Dutoprol Drug Description: Detailed Datasheet
- Generic Name: metroprolol
- Brand Name: Dutoprol
side effects drug center dutoprol (metroprolol) drug
Drug Description
What is Dutoprol and how is it used?
Dutoprol (metoprolol succinate extended release/hydrochlorothiazide) is a combination of a beta1-selective (cardioselective) adrenoceptor-blocking agent and a diuretic used to treat hypertension, to lower blood pressure.
What are side effects of Dutoprol?
Common side effects of Dutoprol include:
- inflammation of the nose and throat,
- runny or stuffy nose,
- sore throat,
- fatigue,
- tiredness,
- dizziness,
- back pain,
- nausea,
- slow heart rate, and
- low blood potassium (hypokalemia).
WARNING
CARDIAC ISCHEMIA AFTER ABRUPT DISCONTINUATION
Following abrupt discontinuation of therapy with beta adrenergic blockers, exacerbations of angina pectoris and myocardial infarction have occurred.
When discontinuing chronically administered DUTOPROL, particularly in patients with ischemic heart disease, gradually reduce the dose over a period of 1–2 weeks and monitor the patient. If angina markedly worsens or acute coronary insufficiency develops, promptly resume therapy, at least temporarily, and take other measures appropriate for the management of unstable angina. Warn patients against interruption or discontinuation of therapy without the physician’s advice.
Because coronary artery disease is common and may be unrecognized, avoid abrupt discontinuation of DUTOPROL therapy even in patients treated only for hypertension [see WARNINGS AND PRECAUTIONS].
DESCRIPTION
DUTOPROL® (metoprolol succinate extended release/hydrochlorothiazide) combines a beta adrenoceptor blocker and a thiazide diuretic.
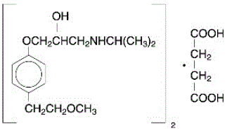
Metoprolol succinate is chemically described as (±)1-(isopropylamino)-3-[p-(2-methoxyethyl) phenoxy]-2-propanol succinate (2:1) (salt). Its structural formula is:
![]() |
Metoprolol succinate is a white crystalline powder with a molecular weight of 652.8. It is freely soluble in water, soluble in methanol, sparingly soluble in ethanol, slightly soluble in dichloromethane and 2-propanol, and practically insoluble in ethyl-acetate, acetone, diethylether and heptane.
Hydrochlorothiazide is 6-chloro-3,4-dihydro-2H-1,2,4-benzothiadiazine-7-sulfonamide 1,1-dioxide. Its empirical formula is C7H8ClN3O4S2 and its structural formula is:
![]() |
Hydrochlorothiazide is a white, or practically white, crystalline powder with a molecular weight of 297.74, which is slightly soluble in water, but freely soluble in sodium hydroxide solution.
DUTOPROL is for oral administration supplied in 3 tablet strengths of metoprolol succinate extended release and hydrochlorothiazide.
DUTOPROL 25/12.5 contains 23.75 mg of metoprolol succinate extended release, equivalent to 25 mg of metoprolol tartrate, and 12.5 mg of hydrochlorothiazide. DUTOPROL 50/12.5 contains 47.5 mg of metoprolol succinate extended release, equivalent to 50 mg of metoprolol tartrate, and 12.5 mg of hydrochlorothiazide. DUTOPROL 100/12.5 contains 95 mg of metoprolol succinate extended release, equivalent to 100 mg of metoprolol tartrate, and 12.5 mg of hydrochlorothiazide. The inactive ingredients of the tablets are silicon dioxide, ethylcellulose, hydroxypropyl cellulose, cornstarch, microcrystalline cellulose, polyvinyl pyrrolidone, sodium stearyl fumarate, hydroxypropyl methylcellulose, polyethylene glycol 6000, titanium dioxide, iron oxide (yellow), iron oxide (red) and paraffin.
