Jatenzo Drug Description: Detailed Datasheet
- Generic Name: testosterone undecanoate capsules
- Brand Name: Jatenzo
- Drug Class: ANDROGENS
side effects drug center jatenzo (testosterone undecanoate capsules) drug
Drug Description
What is Jatenzo and how is it used?
Jatenzo is a prescription medicine used to treat the symptoms of Hypogonadism, Delayed Puberty in Males, and Inoperable Mammary Cancer in Women. Jatenzo may be used alone or with other medications.
Jatenzo belongs to a class of drugs called Androgens.
It is not known if Jatenzo is safe and effective in children younger than 12 years of age.
What are the possible side effects of Jatenzo?
Jatenzo may cause serious side effects including:
- hives,
- difficulty breathing,
- swelling of your face, lips, tongue, or throat,
- mental or mood changes,
- anxiety,
- depression,
- increased anger,
- trouble sleeping,
- snoring,
- sleep apnea,
- nausea or vomiting that doesn’t stop,
- loss of appetite,
- stomach pain,
- yellowing of the eyes or skin (jaundice),
- dark urine,
- swelling of the hands, feet, and ankles,
- unusual tiredness,
- fast or irregular heartbeat,
- trouble urinating,
- increased urination (especially at night),
- breast swelling or tenderness,
- too frequent or prolonged erections,
- shortness of breath,
- rapid breathing,
- chest, jaw, or left arm pain,
- unusual sweating,
- confusion,
- sudden dizziness,
- fainting,
- pain, swelling, or warmth in the groin or calf,
- sudden or severe headache,
- trouble speaking,
- weakness on one side of the body,
- sudden vision changes,
- an erection that is painful or lasting 4 or more hours,
- decreased sperm production,
- rash,
- itching, and
- severe dizziness
Get medical help right away, if you have any of the symptoms listed above.
The most common side effects of Jatenzo include:
- nausea,
- vomiting,
- headache,
- skin color changes,
- increased or decreased sexual interest,
- oily skin,
- hair loss, and
- acne
Tell the doctor if you have any side effect that bothers you or that does not go away.
These are not all the possible side effects of Jatenzo. For more information, ask your doctor or pharmacist.
Call your doctor for medical advice about side effects. You may report side effects to FDA at 1-800-FDA-1088.
WARNING
BLOOD PRESSURE INCREASES
- JATENZO can cause blood pressure (BP) increases that can increase the risk of major adverse cardiovascular events (MACE), including non-fatal myocardial infarction, non-fatal stroke and cardiovascular death, with greater risk for MACE in patients with cardiovascular risk factors or established cardiovascular disease [see WARNINGS AND PRECAUTIONS and ADVERSE REACTIONS].
- Before initiating JATENZO, consider the patient’s baseline cardiovascular risk and ensure blood pressure is adequately controlled.
- Starting approximately 3 weeks after initiating therapy or changing the dose, periodically monitor for and treat new-onset hypertension or exacerbations of pre-existing hypertension in patients on JATENZO.
- Re-evaluate whether the benefits of JATENZO outweigh its risks in patients who develop cardiovascular risk factors or cardiovascular disease while on treatment.
- Due to this risk, use JATENZO only for the treatment of men with hypogonadal conditions associated with structural or genetic etiologies [see INDICATIONS AND USAGE and CONTRAINDICATIONS].
DESCRIPTION
JATENZO for oral use is provided as a gelatin capsule containing testosterone undecanoate, a fatty-acid ester of testosterone. Testosterone undecanoate is a white to off-white yellow crystalline powder. Testosterone, an androgen, is formed by cleavage of the ester side chain of testosterone undecanoate.
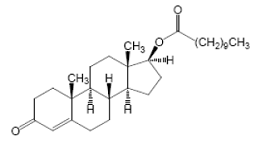
Testosterone undecanoate is chemically described as 17β-hydroxyandrost-4-en-3-one undecanoate. It has the empirical formula of C30H48O3 and the molecular weight of 456.7. The structural formula for testosterone undecanoate is presented in Figure 1.
Figure 1: Testosterone Undecanoate
![]() |
JATENZO capsules are available in three strengths of 158 mg, 198 mg, and 237 mg.
The 158 mg strength is an opaque red capsule that contains 158 mg of testosterone undecanoate and is imprinted with “158” in white ink. The 198 mg strength is an opaque white capsule that contains 198 mg of testosterone undecanoate and is imprinted with “198” in red ink. The 237 mg strength is an opaque orange capsule that contains 237 mg of testosterone undecanoate and is imprinted with “237” in white ink. All capsule strengths also contain oleic acid, polyoxyl 40 hydrogenated castor oil (Cremophor RH 40), borage seed oil, peppermint oil, and butylated hydroxytoluene as inactive ingredients.
Gelatin capsule shells are composed of the following inactive ingredients: Gelatin, sorbitol, glycerin, purified water, iron oxide red, FD&C Yellow #6, and titanium dioxide.
Indications
JATENZO (testosterone undecanoate) is an androgen indicated for testosterone replacement therapy in adult males for conditions associated with a deficiency or absence of endogenous testosterone:
- Primary hypogonadism (congenital or acquired): testicular failure due to cryptorchidism, bilateral torsion, orchitis, vanishing testis syndrome, orchiectomy, Klinefelter syndrome, chemotherapy, or toxic damage from alcohol or heavy metals. These men usually have low serum testosterone concentrations and gonadotropins (follicle-stimulating hormone [FSH], luteinizing hormone [LH]) above the normal range.
