Medical Information Only: This medication is not sold on this site. The information provided is for reference purposes only. Please consult your local physician or pharmacist for treatment.

Kloxxado Drug Description: Detailed Datasheet

Medically reviewed by Min Clinic Staff | Updated: January 2026
  • Generic Name: naloxone hydrochloride nasal spray
  • Brand Name: Kloxxado

side effects drug center kloxxado (naloxone hydrochloride nasal spray) drug

 

PROFESSIONAL

CONSUMER

Drug Description

What is KLOXXADO nasal spray and how is it used?

  • KLOXXADO nasal spray is a prescription medicine used for the treatment of an opioid emergency such as an overdose or a possible opioid overdose with signs of breathing problems and severe sleepiness or not being able to respond.
  • KLOXXADO nasal spray is to be given right away and does not take the place of emergency medical care.
  • Get emergency medical help right away after giving the first dose of KLOXXADO nasal spray, even if the person wakes up.
  • KLOXXADO nasal spray is safe and effective in children for known or suspected opioid overdose.

What are the possible side effects of KLOXXADO nasal spray?

KLOXXADO nasal spray may cause serious side effects, including:

  • Sudden opioid withdrawal symptoms. In someone who has been using opioids regularly, opioid withdrawal symptoms can happen suddenly after receiving KLOXXADO nasal spray and may include:
    • body aches
    • diarrhea
    • increased heart rate
    • fever
    • runny nose
    • sneezing
    • goose bumps
    • sweating
    • yawning
    • nausea or vomiting
    • nervousness
    • restlessness or irritability
    • shivering or trembling
    • stomach cramping
    • weakness
    • increased blood pressure

In infants under 4 weeks old who have been receiving opioids regularly, sudden opioid withdrawal may be life-threatening if not treated the right way. Signs and symptoms include: seizures, crying more than usual, and increased reflexes.

The most common side effects of KLOXXADO in adults include: stomach-area (abdomen) pain, weakness, dizziness, headache, nose (nasal) discomfort and a feeling like you are going to faint.

These are not all of the possible side effects of KLOXXADO nasal spray.

Call your doctor for medical advice about side effects. You may report side effects to FDA at 1-800-FDA-1088.

 

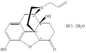
DESCRIPTION

KLOXXADO (naloxone hydrochloride) nasal spray is an opioid antagonist supplied in a pre-filled intranasal device designed to deliver a single dose of 8 mg of naloxone hydrochloride (equivalent to 7.2 mg naloxone) in 0.1mL.

Chemically, naloxone hydrochloride is the hydrochloride salt of 17-allyl-4,5α-epoxy-3,14-dihydroxymorphinan-6-one hydrochloride with molecular weight of 363.84 g/mol.

Its molecular formula is C19H21NO4.HCl, and it has the following chemical structure, as shown below.

KLOXXADO™ (naloxone hydrochloride) Structural Formula Illustration

Naloxone hydrochloride occurs as a white to slightly off-white powder, and is soluble in water, in dilute acids, and in strong alkali; slightly soluble in alcohol; practically insoluble in ether and in chloroform.

The inactive ingredients in KLOXXADO nasal spray include: dehydrated alcohol (20% (w/w)) edetate disodium dihydrate, propylene glycol, purified water, and sodium hydroxide and hydrochloric acid to adjust pH. The pH range is from 4.0 to 5.5.

 

Indications & Dosage

INDICATIONS

KLOXXADO is indicated for the emergency treatment of known or suspected opioid overdose, as manifested by respiratory and/or central nervous system depression, for adult and pediatric patients.

KLOXXADO is intended for immediate administration as emergency therapy in settings where opioids may be present.

KLOXXADO is not a substitute for emergency medical care.

 

DOSAGE AND ADMINISTRATION

Important Dosage And Administration Instructions

  • KLOXXADO is for intranasal use only.
  • The device is ready to use. Do not prime or test prior to administration.
  • Do not attempt to reuse KLOXXADO. Each KLOXXADO contains a single dose of naloxone and cannot be reused.
  • Because suspected opioid overdose is usually managed by someone other than the patient, instruct the prescription recipient to inform those around them about the presence of KLOXXADO and the Instructions for Use.

Instruct the patient or caregiver to read the Instructions for Use at the time they receive a prescription for KLOXXADO. Emphasize the following instructions to the patient or caregiver.