Indications
DUTOPROL is a combination tablet of metoprolol succinate, a beta adrenoceptor blocking agent and hydrochlorothiazide, a diuretic. DUTOPROL is indicated for the treatment of hypertension, to lower blood pressure. Lowering blood pressure lowers the risk of fatal and non-fatal cardiovascular (CV) events, primarily strokes and myocardial infarction. These benefits have been seen in controlled trials of antihypertensive drugs from a wide variety of pharmacologic classes including metoprolol and hydrochlorothiazide.
Control of high blood pressure should be part of comprehensive cardiovascular risk management, including, as appropriate, lipid control, diabetes management, antithrombotic therapy, smoking cessation, exercise, and limited sodium intake. Many patients will require more than 1 drug to achieve blood pressure goals. For specific advice on goals and management, see published guidelines, such as those of the National High Blood Pressure Education Program’s Joint National Committee on Prevention, Detection, Evaluation, and Treatment of High Blood Pressure (JNC).
Numerous antihypertensive drugs, from a variety of pharmacologic classes and with different mechanisms of action, have been shown in randomized controlled trials to reduce cardiovascular morbidity and mortality, and it can be concluded that it is blood pressure reduction, and not some other pharmacologic property of the drugs, that is largely responsible for those benefits. The largest and most consistent cardiovascular outcome benefit has been a reduction in the risk of stroke, but reductions in myocardial infarction and cardiovascular mortality also have been seen regularly.
Elevated systolic or diastolic pressure causes increased cardiovascular risk, and the absolute risk increase per mmHg is greater at higher blood pressures, so that even modest reductions of severe hypertension can provide substantial benefit. Relative risk reduction from blood pressure reduction is similar across populations with varying absolute risk, so the absolute benefit is greater in patients who are at higher risk independent of their hypertension (for example, patients with diabetes or hyperlipidemia), and such patients would be expected to benefit from more aggressive treatment to a lower blood pressure goal.
Some antihypertensive drugs have smaller blood pressure effects (as monotherapy) in black patients, and many antihypertensive drugs have additional approved indications and effects (e.g., on angina, heart failure, or diabetic kidney disease). These considerations may guide selection of therapy.
DUTOPROL may be administered with other antihypertensive agents.
Dosage
DOSAGE AND ADMINISTRATION
Dosing Information
The recommended starting dose of DUTOPROL (metoprolol succinate extended release and hydrochlorothiazide) is 25 mg/12.5 mg taken orally once daily with or without food. Depending on the blood pressure response, the dose may be titrated at intervals of 2 weeks to a maximum recommended dose of 200 mg/25 mg (two DUTOPROL 100 mg/12.5 mg tablets) once daily [see Clinical Studies].
For specific advice on blood pressure goals, see published guidelines, such as those of the National High Blood Pressure Education Program’s Joint National Committee on Prevention, Detection, Evaluation, and Treatment of High Blood Pressure (JNC).
Use With And Switching From Other Anti-Hypertensive Drugs
DUTOPROL may be administered with other antihypertensive drugs. Patients titrated to the individual components (metoprolol succinate and hydrochlorothiazide) may instead receive the corresponding dose of DUTOPROL.
A patient whose blood pressure is inadequately controlled by metoprolol succinate alone or hydrochlorothiazide alone may be switched to DUTOPROL.
HOW SUPPLIED
Dosage Forms And Strengths
25/12.5 mg tablets: Yellow, circular, biconvex, film-coated tablet engraved with “A” above “IH” on one side.
50/12.5 mg tablets: Light orange, circular, biconvex, film-coated tablet engraved with “A” above “IK” on one side.
100/12.5 mg tablets: Yellow, circular, biconvex, film-coated tablet engraved with “A” above “IL” on one side and scored on the other side.
Storage And Handling
DUTOPROL is supplied as circular, biconvex, film-coated tablets engraved on one side.
| Metoprolol/ Hydrochlorothiazide | Engraving | Scored | NDC 59212-xxx-xx Bottle/30 |
| 25/12.5 mg | A IH | No | 087-30 |
| 50/12.5 mg | A IK | No | 095-30 |
| 100/12.5 mg | A IL | Yes | 097-30 |
Store at 25°C (77°F). Excursions permitted to 15-30°C (59-86°F). (See USP Controlled Room Temperature.)