- Hypogonadotropic hypogonadism (congenital or acquired): gonadotropin or luteinizing hormone-releasing hormone (LHRH) deficiency or pituitary-hypothalamic injury from tumors, trauma, or radiation. These men have low testosterone serum concentrations but have gonadotropins in the normal or low range.
Limitations Of Use
- Safety and efficacy of JATENZO in males less than 18 years old have not been established [see Use In Specific Populations].
Dosage
DOSAGE AND ADMINISTRATION
Confirmation Of Hypogonadism Before Initiation Of JATENZO
Prior to initiating JATENZO, confirm the diagnosis of hypogonadism by ensuring that serum testosterone concentrations have been measured in the morning on at least two separate days and that these testosterone concentrations are below the normal range.
Dosing And Dose Adjustment Information
Individualize the dosage of JATENZO based on the patient’s serum testosterone concentration response to the drug. The recommended starting dose is 237 mg taken orally twice daily, once in the morning and once in the evening. Take JATENZO with food.
Dose Adjustment
To ensure proper dose adjustment, measure serum testosterone concentrations 6 hours after the morning dose in plain tubes, clotted at room temperature for 30 minutes prior to centrifugation. Adjust the JATENZO dose based on this serum testosterone measurement as shown in Table 1. Wait seven days after starting treatment or adjusting the dose before checking the serum testosterone concentration. Thereafter, periodically monitor serum testosterone concentrations 6 hours after the morning dose.
Administer the same dose in the morning and evening. The minimum recommended dose is 158 mg twice daily. The maximum recommended dose is 396 mg (two 198 mg capsules) twice daily.
Table 1: JATENZO Dose Adjustment Scheme
| Testosterone Concentration in Serum From Plain Tube Drawn 6 hours After Morning Dose | Current JATENZO Dose (mg, twice daily) | New JATENZO Dose (mg, twice daily) |
| Less than 425 ng/dL | 158 | 198 |
| 198 | 237 | |
| 237 | 316 (two 158 mg capsules) | |
| 316 (two 158 mg capsules) | 396 (two 198 mg capsules) | |
| 425 ng/dL - 970 ng/dL | No Dose Change | |
| More than 970 ng/dL | 396 (two 198 mg capsules) | 316 (two 158 mg capsules) |
| 316 (two 158 mg capsules) | 237 | |
| 237 | 198 | |
| 198 | 158 | |
| 158 | Discontinue Treatment | |
HOW SUPPLIED
Dosage Forms And Strengths
JATENZO capsules for oral use are available in three strengths:
- The 158 mg testosterone undecanoate capsules are opaque red and imprinted with “158” in white ink.
- The 198 mg testosterone undecanoate capsules are opaque white and imprinted with “198” in red ink.
- The 237 mg testosterone undecanoate capsules are opaque orange and imprinted with “237” in white ink.
Storage And Handling
JATENZO (testosterone undecanoate) capsules are available in three strengths of 158 mg, 198 mg, and 237 mg. Capsules are packaged as 120 units in wide-mouth, round, white HDPE bottles with white, polypropylene, child resistant caps and induction-sealed liner.
158 mg capsules are opaque red capsules imprinted with “158” in white ink and are supplied in bottles: NDC 69087-158-12.
198 mg capsules are opaque white capsules imprinted with “198” in red ink and are supplied in bottles: NDC 69087-198-12.
237 mg capsules are opaque orange capsules imprinted with “237” in white ink and are supplied in bottles: NDC 69087-237-12.
Keep JATENZO out of reach of children.
Store at 20°C to 25°C (68°F to 77°F), excursions permitted to 15°C to 30°C (59°F to 86°F). Avoid exposing the capsules to moisture (store in a dry place).
Marketed by: Clarus Therapeutics, Inc., 555 Skokie Blvd., Suite 340, Northbrook, IL 60062, USA. Revised: Mar 2019
Side Effects
Clinical Trial Experience
Because clinical trials are conducted under widely varying conditions, adverse reaction rates observed in the clinical trials of a drug cannot be directly compared to rates in the clinical trials of another drug and may not reflect the rates observed in practice.
The safety of JATENZO was evaluated in a randomized, controlled clinical study with 166 patients treated with JATENZO twice daily with morning and evening meals for approximately 4 months. All patients were started on 237 mg twice daily, then the dose was titrated to 158 mg, 198 mg, 316 mg, or 396 mg twice daily to achieve testosterone concentrations in the eugonadal range.
Table 2 summarizes adverse reactions (≥2%) reported in this 4-month study.
Table 2: Number (%) of Patients with Adverse
Reactions ≥ 2% in a 4-Month Study with JATENZO
| Preferred Term | Overall (N = 166) n (%) |
| Headache | 8 (4.8) |
| Hematocrit increased | 8 (4.8) |
| Hypertension | 6 (3.6) |
| High-density lipoprotein decreased | 5 (3.0) |
| Nausea | 4 (2.4) |
Among the 569 patients who received JATENZO in all Phase 2 and 3 trials combined, the following adverse reactions were reported in >2% of patients: polycythemia, diarrhea, dyspepsia, eructation, peripheral edema, nausea, increased hematocrit, headache, prostatomegaly, and hypertension.
Three of the 166 patients (1.8%) in the 4-month study experienced adverse reactions that led to premature discontinuation from the study, including rash (n=1) and headache (n=2).
BP Increases
In the 4-month clinical study, 24-hour ABPM was conducted on 166 patients. ABPM was conducted at baseline and at Day 139 of JATENZO therapy. A total of 135 patients had acceptable ABPM recordings at both time periods. In that group, the mean change in 24-hour systolic BP and diastolic BP from baseline to final on-treatment visit on Day 139 (n=135) was 4.9 mmHg (95% CI 3.5, 6.4) and 2.5 mmHg (95% CI 1.5, 3.6), respectively.