  • Administer KLOXXADO as quickly as possible because prolonged respiratory depression may result in damage to the central nervous system or death.
  • Always seek immediate emergency medical assistance after the first dose of KLOXXADO has been administered in the event of a suspected, potentially life-threatening opioid emergency because the duration of action of most opioids exceeds that of naloxone hydrochloride. Keep the patient under continued surveillance and administer repeated doses of KLOXXADO, as necessary, until emergency personnel arrive [see WARNINGS AND PRECAUTIONS].
  • Administer KLOXXADO according to the printed instructions on the carton and the Instructions for Use.
    • Place the patient in the supine position. Prior to administration, be sure the device nozzle is inserted in either nostril of the patient and provide support to the back of the neck to allow the head to tilt back. Do not prime or test the device prior to administration.
    • To administer the dose, press firmly on the device plunger and remove the device nozzle from the nostril after use. Place the patient in recovery position by turning him/her onto their side as shown in the Instructions for Use and call for emergency medical assistance immediately after the first dose of KLOXXADO.
    • Administer additional doses of KLOXXADO, using a new nasal spray, every 2 to 3 minutes as needed if the patient does not respond or responds and then relapses into respiratory depression. Administer KLOXXADO in alternate nostrils with each dose. [see Dosing In Adult And Pediatric Patients].

Dosing In Adult And Pediatric Patients

Initial Dosing

The recommended initial dose of KLOXXADO in adult and pediatric patients is one spray delivered by intranasal administration into one nostril, which delivers 8 mg of naloxone hydrochloride to adult or pediatric patients.

Repeat Dosing

Seek emergency medical assistance as soon as possible, after administering the first dose of KLOXXADO.

If the desired response is not obtained after 2 or 3 minutes, administer an additional dose using a new KLOXXADO in alternate nostril. If there is still no response and additional doses are available, administer additional doses of KLOXXADO every 2 to 3 minutes, alternating nostrils and using a new KLOXXADO, until emergency medical assistance arrives. The requirement for repeat doses of KLOXXADO depends upon the amount, type, and route of administration of the opioid being antagonized.

If the patient responds to KLOXXADO and subsequently relapses back into respiratory depression before emergency assistance arrives, administer an additional dose using a new KLOXXADO, in the opposite nostril, and continue surveillance of the patient.

Additional supportive and/or resuscitative measures may be helpful while awaiting emergency medical assistance.

Reversal of respiratory depression by partial agonists or mixed agonist/antagonists, such as buprenorphine and pentazocine, may be incomplete and require repeated administration of KLOXXADO using a new nasal spray [see WARNINGS AND PRECAUTIONS].

 

HOW SUPPLIED

Dosage Forms And Strengths

KLOXXADO is supplied as a single-dose, intranasal spray containing 8 mg of naloxone hydrochloride (equivalent to 7.2 mg naloxone) in 0.1 mL. It is a clear, colorless to yellow solution filled into a clear glass vial, stoppered and fitted with a unit-dose nasal spray device.

KLOXXADO (naloxone hydrochloride) nasal spray is a clear, colorless to yellow solution supplied in a single-dose spray device that consists of a stoppered glass vial encased in a container holder fitted with a spray actuator, cannula, and spray pin. It delivers a single dose of 8 mg of naloxone hydrochloride (equivalent to 7.2 mg naloxone) in 0.1 mL. Each KLOXXADO carton contains two individual blisters sealed with a paper backing with a "œpeel off" feature. The carton contains abbreviated instructions-for-use printed on the back. In addition, a quick instructions leaflet is attached to the bottom of each individual blister.

1 Carton containing two nasal spray devices: NDC# 59467-679-01

Not made with natural rubber latex.

Storage And Handling

Store KLOXXADO in the blister and cartons provided.

Store at 20 to 25°C (68°F to 77°F), with excursions permitted to 40°C (104°F) and to 5°C (41°F). Do not store at or above 40°C (104°F). Do not freeze. Protect from light.

KLOXXADO freezes at temperatures below -15°C (5°F). If this happens, the device will not spray. If KLOXXADO is frozen and is needed in an emergency, do NOT wait for KLOXXADO to thaw. Get emergency medical help right away.

However, KLOXXADO may be thawed by allowing it to sit at room temperature for 15 minutes, and it may still be used if it has been thawed after being previously frozen.

Distributed by: Hikma Specialty USA Inc. Columbus, OH 43228. Revised: Apr 2021

 

Side Effects & Drug Interactions

SIDE EFFECTS

The following serious adverse reactions are discussed elsewhere in the labeling:

  • Recurrent Respiratory and Central Nervous System Depression [see WARNINGS AND PRECAUTIONS]
  • Precipitation of Severe Opioid Withdrawal [see WARNINGS AND PRECAUTIONS]

Clinical Trials Experience

Because clinical studies are conducted under widely varying conditions, adverse reaction rates observed in the clinical studies of a drug cannot be directly compared to the rates in the clinical studies of another drug and may not reflect the rates observed in practice.

In two pharmacokinetic studies a total of 47 healthy adult volunteers were exposed to a single dose of KLOXXADO, one spray in one nostril. The following adverse reactions were reported in two subjects each: abdominal pain, asthenia, dizziness, headache, nasal discomfort, and presyncope. On local tissue assessments for nasal irritation, signs of nasal inflammation and nasal congestion were observed.