Mfd. for: Concordia Pharmaceuticals. Distributed by: Amdipharm Limited 17 Northwood House Dublin 9, Ireland. Revised: Aug 2020
Side Effects
Clinical Trials Experience
Because clinical trials are conducted under widely varying conditions, adverse reaction rates observed in the clinical trials of a drug cannot be directly compared to rates in the clinical trials of another drug and may not reflect the rates observed in practice. The adverse reaction information from clinical trials does, however, provide a basis for identifying the adverse events that appear to be related to drug use and for approximating rates.
Metoprolol Succinate Extended Release/Hydrochlorothiazide
The metoprolol succinate extended release and hydrochlorothiazide combination was evaluated for safety in 891 patients with hypertension in clinical trials. In a randomized, double-blind, placebo-controlled, factorial trial (Study 1), 843 patients were treated with various combinations of metoprolol succinate (doses of 25 to 200 mg) and hydrochlorothiazide (doses of 6.25 to 25 mg) [see Clinical Studies]. Adverse events which occurred more than 1% more frequently in patients treated with DUTOPROL than placebo were: nasopharyngitis (3.4% vs 1.3%) and fatigue (2.6% vs 0.7%).
The adverse reactions of metoprolol succinate extended release are a mixture of dose-dependent phenomena (primarily bradycardia and fatigue) and those of hydrochlorothiazide are a mixture of dose-dependent (primarily hypokalemia) and dose independent phenomena (e.g., pancreatitis), the former much more common than the latter. Therapy with DUTOPROL will be associated with both sets of dose independent reactions.
Laboratory Abnormalities
Liver Enzyme Tests - Increases in liver enzymes or serum bilirubin.
Post-Marketing Experience
The following adverse reactions have been identified during post-approval use of DUTOPROL, metoprolol succinate extended release, and/or hydrochlorothiazide. Because these reactions are reported voluntarily from a population of uncertain size, it is not always possible to estimate their frequency reliably or establish a causal relationship to drug exposure.
Metoprolol
The following adverse reactions have been reported for immediate release metoprolol tartrate. Most adverse reactions have been mild and transient.
Central Nervous System: Confusion, short-term memory loss, headache, somnolence, nightmares, insomnia, anxiety/nervousness, hallucinations, paresthesia, dizziness
Cardiovascular: Shortness of breath, bradycardia, cold extremities; arterial insufficiency (usually of the Raynaud type), palpitations, peripheral edema, syncope, chest pain
Respiratory: Dyspnea
Gastrointestinal: Diarrhea, nausea, dry mouth, gastric pain, constipation, flatulence, heartburn, hepatitis, vomiting
Hypersensitivity Reactions: Pruritus, rash
Miscellaneous: Musculoskeletal pain, arthralgia, blurred vision, decreased libido, male impotence, tinnitus, reversible alopecia, dry eyes, worsening of psoriasis, Peyronie's disease, sweating, photosensitivity, taste disturbance, depression
Other Beta-Adrenergic Blockers
In addition, adverse reactions not listed above, that have been reported with other beta-adrenoceptor blockers and should be considered potential adverse reactions to DUTOPROL.