The ABPM systolic and diastolic increases were larger in patients with a history of hypertension who were being treated with antihypertensive therapy (5.4 mmHg [95% CI 3.3, 7.6] and 3.2 mmHg [95% CI 1.7, 4.7], respectively [n=67]) compared to patients with no history of hypertension at baseline (4.4 mmHg [95% CI 2.3, 6.4] and 1.8 mmHg [95% CI 0.2, 3.3], respectively [n=63]).
The BP measured in a clinic setting using BP cuff measurements rose during the course of treatment with a mean systolic increase of 2.8 mmHg (95% CI 1.0, 4.6) and a mean diastolic increase of 0.6 mmHg (95% CI -0.7, 1.9) at the final on-treatment visit (Day 139).
Twelve (7.2%) patients on JATENZO started antihypertensive or had their antihypertensive regimen increased during the course of the study. A total of 6 patients were reported to have an adverse reaction of hypertension (2 patients with hypertension and 4 patients with worsening hypertension), and 3 were reported to have an adverse reaction of increased blood pressure.
HR Increases
JATENZO increased mean heart rate by an average of 2.2 beats per minute (bpm) [95% CI (1.0, 3.3), N=135] during the study. Patients without a history of hypertension had a greater average increase in mean heart rate (2.7 bpm [95% CI (0.8, 4.6), N=63]) compared to patients with treated hypertension (1.9 bpm [95% CI (0.3, 3.5), N=67)]).
Increases In Hematocrit
Increases in hematocrit were reported in 8 of the 166 (4.8%) patients, which occurred in the second half of the study. None of these increases led to premature discontinuation of JATENZO.
Headaches
Headaches were reported in 8 of the 166 patients (4.8%) of which three required treatment with analgesics or non-steroidal anti-inflammatory drugs and 2 led to premature discontinuation from the study. Five of these 8 patients had headache events that resolved within 1 to 2 days.
Depression And Suicidal Ideation
Two of the 166 patients (1.2%) reported either worsening depression (n=1) or new-onset depression (n=1). One of the 569 patients (0.2%) in clinical trials had suicidal ideation. Each patient completed the study.
Increases In Serum PSA
The mean increase from baseline in PSA was 0.2 ng/mL (n=161). Increases in serum PSA concentrations, defined as an increase from baseline of at least 1.4 ng/mL or PSA greater than 4 ng/mL, occurred in 3 (1.9%) of the patients at the final visit.
Postmarketing Experience
The following adverse reactions have been identified during post-approval use of testosterone. Because these reactions are reported voluntarily from a population of uncertain size, it is not always possible to reliably estimate their frequency or establish a causal relationship to drug exposure.
Cardiovascular Disorders: myocardial infarction, stroke [see WARNINGS AND PRECAUTIONS]
Vascular Disorders: Venous thromboembolism [see WARNINGS AND PRECAUTIONS]
Drug Interactions
Insulin
Changes in insulin sensitivity or glycemic control may occur in patients treated with androgens. In diabetic patients, the metabolic effects of androgens may decrease blood glucose and, therefore, may necessitate a decrease in the dose of anti-diabetic medication.
Oral Vitamin K Antagonist Anticoagulants
Changes in anticoagulant activity may be seen with androgens; therefore, more frequent monitoring of international normalized ratio (INR) and prothrombin time are recommended in patients taking warfarin, especially at the initiation and termination of androgen therapy.
Corticosteroids
The concurrent use of testosterone with corticosteroids may result in increased fluid retention and requires careful monitoring particularly in patients with cardiac, renal or hepatic disease.
Medications That May Also Increase Blood Pressure
Some prescription medications and nonprescription analgesic and cold medications contain drugs known to increase blood pressure. Concomitant administration of these medications with JATENZO may lead to additional increases in blood pressure [see BOXED WARNING and WARNINGS AND PRECAUTIONS].
Drug Abuse And Dependence
Controlled Substance
JATENZO contains testosterone undecanoate, which is a Schedule III controlled substance as defined under the Controlled Substances Act.
Abuse
Drug abuse is intentional non-therapeutic use of a drug, even once, for its rewarding psychological and physiological effects. Abuse and misuse of testosterone are seen in male and female adults and adolescents. Testosterone, often in combination with other anabolic androgenic steroids (AAS), and not obtained by prescription through a pharmacy, may be abused by athletes and bodybuilders. There have been reports of misuse by men taking higher doses of legally obtained testosterone than prescribed and continuing testosterone despite adverse events or against medical advice.
Abuse-Related Adverse Reactions
Serious adverse reactions have been reported in individuals who abuse anabolic androgenic steroids and include cardiac arrest, myocardial infarction, hypertrophic cardiomyopathy, congestive heart failure, cerebrovascular accident, hepatotoxicity, and serious psychiatric manifestations, including major depression, mania, paranoia, psychosis, delusions, hallucinations, hostility and aggression.
The following adverse reactions have also been reported in men: transient ischemic attacks, convulsions, hypomania, irritability, dyslipidemias, testicular atrophy, subfertility, and infertility.
The following additional adverse reactions have been reported in women: hirsutism, virilization, deepening of voice, clitoral enlargement, breast atrophy, male-pattern baldness, and menstrual irregularities.
The following adverse reactions have been reported in male and female adolescents: premature closure of bony epiphyses with termination of growth, and precocious puberty.
Because these reactions are reported voluntarily from a population of uncertain size and may include abuse of other agents, it is not always possible to reliably estimate their frequency or establish a causal relationship to drug exposure.