Postmarketing Experience

The following adverse events have been identified during the post-approval use of naloxone hydrochloride injection in the postoperative setting. Because these reactions are reported voluntarily from a population of uncertain size, it is not always possible to reliably estimate their frequency or establish a causal relationship to drug exposure: hypotension, hypertension, ventricular tachycardia and fibrillation, dyspnea, pulmonary edema, and cardiac arrest. Death, coma, and encephalopathy have been reported as sequelae of these events. Excessive doses of naloxone hydrochloride in postoperative patients have resulted in significant reversal of analgesia and have caused agitation.

Abrupt reversal of opioid effects in persons who were physically dependent on opioids has precipitated an acute withdrawal syndrome. Signs and symptoms have included: body aches, fever, sweating, runny nose, sneezing, piloerection, yawning, weakness, shivering or trembling, nervousness, restlessness or irritability, diarrhea, nausea or vomiting, abdominal cramps, increased blood pressure, tachycardia. In some patients, there was aggressive behavior upon abrupt reversal of an opioid overdose. In the neonate, opioid withdrawal has included: convulsions, excessive crying, hyperactive reflexes [see WARNINGS AND PRECAUTIONS].

The following most frequently reported events (in decreasing frequency) have been identified primarily during post-approval use of naloxone hydrochloride (all routes of administration): withdrawal syndrome, vomiting, nonresponsiveness to stimuli, drug ineffective, agitation, somnolence, and loss of consciousness.

 

DRUG INTERACTIONS

No Information Provided

 

Warnings & Precautions

WARNINGS

Included as part of the "PRECAUTIONS" Section

PRECAUTIONS

Risk Of Recurrent Respiratory And Central Nervous System Depression

The duration of action of most opioids may exceed that of KLOXXADO resulting in a return of respiratory and/or central nervous system depression after an initial improvement in symptoms. Therefore, it is necessary to seek emergency assistance immediately after administration of the first dose of KLOXXADO and to keep the patient under continued surveillance. Administer additional doses of KLOXXADO if the patient is not adequately responding or responds and then relapses back into respiratory depression, as necessary [see DOSAGE AND ADMINISTRATION]. Additional supportive and/or resuscitative measure may be helpful while awaiting emergency medical assistance.

Risk Of Limited Efficacy With Partial Agonists Or Mixed Agonist/Antagonists

Reversal of respiratory depression by partial agonists or mixed/antagonists such as buprenorphine and pentazocine may be incomplete. Larger or repeat doses of naloxone hydrochloride may be required to antagonize buprenorphine because the latter has a long duration of action due to its slow rate of binding and subsequent slow dissociation from the opioid receptor [see DOSAGE AND ADMINISTRATION]. Buprenorphine antagonism is characterized by a gradual onset of the reversal effects and a decreased duration of action of the normally prolonged respiratory depression.

Precipitation Of Severe Opioid Withdrawal

The use of KLOXXADO in patients who are opioid-dependent may precipitate opioid withdrawal characterized by the following signs and symptoms: body aches, diarrhea, tachycardia, fever, runny nose, sneezing, piloerection, sweating, yawning, nausea or vomiting, nervousness, restlessness or irritability, shivering or trembling, abdominal cramps, weakness, and increased blood pressure. In neonates, opioid withdrawal may be life-threatening if not recognized and properly treated and may include the following signs and symptoms: convulsion, excessive crying, and hyperactive reflexes. Monitor the patient for the development of the signs and symptoms of opioid withdrawal.

Abrupt postoperative reversal of opioid depression after using naloxone hydrochloride may result in nausea, vomiting, sweating, tremulousness, tachycardia, hypotension, hypertension, seizures, ventricular tachycardia and fibrillation, pulmonary edema, and cardia arrest. Death, coma, and encephalopathy have been reported as sequelae of these events. These events have primarily occurred in patients who had pre-existing cardiovascular disorders or received other drugs that may have similar adverse cardiovascular effects. Monitor patients with pre-existing cardiac disease or patients who have received medications with potential adverse cardiovascular effects for hypotension, ventricular tachycardia or fibrillation, and pulmonary edema in an appropriate healthcare setting. It has been suggested that the pathogenesis of pulmonary edema associated with the use of naloxone hydrochloride is similar to neurogenic pulmonary edema, i.e., a centrally mediated massive catecholamine response leading to a dramatic shift of blood volume into the pulmonary vascular bed resulting in increased hydrostatic pressures.

There may be clinical settings, particularly the postpartum period in neonates with known or suspected exposure to maternal opioid use, where it is preferable to avoid the abrupt precipitation of opioid withdrawal symptoms. In these settings, consider use of an alternative, naloxone-containing product that can be titrated to effect and, where applicable, dosed according to weight [see Use In Specific Populations].

