think you may be pregnant.
What is KORLYM?
KORLYM is a prescription medicine used to treat high blood sugar (hyperglycemia) caused by high cortisol levels in the blood (hypercortisolism) in adults with endogenous Cushing’s syndrome who have type 2 diabetes mellitus or glucose intolerance and have failed surgery or cannot have surgery.
KORLYM is not for people who have type 2 diabetes mellitus not caused by Cushing’s syndrome.
It is not known if KORLYM is safe and effective in children.
Who should not take KORLYM?
Do not take KORLYM if you:
- are pregnant. See “What is the most important information I should know about KORLYM?”
- are taking:
- simvastatin (Zocor®, Vytorin®, Juvisync®, Simcor®)
- lovastatin (Mevacor®, Altoprev®, Advicor®)
- cyclosporine (Gengraf®, Neoral®, Restasis®, Sandimmune®)
- dihydroergotamine (Migranal®)
- ergotamine (Ergomar®, Migergot®)
- fentanyl (Abstral®, Actiq®, Duragesic®, Fentora®, Lazanda®, Onsolis®, Sublimaze Preservative Free®, Subsys®)
- pimozide (Orap®)
- quinidine (Neudexta®)
- sirolimus (Rapamune®, Torisel®)
- tacrolimus (Prograf®, Protopic®)
- must take corticosteroid medicines for other serious medical problems
- are a woman who still has her uterus (womb) and have:
- unexplained bleeding from your vagina
- changes in the cells lining your uterus (endometrial hyperplasia) or cancer of the lining of your uterus (endometrial cancer)
- are allergic to mifepristone or any of the ingredients in KORLYM. See the end of this Medication Guide for a complete list of ingredients in KORLYM.
Talk to your doctor before taking KORLYM if you have any of these conditions.
What should I tell my doctor before taking KORLYM?
Before taking KORLYM, tell your doctor if you:
- have low potassium in your blood (hypokalemia)
- have or have had a bleeding problem or are taking medicines to thin your blood
- have or have had heart problems
- have had an organ transplant
- have been taking medicines called corticosteroids (cortisone, dexamethasone, methylprednisolone, prednisolone, prednisone)
- are breastfeeding or plan to breastfeed. KORLYM passes into your breast milk and may harm your baby. You and your doctor should decide if you will take KORLYM or breastfeed. You should not do both.
Tell your doctor about all of the medicines you take, including prescription and nonprescription medicines, vitamins and herbal supplements.
Using KORLYM with certain other medicines can affect each other. Using KORLYM with other medicines can cause serious side effects.
Especially tell your doctor if you take:
- medicines to treat:
- fungal infections (such as ketoconazole)
- depression
- HIV infection
- Hepatitis C infection
- certain bacterial infections
- steroid medicines such as prednisone
- thyroid hormones
Ask your doctor or pharmacist for a list of these medicines if you are not sure.
Know the medicines you take. Keep a list of them to show to your doctor and pharmacist.
How should I take KORLYM?
- Take KORLYM exactly as your doctor tells you.
- Your doctor may change your dose if needed.
- KORLYM is usually taken 1 time each day.
- Take KORLYM with food.
- Swallow KORLYM whole. Do not split, crush or chew KORLYM tablets. If you cannot swallow KORLYM tablets whole, tell your doctor.
What should I avoid while taking KORLYM?
You should not drink grapefruit juice while you take KORLYM. Grapefruit juice may increase the amount of KORLYM in your blood and increase your chance of having side effects.
What are the possible side effects of KORLYM?
KORLYM can cause serious side effects including:
- See “What is the most important information I should know about KORLYM?”
- reduced effects of adrenal hormones (adrenal insufficiency). KORLYM stops an adrenal hormone in your body called cortisol from working. Tell your doctor right away if you have any symptoms of adrenal insufficiency. Symptoms may include:
- unusual tiredness or weakness
- nausea
- fatigue
- low blood pressure (hypotension)
- low blood sugar (hypoglycemia)
- low blood potassium (hypokalemia). Your doctor should check the level of potassium in your blood before you start taking KORLYM and while you take it. Tell your doctor if you have any signs of low potassium. Signs may include:
- muscle weakness, aches, or cramps
- abnormal or irregular heartbeats (palpitations)
- bleeding from the vagina. KORLYM may cause the lining of your uterus to become thick and may cause your uterus to bleed. Tell your doctor right away about any bleeding from your vagina that is not normal for you.
- problems with the electrical system of your heart (QT interval prolongation).
- worsening of symptoms of other medical problems that are treated with corticosteroids when you take corticosteroids and KORLYM at the same time.
The most common side effects of KORLYM include:
- nausea
- fatigue
- headache
- low potassium in your blood
- pain in your arms and legs (arthralgia)
- vomiting
- swelling of your arms and legs (peripheral edema)
- high blood pressure
- dizziness
- decreased appetite
- thickening of the lining of the uterus (endometrial hypertrophy)
Tell your doctor if you have any side effect that bothers you or that does not go away.
These are not all the possible side effects of KORLYM. For more information, ask your doctor or pharmacist.
Call your doctor for medical advice about side effects. You may report side effects to FDA at 1-800-FDA-1088.
How should I store KORLYM?
Store KORLYM at room temperature, between 68°F to 77°F (20°C to 25°C).
Keep KORLYM and all medicines out of the reach of children.
General information about the safe and effective use of KORLYM
Medicines are sometimes prescribed for purposes other than those listed in a Medication Guide.
Do not use KORLYM for a condition for which it was not prescribed. Do not give KORLYM to other people, even if they have the same symptoms you have. It may harm them.
This Medication Guide summarizes the most important information about KORLYM. If you would like more information, talk with your doctor. You can ask your doctor or pharmacist for information about KORLYM that is written for healthcare professionals.
For more information, call 1-855-4KORLYM (1-855-456-7596) or visit www.korlym.com
or www.corcept.com.
What are the ingredients in KORLYM?
Active ingredient: mifepristone
Inactive ingredients: silicified microcrystalline cellulose, sodium starch glycolate, hydroxypropylcellulose, sodium lauryl sulfate, magnesium stearate, hypromellose, titanium dioxide, triacetin, D&C yellow 10 aluminum lake, polysorbate 80, and FD&C yellow 6 aluminum lake.
This Medication Guide has been approved by the US Food and Drug Administration.