Dependence
Behaviors Associated With Addiction
Continued abuse of testosterone and other anabolic steroids, leading to addiction is characterized by the following behaviors:
- Taking greater dosages than prescribed
- Continued drug use despite medical and social problems due to drug use
- Spending significant time to obtain the drug when supplies of the drug are interrupted
- Giving a higher priority to drug use than other obligations
- Having difficulty in discontinuing the drug despite desires and attempts to do so
- Experiencing withdrawal symptoms upon abrupt discontinuation of use
Physical dependence is characterized by withdrawal symptoms after abrupt drug discontinuation or a significant dose reduction of a drug. Individuals taking supratherapeutic doses of testosterone may experience withdrawal symptoms lasting for weeks or months which include depressed mood, major depression, fatigue, craving, restlessness, irritability, anorexia, insomnia, decreased libido and hypogonadotropic hypogonadism.
Drug dependence in individuals using approved doses of testosterone for approved indications has not been documented.
Warnings & Precautions
WARNINGS
Included as part of the PRECAUTIONS section.
PRECAUTIONS
Increase In Blood Pressure
In a clinical trial, JATENZO increased systolic BP during 4 months of treatment by an average of 4.9 mmHg based on ambulatory blood pressure monitoring (ABPM) and by an average of 2.8 mmHg from baseline based on blood pressure cuff measurements [see ADVERSE REACTIONS]. Average blood pressures had not plateaued at the end of the trial. Seven percent of JATENZOtreated patients were started on antihypertensive medications or required intensification of their antihypertensive medication regimen during the 4-month trial.
These BP increases can increase the risk of MACE, with greater risk in patients with established cardiovascular disease or risk factors for cardiovascular disease [see BOXED WARNING].
In some patients, the increase in BP with JATENZO may be too small to detect, but can still increase the risk for MACE.
Before initiating JATENZO, consider the patient’s baseline cardiovascular risk and ensure blood pressure is adequately controlled. Check BP approximately 3 weeks after initiating JATENZO or increasing the dose and periodically thereafter. Treat new-onset hypertension or exacerbations of pre-existing hypertension. Re-evaluate whether the benefits of continued treatment with JATENZO outweigh its risks in patients who develop cardiovascular risk factors or cardiovascular disease.
JATENZO is contraindicated in men with hypogonadal conditions such as “age-related hypogonadism,” because the efficacy of JATENZO has not been established for these conditions and the increases in BP can increase the risk of MACE [see CONTRAINDICATIONS].
Polycythemia
Increases in hematocrit reflective of increases in red blood cell mass, may require lowering the dose or discontinuation of JATENZO. Check that hematocrit is not elevated prior to initiating JATENZO. Evaluate hematocrit approximately every 3 months while the patient is on JATENZO. If hematocrit becomes elevated, stop JATENZO until the hematocrit decreases to an acceptable concentration. If JATENZO is restarted and again causes hematocrit to become elevated, stop JATENZO permanently. An increase in red blood cell mass may increase the risk of thromboembolic events [see Venous Thromboembolism].
Cardiovascular Risk
Long term clinical safety trials have not been conducted to assess the cardiovascular outcomes of testosterone replacement therapy in men. To date, epidemiologic studies and randomized controlled trials have been inconclusive for determining the risk of MACE, such as non-fatal myocardial infarction, non-fatal stroke, and cardiovascular death, with the use of testosterone compared to non-use. Some studies, but not all, have reported an increased risk of MACE in association with use of testosterone replacement therapy in men.
JATENZO can cause BP increases that can increase the risk of MACE [see BOXED WARNING and Increase In Blood Pressure]. Patients should be informed of this possible risk when deciding whether to use or to continue to use JATENZO.
Worsening Of Benign Prostatic Hyperplasia (BPH) And Potential Risk Of Prostate Cancer
Patients with BPH treated with androgens are at an increased risk for worsening of signs and symptoms of BPH. Monitor patients with BPH for worsening signs and symptoms.
Patients treated with androgens may be at increased risk for prostate cancer. Evaluate patients for prostate cancer prior to initiating and during treatment with androgens [see CONTRAINDICATIONS].
Venous Thromboembolism
There have been postmarketing reports of venous thromboembolic events, including deep vein thrombosis (DVT) and pulmonary embolism (PE), in patients using testosterone replacement products such as JATENZO. Evaluate patients who report symptoms of pain, edema, warmth and erythema in the lower extremity for DVT and those who present with acute shortness of breath for PE. If a venous thromboembolic event is suspected, discontinue treatment with JATENZO and initiate appropriate workup and management [see ADVERSE REACTIONS].
Abuse Of Testosterone And Monitoring Of Testosterone Concentrations
Testosterone has been subject to abuse, typically at doses higher than recommended for the approved indication and in combination with other anabolic androgenic steroids. Anabolic androgenic steroid abuse can lead to serious cardiovascular and psychiatric adverse reactions [see Drug Abuse And Dependence].
If testosterone abuse is suspected, check testosterone concentrations to ensure they are within therapeutic range [see DOSE AND ADMINISTRATION]. However, testosterone levels may be in the normal or subnormal range in men abusing synthetic testosterone derivatives. Counsel patients concerning the serious adverse reactions associated with abuse of testosterone and anabolic androgenic steroids. Conversely, consider the possibility of testosterone and anabolic androgenic steroid abuse in suspected patients who present with serious cardiovascular or psychiatric adverse events.
Not For Use In Women
Due to lack of controlled studies in women and potential virilizing effects, JATENZO is not indicated for use in women [see CONTRAINDICATIONS and Use In Specific Populations].