Patient Counseling Information

Advise the patient and family members or caregivers to read the FDA-approved patient labeling (PATIENT INFORMATION and Instructions for Use).

Recognition Of Opioid Overdose

Inform patients and their family members or caregivers about how to recognize the signs and symptoms of an opioid overdose such as the following:

  • Extreme somnolence – inability to awaken a patient verbally or upon a firm sternal rub.
  • Respiratory depression – this can range from slow or shallow respiration to no respiration in a patient who is unarousable.
  • Other signs and symptoms that may accompany somnolence and respiratory depression include the following:
    • Miosis
    • Bradycardia and/or hypotension
Risk Of Recurrent Respiratory And Central Nervous System Depression

Instruct patients and their family members or caregivers that, because the duration of action of most opioids may exceed that of KLOXXADO, they must seek immediate emergency medical assistance after the first dose of KLOXXADO and keep the patient under continued surveillance [see DOSAGE AND ADMINISTRATION, WARNINGS AND PRECAUTIONS].

Limited Efficacy For/With Partial Agonists Or Mixed Agonist/Antagonists

Instruct patients and their family members or caregivers that the reversal of respiratory depression caused by partial agonists or mixed agonist/antagonists, such as buprenorphine and pentazocine, may be incomplete and may require higher doses of naloxone hydrochloride or repeated administration of KLOXXADO, using a new nasal spray each time [see DOSAGE AND ADMINISTRATION, WARNINGS AND PRECAUTIONS].

Precipitation Of Severe Opioid Withdrawal

Instruct patients and their family members or caregivers that the use of KLOXXADO in patients who are opioid dependent may precipitate opioid withdrawal [see WARNINGS AND PRECAUTIONS, ADVERSE REACTIONS].

Administration Instructions

Instruct patients and their family members or caregivers to:

  • Ensure KLOXXADO is present and readily available in locations where a person may be intentionally or accidentally exposed to an opioid overdose (i.e., opioid emergencies).
  • Administer KLOXXADO as quickly as possible if a patient is unresponsive and an opioid overdose is suspected, even when in doubt, because prolonged respiratory depression may result in damage to the central nervous system or death. KLOXXADO is not a substitute for emergency medical care [see DOSAGE AND ADMINISTRATION].
  • Lay the patient on their back and administer KLOXXADO into one nostril while providing support to the back of the neck to allow the head to tilt back [see DOSAGE AND ADMINISTRATION].
  • Use each nasal spray only one time, DO NOT test or prime prior to use [see DOSAGE AND ADMINISTRATION].
  • Place patient in a recovery position by turning him/her to their side as shown in the Instructions for Use and call for emergency medical assistance immediately after administration of the first dose of KLOXXADO. Additional supportive and/or resuscitative measures may be helpful while awaiting emergency medical assistance [see DOSAGE AND ADMINISTRATION].
  • Monitor patients and administer additional dose of KLOXXADO using a new KLOXXADO every 2 to 3 minutes, if the patient is not responding or responds and then relapses back into respiratory depression. Administer KLOXXADO in alternate nostrils with each dose [see DOSAGE AND ADMINISTRATION].
  • Replace KLOXXADO before its expiration date.

Nonclinical Toxicology

Carcinogenesis, Mutagenesis, Impairment Of Fertility

Carcinogenesis

Studies in animals to assess the carcinogenic potential of naloxone have not been conducted. Mutagenesis Naloxone was weakly positive in the Ames mutagenicity and in the in vitro human lymphocyte chromosome aberration test but was negative in the in vitro Chinese hamster V79 cell HGPRT mutagenicity assay and in the in vivo rat bone marrow chromosome aberration study.

Impairment Of Fertility

Reproduction studies conducted in mice and rats at doses 3-times and 6-times, respectively, a human dose of 16 mg/day (from two nasal sprays of KLOXXADO) based on body surface area comparison, demonstrated no adverse effects on fertility of naloxone hydrochloride.

Use In Specific Populations

Pregnancy

Risk Summary

Available data from retrospective cohort studies on naloxone use in pregnant women have not identified a drug-associated risk of major birth defects, miscarriage, or adverse maternal or fetal outcomes. Naloxone may precipitate opioid withdrawal in the pregnant woman and fetus [see WARNINGS AND PRECAUTIONS and Clinical Considerations]. In animal reproduction studies, no embryotoxic or teratogenic effects were observed in mice and rats treated with naloxone hydrochloride during the period of organogenesis at doses equivalent to 3-times and 6-times, respectively, a human dose of 16 mg/day (see Data).

The estimated background risk of major birth defects and miscarriage for the indicated population(s) is unknown. All pregnancies have a background risk of birth defect, loss, or other adverse outcomes. In the U.S. general population, the estimated background risk of major birth defects and miscarriage in clinically recognized pregnancies is 2 to 4% and 15 to 20%, respectively.