Central Nervous System: Reversible mental depression progressing to catatonia; an acute reversible syndrome characterized by disorientation for time and place, emotional lability, clouded sensorium, and decreased performance on neuropsychometrics
Hematologic: Non-thrombocytopenic purpura, thrombocytopenic purpura
Hypersensitivity Reactions: Laryngospasm, and respiratory distress
Hydrochlorothiazide
Adverse reactions that have been reported with hydrochlorothiazide are listed below:
Body as a Whole: Weakness
Cardiovascular: Orthostatic hypotension
Digestive: Pancreatitis, jaundice (intrahepatic cholestatic jaundice), sialadenitis, cramping, gastric irritation, anorexia
Hematologic: Aplastic anemia, agranulocytosis, leukopenia, hemolytic anemia, thrombocytopenia
Hypersensitivity Reactions: Anaphylactic reactions, necrotizing angiitis (vasculitis and cutaneous vasculitis), respiratory distress including pneumonitis and pulmonary edema, photosensitivity, fever, urticaria
Metabolic: Glycosuria
Musculoskeletal: Muscle spasm
Nervous System/Psychiatric: Vertigo, paresthesias, restlessness
Renal: Interstitial nephritis
Skin: Erythema multiforme including Stevens-Johnson syndrome, exfoliative dermatitis including toxic epidermal necrolysis
Non-melanoma Skin Cancer
Hydrochlorothiazide is associated with an increased risk of non-melanoma skin cancer. In a study conducted in the Sentinel System, increased risk was predominantly for squamous cell carcinoma (SCC) and in white patients taking large cumulative doses. The increased risk for SCC in the overall population was approximately 1 additional case per 16,000 patients per year, and for white patients taking a cumulative dose of ≥50,000mg the risk increase was approximately 1 additional SCC case for every 6,700 patients per year.
Special Senses: Transient blurred vision, xanthopsia
Drug Interactions
Drug Interactions With Metoprolol
Reserpine, Monoamine Oxidase (MAO) Inhibitors
The concomitant use of catecholamine-depleting drugs (e.g., reserpine, monoamine oxidase (MAO) inhibitors) with beta adrenergic blockers may have an additive affect and increase the risk of hypotension or bradycardia. Observe patients treated with DUTOPROL plus a catecholamine depletor for evidence of hypotension or marked bradycardia, which may produce vertigo, syncope, or postural hypotension.
CYP2D6 Inhibitors
Drugs that inhibit CYP2D6 such as quinidine, fluoxetine, paroxetine, and propafenone are likely to increase metoprolol concentration [see CLINICAL PHARMACOLOGY].
Nondihydropyridine Calcium Channel Blockers
[See WARNINGS AND PRECAUTIONS].
Digoxin
Digitalis glycosides slow atrioventricular conduction and decrease heart rate. Concomitant use of digoxin with beta adrenergic blockers increases the risk of bradycardia.
Clonidine
Clonidine slows conduction and decrease heart rate. Concomitant use with beta adrenergic blockers increases the risk of bradycardia. If clonidine and DUTOPROL are to both be discontinued, withdraw DUTOPROL several days before the gradual withdrawal of clonidine to reduce the risk of rebound hypertension following the clonidine withdrawal. If a patient is to switch from clonidine to DUTOPROL, delay the introduction of DUTOPROL for several days after discontinuation of clonidine.
Epinephrine
[See WARNINGS AND PRECAUTIONS].
Drug Interactions With Hydrochlorothiazide
Antidiabetic Drugs (oral agents and insulin)
Dosage adjustment of the antidiabetic drug may be required.
Ion Exchange Resins
Absorption of hydrochlorothiazide is impaired in the presence of anionic exchange resins. Single doses of either cholestyramine or colestipol resins bind the hydrochlorothiazide and reduce its absorption from the gastrointestinal tract by up to 85% and 43%, respectively. Stagger the dosage of hydrochlorothiazide and ion exchange resins (e.g., cholestyramine and colestipol resins) such that hydrochlorothiazide is administered at least 4 hours before or 4-6 hours after the administration of resins to minimize the interaction.
Lithium
Diuretics reduce the renal clearance of lithium and increase the risk of lithium toxicity. Monitor serum lithium concentrations during concurrent use.
Non-Steroidal Anti-Inflammatory Drugs
NSAIDs can reduce the diuretic, natriuretic, and antihypertensive effects of thiazide diuretics.
Warnings & Precautions
WARNINGS
Included as part of the PRECAUTIONS section.