Potential For Adverse Effects On Spermatogenesis
With large doses of exogenous androgens, including JATENZO, spermatogenesis may be suppressed through feedback inhibition of pituitary FSH possibly leading to adverse effects on semen parameters including sperm count [see Use In Specific Populations]. Patients should be informed of this possible risk when deciding whether to use or to continue to use JATENZO.
Hepatic Adverse Effects
Prolonged use of high doses of orally active 17-alpha-alkyl androgens (e.g., methyltestosterone) has been associated with serious hepatic adverse effects (peliosis hepatis, hepatic neoplasms, cholestatic hepatitis, and jaundice). Peliosis hepatis can be a life-threatening or fatal complication. Long-term therapy with intramuscular testosterone enanthate has produced multiple hepatic adenomas. JATENZO is not known to cause these adverse effects. Nonetheless, patients should be instructed to report any signs or symptoms of hepatic dysfunction (e.g. jaundice). If these occur, promptly discontinue JATENZO while the cause is evaluated.
Edema
Androgens, including JATENZO, may promote retention of sodium and water. Edema, with or without congestive heart failure, may be a serious complication in patients with pre-existing cardiac, renal, or hepatic disease. In addition to discontinuation of the drug, diuretic therapy may be required.
Gynecomastia
Gynecomastia may develop and persist in patients being treated for hypogonadism.
Sleep Apnea
The treatment of hypogonadal men with testosterone may potentiate sleep apnea in some patients, especially those with risk factors such as obesity or chronic lung disease.
Lipids
Changes in the serum lipid profile may require dose adjustment of lipid lowering drugs or discontinuation of testosterone therapy. Monitor the lipid profile periodically, particularly after starting testosterone therapy.
Hypercalcemia
Androgens, including JATENZO, should be used with caution in cancer patients at risk of hypercalcemia (and associated hypercalciuria). Monitor serum calcium concentrations regularly during treatment with JATENZO in these patients.
Decreased Thyroxine-binding Globulin
Androgens, including JATENZO, may decrease concentrations of thyroxin-binding globulin, resulting in decreased total T4 serum concentrations and increased resin uptake of T3 and T4. Free thyroid hormone concentrations remain unchanged, however, and there is no clinical evidence of thyroid dysfunction.
Risk Of Depression And Suicide
Depression and suicidal ideation has been reported in patients treated with JATENZO in clinical trials. Advise patients and caregivers to seek medical attention for manifestations of new onset or worsening depression, suicidal ideation or behavior, anxiety, or other mood changes [see Adverse Events].
Patient Counseling Information
Advise the patient to read the FDA-approved patient labeling (Medication Guide).
Increased Blood Pressure and Risk for Major Adverse Cardiovascular Events (MACE)
- Inform patients that JATENZO can increase BP that can increase the risk for MACE, including myocardial infarction, stroke, and cardiovascular death.
- Instruct patients about the importance of monitoring BP periodically while on JATENZO. If BP increases while on JATENZO, antihypertensive medications may need to be started, added, or adjusted to control BP, or JATENZO may need to be discontinued.
Other Adverse Reactions
Inform patients that treatment with androgens may lead to adverse reactions which include:
- Changes in urinary habits related to effects on prostate size, such as increased urination at night, hesitancy, frequency, urinary urgency, having a urine accident, being unable to pass urine and weak urine flow
- Breathing disturbances that may reflect obstructive sleep apnea, including those associated with sleep, or excessive daytime sleepiness
- Too frequent or persistent erections of the penis
- Ankle swelling that may reflect peripheral edema
- Red blood cell count increase
- PSA increase
- Nausea and vomiting
Instruct patients to report any changes in their state of health, such as changes in urinary habits, breathing, sleep, and mood including new onset or worsening of depression, or suicidal ideation.
Keep JATENZO out of the reach of children.
Nonclinical Toxicology
Carcinogenesis, Mutagenesis, Impairment Of Fertility
Carcinogenesis
Testosterone has been tested by subcutaneous injection and implantation in mice and rats. In mice, the implant induced cervical-uterine tumors, which metastasized in some cases. There is suggestive evidence that injection of testosterone into some strains of female mice increases their susceptibility to hepatoma. Testosterone is also known to increase the number of tumors and decrease the degree of differentiation of chemically induced carcinomas of the liver in rats.
Mutagenesis
Testosterone was negative in the in vitro Ames and in the in vivo mouse micronucleus assays.
Impairment Of Fertility
The administration of exogenous testosterone suppresses spermatogenesis in the rat, dog and non-human primates, which was reversible on cessation of the treatment.
Use In Specific Populations
Pregnancy
Risk Summary
JATENZO is contraindicated in pregnant women. Testosterone is teratogenic and may cause fetal harm based on data from animal studies and its mechanism of action [see CONTRAINDICATIONS and CLINICAL PHARMACOLOGY]. Exposure of a female fetus to androgens may result in varying degrees of virilization. In animal developmental studies, exposure to testosterone in utero resulted in hormonal and behavioral changes in offspring and structural impairments of reproductive tissues in female and male offspring. These studies did not meet current standards for nonclinical development toxicity studies.
Data
Animal Data
In developmental studies conducted in rats, rabbits, pigs, sheep and rhesus monkeys, pregnant animals received intramuscular injection of testosterone during the period of organogenesis. Testosterone treatment at doses that were comparable to those used for testosterone replacement therapy resulted in structural impairments in both female and male offspring. Structural impairments observed in females included increased anogenital distance, phallus development, empty scrotum, no external vagina, intrauterine growth retardation, reduced ovarian reserve, and increased ovarian follicular recruitment. Structural impairments seen in male offspring included increased testicular weight, larger seminal tubular lumen diameter, and higher frequency of occluded tubule lumen. Increased pituitary weight was seen in both sexes.