Clinical Considerations

Maternal and Fetal/Neonatal Adverse Reactions

Naloxone hydrochloride crosses the placenta, and may precipitate withdrawal in the fetus, as well as in the opioid-dependent mother [see WARNINGS AND PRECAUTIONS]. The fetus should be evaluated for signs of distress after KLOXXADO is used. Careful monitoring is needed until the fetus and mother are stabilized.

Data

Animal Data

Naloxone hydrochloride was administered during organogenesis to mice and rats at doses 3-times and 6-times, respectively, a human dose of 16 mg (from two nasal sprays of KLOXXADO) based on body surface area comparison. These studies demonstrated no embryotoxic or teratogenic effects due to naloxone hydrochloride.

Lactation

Risk Summary

There is no information regarding the presence of naloxone in human milk, the effects of naloxone on the breastfed infant or on milk production. Studies in nursing mothers have shown that naloxone does not affect prolactin or oxytocin hormone levels. Naloxone is minimally orally available and is unlikely to affect the breastfed infant.

Pediatric Use

The safety and effectiveness of KLOXXADO has been established in pediatric patients of all ages for known or suspected opioid overdose as manifested by respiratory and/or central nervous system depression. Use of naloxone hydrochloride in pediatric patients is supported by evidence from adult bioavailability studies with additional evidence from the reported safe and effective use of other naloxone hydrochloride products. No pediatric studies were conducted for KLOXXADO.

Absorption of naloxone hydrochloride following intranasal administration in pediatric patients may be erratic or delayed. Even when the opiate-intoxicated pediatric patient responds appropriately to naloxone hydrochloride, he/she must be carefully monitored for at least 24 hours, as a relapse may occur as naloxone hydrochloride is metabolized.

In opioid-dependent pediatric patients, (including neonates), administration of naloxone hydrochloride may result in an abrupt and complete reversal of opioid effects, precipitating an acute opioid withdrawal syndrome. There may be clinical settings, particularly the postpartum period in neonates with known or suspected exposure to maternal opioid use, where it is preferable to avoid the abrupt precipitation of opioid withdrawal symptoms. Unlike acute opioid withdrawal in adults, acute opioid withdrawal in neonates manifesting as seizures may be life-threatening if not recognized and properly treated. Other signs and symptoms in neonates may include excessive crying and hyperactive reflexes. In these settings where it may be preferable to avoid the abrupt precipitation of acute opioid withdrawal symptoms, consider use of an alternative, naloxone hydrochloride product that can be dosed according to weight and titrated to effect [see WARNINGS AND PRECAUTIONS].

Also, in situations where the primary concern is for infants at risk for opioid overdose, consider whether the availability of alternate naloxone-containing products may be better suited than KLOXXADO.

Juvenile Animal Study

In a juvenile animal study, male and female juvenile rats were administered a single intranasal dose of saline, vehicle consisting of 20% alcohol and 5% propylene glycol, or naloxone (123 mg/kg, 185 mg/kg, and 246 mg/kg) on postnatal day 7 (PND 7). There were no test article-related findings on sexual maturation, neuroapoptosis, or on a limited number of neurocognitive endpoints which included social interactions as well as learning and memory. The no-effect dose level for neurodevelopmental toxicity was the high dose tested, which is 6.8-times a neonate dose from two nasal sprays of KLOXXADO based on body surface area comparison and a neonate weight of 2.5 kg.

Geriatric Use

Clinical studies of KLOXXADO did not include sufficient numbers of subjects aged 65 and over to determine whether they respond differently from younger subjects. Other reported clinical experience has not identified differences in responses between the elderly and younger patients. In general, dose selection for an elderly patient should be cautious, usually starting at the low end of the dosing range, reflecting the greater frequency of decreased hepatic, renal, or cardiac function, and of concomitant disease or other drug therapy.

 

Overdosage & Contraindications

OVERDOSE

No Information Provided

 

CONTRAINDICATIONS

KLOXXADO is contraindicated in patients known to be hypersensitive to naloxone hydrochloride or to any of the other ingredients in KLOXXADO.

 

Clinical Pharmacology

Mechanism Of Action

Naloxone hydrochloride is an opioid antagonist that antagonizes opioid effects by competing for the same receptor sites. Administration of naloxone hydrochloride reverses the effects of opioids, including respiratory depression, sedation and hypotension. It can also reverse the psychotomimetic and dysphoric effects of agonist-antagonists such as pentazocine.

Pharmacodynamics

When naloxone hydrochloride is administered intravenously, the onset of action is generally apparent within two minutes. The time to onset of action is shorter for intravenous compared to subcutaneous or intramuscular routes of administration. The duration of action is dependent upon the dose and route of administration of naloxone hydrochloride.

Pharmacokinetics

In two pharmacokinetic studies in up to 24 healthy adult volunteers for each study, the bioavailability (BA) of a single 8 mg dose (one spray) of KLOXXADO was compared to a single 0.4 mg intramuscular dose and a single 2 mg intravenous dose of naloxone. Naloxone plasma concentration versus time profiles are shown in Figure 1. The pharmacokinetic parameters of naloxone are summarized in Table 1.

Figure 1: Mean ± SD Plasma Concentration-Time Profiles of Naloxone Following A Single Dose of Intranasal versus Intramuscular/Intravenous Administration in Healthy Subjects. (A:0-4 h and B: 0-30 min.)

Mean ± SD Plasma Concentration-Time Profiles of Naloxone Following A Single Dose of Intranasal versus Intramuscular/Intravenous Administration in Healthy Subjects. A:0-4 h - Illustration

Mean ± SD Plasma Concentration-Time Profiles of Naloxone Following A Single Dose of Intranasal versus Intramuscular/Intravenous Administration in Healthy Subjects. B: 0-30 min - Illustration

Table 1: Mean (CV%) Plasma Pharmacokinetic Parameters of Naloxone Following a Single Dose of Intranasal and Intramuscular/Intravenous Administration in Healthy Subjects

Parameter KLOXXADO
8 mg
Intramuscular Injection
0.4 mg
Intravenous Injection
2 mg
Study Study I Study II Study I Study II Study II
N 24 231 24 231 24
Tmax (h)2 0.25
(0.10 – 1.00)
0.25
(0.10 – 1.00)
0.25
(0.13 – 1.00)
0.25
(0.10 – 1.00)
NA
Cmax (ng/mL) 12.3 (55.4) 12.8 (37.0) 0.876 (36.7) 0.910 (36.8) 26.2 (82.4)
AUClast (ng•h/mL) 18.0 (29.6) 18.4 (33.4) 1.82 (24.0) 1.87 (24.7) 12.7 (27.6)
AUC0-inf (ng•h/mL) 16.7 (31.9)3 19.0 (32.7)4 1.94 (20.9)5 1.95 (21.9) 12.8 (27.5)
t1/2 (h) 2.69 (69.9) 1.76 (39.7)4 1.41 (20.0)5 1.40 (38.9) 1.22 (16.4)
Dose normalized Relative BA (%) vs IM Injection 41.6 47.4 100 100 NA
Dose normalized Absolute BA (%) vs IV Injection NA 36.6 NA 77.2 100
NA= Not applicable 1. N=23 due to one subject withdrawal.
2. Tmax reported as median (minimum – maximum).
3. N=15
4. N=19
5. N=22 for AUC0-inf and t1/2
6. Cmax of Intravenous Injection 2 mg was observed value from the first sampling time of 2 minutes post-dose.

Absorption

The median Tmax (15 min) for naloxone following administration of a single dose of 8 mg KLOXXADO nasal spray was the same as following administration of single intramuscular dose of 0.4 mg naloxone hydrochloride.

The dose normalized relative bioavailability of naloxone following administration of a single dose of 8 mg KLOXXADO was 42 to 47% as compared to following administration of a single intramuscular dose of 0.4 mg naloxone hydrochloride. The absolute bioavailability of naloxone following administration of a single dose of 8 mg KLOXXADO nasal spray was 37% as compared to following administration of a single intravenous dose of 2 mg naloxone hydrochloride.

Distribution

Following parenteral administration, naloxone is distributed in the body and readily crosses the placenta. Plasma protein binding occurs but is relatively weak. Plasma albumin is the major binding constitute, but significant binding of naloxone also occurs to plasma constituents other than albumin. It is not known whether naloxone is excreted into human milk.

Elimination

Following a single intranasal administration of KLOXXADO, the mean half-life (t1/2) of naloxone in plasma was 1.8 (39.7% CV) to 2.7 (69.6% CV) hours. The mean t1/2 was 1.4 (38.9% CV) to 1.4 (20.0% CV) hours for a 0.4 mg naloxone hydrochloride intramuscular injection and 1.2 (16.4% CV) hours for a 2 mg naloxone hydrochloride intravenous injection.

In a neonatal study of naloxone hydrochloride the mean (±SD) plasma half-life was observed to be 3.1 ± 0.5 hours.

Metabolism

Naloxone hydrochloride is metabolized in the liver, primarily by glucuronide conjugation, with naloxone-3-glucoronide as the major metabolite.

Excretion

After an oral or intravenous dose, about 25 to 40% of naloxone is excreted as metabolites in urine within 6 hours, about 50% in 24 hours, and 60 to 70% in 72 hours.