Testosterone exposure in utero also resulted in hormonal and behavioral changes in offspring. Hypertension was observed in pregnant female rats and their offspring exposed to doses approximately twice those used for testosterone replacement therapy.
Lactation
Risk Summary
JATENZO is not indicated for use in women.
Females And Males Of Reproductive Potential
Infertility
During treatment with large doses of exogenous androgens, including JATENZO, spermatogenesis may be suppressed through feedback inhibition of the hypothalamic-pituitarytesticular axis [see WARNINGS AND PRECAUTIONS], possibly leading to adverse effects on semen parameters including sperm count. Reduced fertility is observed in some men taking testosterone replacement therapy. Testicular atrophy, subfertility, and infertility have also been reported in men who abuse anabolic androgenic steroids [see Drug Abuse And Dependence]. With either type of use, the impact on fertility may be irreversible.
Pediatric Use
The safety and efficacy of JATENZO in pediatric patients less than 18 years old have not been established. Improper use may result in acceleration of bone age and premature closure of epiphyses.
Geriatric Use
There have not been sufficient numbers of geriatric patients involved in controlled clinical studies utilizing JATENZO to determine whether efficacy or safety in those over 65 years of age differs from younger subjects. No patients over 65 years of age were enrolled in the 4-month efficacy and safety clinical study utilizing JATENZO. Additionally, there is insufficient longterm safety data in geriatric patients utilizing JATENZO to assess the potentially increased risk of cardiovascular disease and prostate cancer.
Geriatric patients treated with androgens may also be at risk for worsening of signs and symptoms of BPH [see WARNINGS AND PRECAUTIONS].
Overdosage & Contraindications
OVERDOSE
There is a single report of acute overdosage with use of an approved injectable testosterone product: this subject had serum testosterone concentrations of up to 11,400 ng/dL which were implicated in a cerebrovascular accident.
One case of overdose with JATENZO was reported in clinical trials. This patient inadvertently took a higher dose than prescribed (474 mg twice daily, which is 20% higher than the maximum recommended dose). He did not report any adverse reactions associated with the overdose.
Treatment of overdosage consists of discontinuation of JATENZO and appropriate symptomatic and supportive care.
CONTRAINDICATIONS
JATENZO is contraindicated in:
- Men with carcinoma of the breast or known or suspected carcinoma of the prostate [see WARNINGS AND PRECAUTIONS].
- Women who are pregnant. Testosterone can cause virilization of the female fetus when administered to a pregnant woman [see Use In Specific Populations].
- Men with known hypersensitivity to JATENZO or any of its ingredients [see DESCRIPTION].
- Men with hypogonadal conditions, such as “age-related hypogonadism”, that are not associated with structural or genetic etiologies. The efficacy of JATENZO has not been established for these conditions, and JATENZO can increase BP which can increase the risk of MACE [see BOXED WARNING and WARNINGS AND PRECAUTIONS].
Clinical Pharmacology
Mechanism Of Action
Endogenous androgens, including testosterone and dihydrotestosterone (DHT), are responsible for the normal growth and development of the male sex organs and for maintenance of secondary sex characteristics. These effects include the growth and maturation of prostate, seminal vesicles, penis and scrotum; the development of male hair distribution, such as facial, pubic, chest and axillary hair; laryngeal enlargement, vocal cord thickening, alterations in body musculature and fat distribution.
Male hypogonadism, a clinical syndrome resulting from insufficient secretion of testosterone, has two main etiologies. Primary hypogonadism is caused by defects of the gonads, such as Klinefelter syndrome or Leydig cell aplasia, whereas secondary hypogonadism (also known as hypogonadotropic hypogonadism) is the failure of the hypothalamus (or pituitary) to produce sufficient gonadotropins (FSH, LH).
Pharmacodynamics
No specific pharmacodynamic studies were conducted using JATENZO.
Pharmacokinetics
Absorption
JATENZO delivers physiologic amounts of testosterone, producing testosterone concentrations that approximate normal concentrations seen in healthy men.
JATENZO was taken orally at a starting dose of 237 mg twice per day with meals in a multicenter, open-label, randomized, 2-arm, active-controlled trial in hypogonadal males. The dose was adjusted, as needed, on Days 14 and 56 between a minimum of 158 mg twice per day and a maximum of 396 mg twice per day based on the average plasma testosterone concentration obtained over 24 hours after the morning dose. The average daily NaF-EDTA plasma testosterone concentration was 403 (± 128) ng/dL at the end of treatment, where the normal eugonadal range in NaF-EDTA plasma was 252-907 ng/dL in this study. Note that the titration scheme for use in clinical practice is based on serum total testosterone [see DOSAGE AND ADMINISTRATION].
Table 3 summarizes the pharmacokinetic (PK) parameters for plasma total testosterone in patients completing at least 105 days of JATENZO treatment administered twice daily.
Table 3: NaF-EDTA Plasma Testosterone Cavg and Cmax at
Final PK Visit
| PK Parameter | All Doses (N=151) |
|
| Cavg (ng/dL) | Mean | 403 |
| SD | 128 | |
| Cmax (ng/dL) | Mean | 1008 |
| SD | 581 | |
| PK = pharmacokinetic; Cavg = 24-hour average concentration; Cmax = maximum concentration | ||
Figure 2 summarizes the mean plasma total testosterone profile for the patients at the final PK visit.