 

Medication Guide

PATIENT INFORMATION

KLOXXADO™
(Kloks-AH-doh)
(naloxone hydrochloride) Nasal Spray

You and your family members or caregivers should read this Patient Information leaflet before an opioid emergency happens. This information does not take the place of talking with your healthcare provider about your medical condition or your treatment.

What is the most important information I should know about KLOXXADO nasal spray?

KLOXXADO nasal spray is used to temporarily reverse the effects of opioid medicines. The medicine in KLOXXADO nasal spray has no effect in people who are not taking opioid medicines. Always carry KLOXXADO nasal spray with you in case of an opioid emergency.

  1. Use KLOXXADO nasal spray right away if you or your caregiver think signs or symptoms of an opioid emergency are present, even if you are not sure, because an opioid emergency can cause severe injury or death. Signs and symptoms of an opioid emergency may include:
    • unusual sleepiness and you are not able to awaken the person with a loud voice or by rubbing firmly on the middle of their chest (sternum)
    • breathing problems including slow or shallow breathing in someone difficult to awaken or who looks like they are not breathing
    • the black circle in the center of the colored part of the eye (pupil) is very small, sometimes called “pinpoint pupils,” in someone difficult to awaken
  2. Family members, caregivers, or other people who may have to use KLOXXADO nasal spray in an opioid emergency should know where KLOXXADO nasal spray is stored and how to give KLOXXADO nasal spray before an opioid emergency happens.
  3. Get emergency medical help right away after giving the first dose of KLOXXADO nasal spray. Rescue breathing or CPR (cardiopulmonary resuscitation) may be given while waiting for emergency medical help.
  4. The signs and symptoms of an opioid emergency can return after KLOXXADO nasal spray is given. If this happens, give another dose after 2 to 3 minutes using a new KLOXXADO nasal spray and watch the person closely until emergency help is received.

What is KLOXXADO nasal spray?

  • KLOXXADO nasal spray is a prescription medicine used for the treatment of an opioid emergency such as an overdose or a possible opioid overdose with signs of breathing problems and severe sleepiness or not being able to respond.
  • KLOXXADO nasal spray is to be given right away and does not take the place of emergency medical care.
  • Get emergency medical help right away after giving the first dose of KLOXXADO nasal spray, even if the person wakes up.
  • KLOXXADO nasal spray is safe and effective in children for known or suspected opioid overdose.

Do not use KLOXXADO nasal spray:

  • if you are allergic to naloxone hydrochloride or any of the ingredients in KLOXXADO nasal spray. See the end of this leaflet for a complete list of ingredients in KLOXXADO nasal spray.

Before using KLOXXADO nasal spray, tell your healthcare provider about all of your medical conditions, including if you:

  • have heart problems
  • are pregnant or plan to become pregnant. Use of KLOXXADO nasal spray may cause withdrawal symptoms in your unborn baby. Your unborn baby should be examined by a healthcare provider right away after you use KLOXXADO nasal spray.
  • are breastfeeding or plan to breastfeed. It is not known if KLOXXADO nasal spray passes into your breast milk.

Tell your healthcare provider about the medicines you take, including prescription and over-the-counter medicines, vitamins, and herbal supplements.

How should I use KLOXXADO nasal spray?

Read the “Instructions for Use” at the end of this Patient Information leaflet for detailed information about the right way to use KLOXXADO nasal spray.

  • Use KLOXXADO nasal spray exactly as prescribed by your healthcare provider.
  • Each KLOXXADO nasal spray contains only 1 dose of medicine and cannot be reused.
  • Lay the person on their back. Support their neck with your hand and allow the head to tilt back before giving KLOXXADO nasal spray.
  • KLOXXADO nasal spray should be given into one nostril.
  • If additional doses are needed, give KLOXXADO nasal spray in the other nostril.

What are the possible side effects of KLOXXADO nasal spray?

KLOXXADO nasal spray may cause serious side effects, including:

  • Sudden opioid withdrawal symptoms. In someone who has been using opioids regularly, opioid withdrawal symptoms can happen suddenly after receiving KLOXXADO nasal spray and may include:
    • body aches
    • diarrhea
    • increased heart rate
    • fever
    • runny nose
    • sneezing
    • goose bumps
    • sweating
    • yawning
    • nausea or vomiting
    • nervousness
    • restlessness or irritability
    • shivering or trembling
    • stomach cramping
    • weakness
    • increased blood pressure

In infants under 4 weeks old who have been receiving opioids regularly, sudden opioid withdrawal may be life-threatening if not treated the right way. Signs and symptoms include: seizures, crying more than usual, and increased reflexes.

The most common side effects of KLOXXADO in adults include: stomach-area (abdomen) pain, weakness, dizziness, headache, nose (nasal) discomfort and a feeling like you are going to faint.

These are not all of the possible side effects of KLOXXADO nasal spray.