Figure 2: Mean (±SEM) Concentration-Time Profile for
NaF-EDTA Plasma Total Testosterone in JATENZO Treated Subjects at Final PK
Visit
![]() |
When JATENZO was dosed with different breakfasts containing various amounts of fat, the bioavailability with the 30 g fat, 45 g fat, and high-calorie high-fat breakfasts was comparable, but there was a food effect with the 15 g fat breakfast compared to the 30 g fat breakfast. The 15 g fat breakfast had a 25% decrease in testosterone exposure compared to the 30 g fat breakfast.
Distribution
Circulating testosterone is primarily bound in serum to sex hormone-binding globulin (SHBG) and albumin. Approximately 40% of testosterone in plasma is bound to SHBG, 2% remains unbound (free) and the rest is loosely bound to albumin and other proteins.
Metabolism
The androgenic activity of testosterone undecanoate occurs after the ester bond linking the testosterone to the undecanoic acid is cleaved by endogenous non-specific esterases. Undecanoic acid is metabolized like all fatty acids via the beta-oxidation pathway.
Testosterone is metabolized to various 17-keto steroids through two different pathways. The major active metabolites of testosterone are dihydrotestosterone (DHT) and estradiol.
Excretion
About 90% of a dose of testosterone given intramuscularly is excreted in the urine as glucuronic and sulfuric acid conjugates of testosterone and its metabolites. About 6% of a dose is excreted in the feces, mostly in the unconjugated form. Inactivation of testosterone occurs primarily in the liver.
Animal Toxicology And/Or Pharmacology
JATENZO has been evaluated in 3- and 9-month repeat-dose oral toxicity studies in male eugonadal dogs. JATENZO caused exaggerated pharmacological effects on androgenresponsive tissues including testes, epididymis, prostate and adrenals at exposures to testosterone or testosterone undecanoate, comparable to the maximum human exposure based on AUC comparisons. Following a 4-week drug-free period, a reduced severity of these findings was observed, suggesting partial reversibility.
In adrenal glands, moderate to severe atrophy, characterized as thinning of the zona fasciculata, was observed with reduced adrenal weights and reduced circulating levels of cortisol in testosterone undecanoate-treated dogs after 3 months of treatment. Following 9-month treatment, there were dose-related decreases in adrenal weights in testosterone undecanoatetreated male dogs and moderate adrenal vacuolation in one testosterone undecanoate-treated male dog. The clinical significance of these adrenal and cortisol findings is unknown.
Clinical Studies
Clinical Trials In Hypogonadal Males
The efficacy and safety of JATENZO was evaluated in 166 adult hypogonadal males in an openlabel study of approximately 4 months duration (NCT02722278). The study included a Screening Phase, a Treatment Titration Phase, and a Treatment Maintenance Phase.
JATENZO was taken orally at a starting dose of 237 mg twice per day with meals. The dose was adjusted on Days 21 and 56 between a minimum of 158 mg twice per day and a maximum of 396 mg twice per day on the basis of the average testosterone concentration obtained over 24 hours post-morning dose.
The primary endpoint was the percentage of patients with mean plasma total testosterone concentration (Cavg) over 24-hours within the normal eugonadal range on the final PK visit of the study.
Secondary endpoints were the percentage of patients with a maximum total testosterone concentration (Cmax) above three predetermined limits: less than or equal to 1500 ng/dL, between 1800 and 2500 ng/dL, and greater than 2500 ng/dL.
One hundred and forty-five (87%) of the 166 hypogonadal men who received JATENZO had a mean total testosterone concentration (Cavg) within the normal eugonadal range at the end of treatment.
The percentage of patients who received JATENZO and had Cmax less than or equal to 1500 ng/dL, between 1800 and 2500 ng/dL, and greater than 2500 ng/dL at the final PK visit were 83%, 3%, and 3%, respectively. Note that the testosterone concentrations were not measured in serum but the effects of different sample preparation conditions were accounted for in data analysis of the results shown here. The titration scheme for use in clinical practice is based on serum total testosterone [see DOSAGE AND ADMINISTRATION].
Medication Guide
PATIENT INFORMATION
JATENZO®
(juh-TEN-zoh)
(testosterone undecanoate) capsules, for oral use
What is the most important information I should know about JATENZO?
JATENZO can cause serious side effects, including:
- JATENZO can increase your blood pressure, which can increase your risk of having a heart attack or stroke and can increase your risk of death due to a heart attack or stroke. Your risk may be greater if you have already had a heart attack or stroke or if you have other risk factors for heart attack or stroke.
- If your blood pressure increases while on JATENZO, blood pressure medicines may need to be started. If you are taking blood pressure medicines, new blood pressure medicines may need to be added or your current blood pressure medicines may need to be changed to control your blood pressure.
- If your blood pressure cannot be controlled, JATENZO may need to be stopped.
- Your healthcare provider will monitor your blood pressure while you are being treated with JATENZO.
What is JATENZO?
JATENZO is a prescription medicine that contains testosterone. JATENZO is used to treat adult men who have low or no testosterone due to certain medical conditions.
It is not known if JATENZO is safe or effective in children younger than 18 years old. Improper use of JATENZO may affect bone growth in children.
JATENZO is a controlled substance (CIII) because it contains testosterone that can be a target for people who abuse prescription medicines. Keep your JATENZO in a safe place to protect it. Never give your JATENZO to anyone else, even if they have the same symptoms you have. Selling or giving away this medicine may harm others and is against the law.
JATENZO is not meant for use by women.
Do not take JATENZO if you:
- have breast cancer.
- have or might have prostate cancer.
- are a woman who is pregnant. JATENZO may harm your unborn baby.
- are allergic to JATENZO or any ingredients in JATENZO. See the end of this Medication Guide for a complete list of ingredients in JATENZO.
- have low testosterone without certain medical conditions. For example, do not take JATENZO if you have low testosterone due to age.
Before you take JATENZO, tell your healthcare provider about all of your medical conditions, including if you:
- have high blood pressure or are treated for high blood pressure.
- have heart problems.
- have high red blood cell count (hematocrit) or high hemoglobin laboratory value.
- have urinary problems due to an enlarged prostate.
- have liver or kidney problems.
- have a history of mental health illness including suicidal thoughts or actions, depression, anxiety or mood disorder.
- have problems breathing while you sleep (sleep apnea).
Tell your healthcare provider about all the medicines you take, including prescription and over-the-counter medicines, vitamins, and herbal supplements.
Using JATENZO with certain other medicines can affect each other. Especially, tell your healthcare provider if you take:
- insulin
- medicines that decrease blood clotting (blood thinners)
- corticosteroids.
- medicines that increase blood pressure such as some cold medicine and pain medicines.
Know the medicines you take. Ask your healthcare provider or pharmacist for a list of these medicines, if you are not sure. Keep a list of them and show it to your healthcare provider and pharmacist when you get a new medicine.
How should I take JATENZO?
- Take JATENZO exactly as your healthcare provider tells you take it.
- Take JATENZO by mouth two times daily. Take 1 time in the morning and take 1 time in the evening.
- Take JATENZO with food.
- Your healthcare provider may change your JATENZO dose. Do not change your JATENZO dose without talking to your healthcare provider.
What are the possible side effects of JATENZO?
JATENZO may cause serious side effects including:
- See “What is the most important information I should know about JATENZO?”
- Increase in blood pressure.
- JATENZO can increase your blood pressure, which can increase your risk of having a heart attack or stroke and can increase your risk of death due to heart attack or stroke. Your risk may be greater if you already have heart disease or if you have had a heart attack or stroke.
- You may need to start new medicines or have medicines changed for high blood pressure while on JATENZO.
- Your healthcare provider should check your blood pressure while you use JATENZO.
- Increase in red blood cell count (hematocrit) or
hemoglobin.
- JATENZO increases red blood cell counts in some patients. High red blood cell counts increase the risk of blood clots, strokes, and heart attacks.
- You may need to stop JATENZO if your red blood cell count increases.
- Your healthcare provider should check your red blood cell count and hemoglobin while you use JATENZO.
- If you already have an enlarged prostate, your signs
and symptoms may worsen while using JATENZO. These may include:
- increased urination at night
- trouble starting your urine stream
- urinating many times during the day
- urge to go to the bathroom right away
- a urine accident
- inability to pass urine or weak urine flow
- Increased risk of prostate cancer. Your healthcare provider should check you for prostate cancer or any other prostate problems before you start and while you use JATENZO.
- Blood clots in the legs or lungs. Signs and symptoms of a blood clot in your leg can include pain, swelling or redness. Signs and symptoms of a blood clot in your lungs can include difficulty breathing or chest pain.
- Abuse. Testosterone can be abused, when taken at higher than prescribed doses and when used with other anabolic androgenic steroids. Abuse can cause serious heart and psychological side effects. Your healthcare provider should check you for signs of abuse before and during treatment with JATENZO.
- In large doses JATENZO may lower your sperm count.
- Liver problems. Symptoms of liver problems may
include:
- nausea or vomiting
- yellowing of your skin or whites of your eyes
- dark urine
- pain on the right side of your stomach area (abdominal pain)
- Swelling of your ankles, feet, or body (edema), with or without heart failure.
- Enlarged or painful breasts.
- Breathing problems while you sleep (sleep apnea).
- Changes in mood. Talk to your healthcare provider if you have changes in mood or behavior including, new or worsening depression, or suicidal thoughts.
Call your healthcare provider right away if you have any of the serious side effects listed above.
The most common side effects of JATENZO include:
- increased red blood cell count
- burping
- enlarged prostate gland
- diarrhea
- foot, leg and ankle swelling
- high blood pressure
- heart burn
- nausea
- headache
Other side effects include more erections than are normal for you or erections that last a long time.
Tell your healthcare provider if you have any side effect that bothers you or that does not go away.
These are not all the possible side effects of JATENZO. For more information, ask your healthcare provider or pharmacist.
Call your doctor for medical advice about side effects. You may report side effects to FDA at 1-800-FDA-1088.
How should I store JATENZO?
- Store JATENZO at room temperature between 68°F to 77°F (20°C to 25°C).
- Store JATENZO in a dry place.
Keep JATENZO and all medicines out of the reach of children.
General information about the safe and effective use of JATENZO
Medicines are sometimes prescribed for purposes other than those listed in a Medication Guide. Do not use JATENZO for a condition for which it was not prescribed. Do not give JATENZO to other people, even if they have the same symptoms you have. It may harm them. You can ask your pharmacist or healthcare provider for information about JATENZO that is written for health professionals.
What are the ingredients in JATENZO?
Active ingredient: testosterone undecanoate
Inactive ingredients: oleic acid, polyoxyl 40 hydrogenated castor oil (Cremophor RH 40), borage seed oil, peppermint oil, and butylated hydroxytoluene. The ingredients of the soft gelatin capsule shells are gelatin, sorbitol, glycerin, purified water, iron oxide red, FD&C Yellow #6, and titanium dioxide.
This Medication Guide has been approved by the U.S. Food and Drug Administration