Call your doctor for medical advice about side effects. You may report side effects to FDA at 1-800-FDA-1088.

How should I store KLOXXADO nasal spray?

  • Store at room temperature 68°F to 77°F (20°C to 25°C).
  • Do not freeze. Do not expose to temperatures below 41°F (5°C) or above 104°F (40°C).
  • Keep KLOXXADO nasal spray in its box until ready to use. Protect from light.
  • Replace KLOXXADO nasal spray before the expiration date on the box.

Keep KLOXXADO nasal spray and all medicines out of the reach of children.

General information about the safe and effective use of KLOXXADO nasal spray.

Medicines are sometimes prescribed for purposes other than those listed in a Patient Information leaflet. Do not use KLOXXADO nasal spray for a condition for which it was not prescribed. You can ask your pharmacist or healthcare provider for information about KLOXXADO nasal spray that is written for health professionals.

What are the ingredients in KLOXXADO nasal spray?

Active ingredient: naloxone hydrochloride

Inactive ingredients: dehydrated alcohol (20% (w/w)) edetate disodium dihydrate, propylene glycol, purified water, and sodium hydroxide and hydrochloric acid to adjust pH.

KLOXXADO nasal spray is not made with natural rubber latex.

Instructions for Use

KLOXXADO™
(Kloks-AH-doh)
(naloxone hydrochloride)

You and your family members or caregivers should read the Instructions for Use that comes with KLOXXADO nasal spray before using it. Talk to your healthcare provider if you and your family members or caregivers have any questions about the use of KLOXXADO nasal spray.

Use KLOXXADO nasal spray for known or suspected opioid overdose in adults and children.

Important: For use in the nose only.

  • Do not remove or test the KLOXXADO nasal spray until ready to use.
  • Each KLOXXADO nasal spray has 1 dose and cannot be reused.
  • You do not need to prime KLOXXADO nasal spray.

How to use KLOXXADO nasal spray:

Step 1. Lay the person on their back to receive a dose of KLOXXADO nasal spray.

Step 2. Remove KLOXXADO nasal spray from the box. Peel back the tab with the black triangle (Δ) to open the KLOXXADO nasal spray blister.

Remove KLOXXADO nasal spray from the box. Peel back the tab with the black triangle (?) to open the KLOXXADO nasal spray blister - Illustration

Note: KLOXXADO freezes at temperatures below 5°F (-15°C). If this happens, the device will not spray. Get emergency medical help right away if this happens. Do not wait for KLOXXADO to thaw. KLOXXADO may still be used if it has been thawed after being previously frozen.

Step 3. Hold the KLOXXADO nasal spray with your thumb on the bottom of the plunger and your first and middle fingers on either side of the nozzle.

Do not apply any pressure until you are ready to give the dose.

Hold the KLOXXADO nasal spray with your thumb on the bottom of the plunger and your first and middle fingers on either side of the nozzle - Illustration

Step 4. Tilt the person’s head back and provide support under the neck with your hand.

Gently insert the tip of the nozzle into one nostril until your fingers on either side of the nozzle are against the bottom of the person’s nose.

Tilt the person’s head back and provide support under the neck with your hand - Illustration

Step 5. Press the plunger firmly to give the dose of KLOXXADO nasal spray.

Press the plunger firmly to give the dose of KLOXXADO nasal spray - Illustration

Step 6. Remove the KLOXXADO nasal spray from the nostril after giving the dose.

What to do after KLOXXADO nasal spray has been used:

Step 7. Get emergency help right away.

  • Move the person on their side (recovery position) after giving KLOXXADO nasal spray.
  • Watch the person closely.
  • If the person does not respond by waking up, to voice or touch, or start breathing normally, another dose may be given.
  • Repeat Steps 2 through 6 using a new KLOXXADO nasal spray to give another dose in the other nostril.

Move the person on their side (recovery position) after giving KLOXXADO nasal spray - Illustration

If additional KLOXXADO nasal sprays are available, Steps 2 through 6 may be repeated every 2 to 3 minutes until the person responds or emergency medical help is received.

Repeated every 2 to 3 minutes until the person responds or emergency medical help is received - Illustration

Step 8. Put the used KLOXXADO nasal spray back into its box.

Step 9. Throw away (dispose of) the used KLOXXADO nasal spray in a place that is away from children.

How should I store KLOXXADO nasal spray?

  • Store at room temperature 68°F to 77°F (20°C to 25°C).
  • Do not freeze. Do not expose to temperatures below 41°F (5°C) or above 104°F (40°C).
  • Keep KLOXXADO nasal spray in its box until ready to use. Protect from light.
  • Replace KLOXXADO nasal spray before the expiration date on the box.

Keep KLOXXADO nasal spray and all medicines out of the reach of children.

This Instructions for Use has been approved by the U.S. Food and Drug Administration.