PRECAUTIONS
Cardiac Ischemia After Abrupt Discontinuation
Following abrupt cessation of therapy with beta adrenergic blockers, exacerbations of angina pectoris and myocardial infarction may occur. When discontinuing chronically administered DUTOPROL, particularly in patients with ischemic heart disease, gradually reduce the dosage over a period of 1–2 weeks and monitor the patient. If angina markedly worsens or acute coronary ischemia develops, promptly resume therapy and take measures appropriate for the management of unstable angina. Warn patients not to interrupt therapy without their physician’s advice. Because coronary artery disease is common and may be unrecognized, avoid abrupt discontinuation of DUTOPROL in patients treated only for hypertension.
Heart Failure
Worsening cardiac failure may occur during up-titration of beta-blockers. If such symptoms occur, increase diuretics and restore clinical stability (compensated heart failure) before advancing the dose of DUTOPROL [see DOSAGE AND ADMINISTRATION]. It may be necessary to lower the dose of DUTOPROL or temporarily discontinue it [see BOXED WARNING] Such episodes do not preclude subsequent successful titration of DUTOPROL.
Bronchospasm
Beta adrenergic blockers can cause bronchospasm. Patients with bronchospastic disease should, in general, not receive beta adrenergic blockers. Because of its relative beta1 cardio-selectivity, however, metoprolol-containing products including DUTOPROL may be used in patients with bronchospastic disease who do not respond to or cannot tolerate other antihypertensive treatment. Because beta1Âselectivity is not absolute, in such patients use the lowest possible DUTOPROL dose and have bronchodilators (e.g., beta2-agonists) readily available or administer concomitantly.
Bradycardia
Bradycardia, including sinus pause, heart block, and cardiac arrest have occurred with the use of Dutoprol. Patients with first-degree atrioventricular block, sinus node dysfunction, or conduction disorders (including Wolff-Parkinson-White) may be at increased risk. The concomitant use of beta adrenergic blockers and non-dihydropyridine calcium channel blockers (e.g., verapamil and diltiazem), digoxin or clonidine increases the risk of significant bradycardia. Monitor heart rate and rhythm in patients receiving Dutoprol. If severe bradycardia develops, reduce or stop Dutoprol.
Risks Of Use In Major Surgery
Avoid initiation of high-dose regimen of DUTOPROL in patients with cardiovascular risk factors undergoing non-cardiac surgery, since use in such patients has been associated with bradycardia, hypotension, stroke and death.
Chronically administered beta adrenergic blockers should not be routinely withdrawn prior to major surgery; however, the impaired ability of the heart to respond to reflex adrenergic stimuli may augment the risks of general anesthesia and surgical procedures [see WARNINGS AND PRECAUTIONS].
Masked Signs Of Hypoglycemia
Beta adrenergic blockers may mask tachycardia occurring with hypoglycemia, but other manifestations such as dizziness and sweating may not be significantly affected.
Electrolyte And Metabolic Effects
DUTOPROL contains hydrochlorothiazide which can cause hypokalemia and hyponatremia. Hypomagnesemia can result in hypokalemia which may be difficult to treat despite potassium repletion. Monitor serum electrolytes periodically.
Hydrochlorothiazide may alter glucose tolerance and raise serum levels of cholesterol and triglycerides.
Hydrochlorothiazide reduces clearance of uric acid and may cause or exacerbate hyperuricemia and precipitate gout in susceptible patients.
Hydrochlorothiazide decreases urinary calcium excretion and may cause elevations of serum calcium. Monitor calcium levels.
Renal Impairment
Patients with chronic kidney disease, severe heart failure, or volume depletion may be at increased risk for developing acute renal failure on drugs containing hydrochlorothiazide, including DUTOPROL.
Exacerbated Symptoms Of Peripheral Vascular Disease
Beta adrenergic blockers can precipitate or aggravate symptoms of arterial insufficiency in patients with peripheral vascular disease.
Increased Blood Pressure In Patients With Pheochromocytoma
Administration of beta adrenergic blockers alone in patients with pheochromocytoma has been associated with a paradoxical increase in blood pressure because of the attenuation of beta-mediated vasodilatation in skeletal muscle. If DUTOPROL is used in patients with pheochromocytoma, first initiate an alpha-blocker.
Thyrotoxicosis After Discontinuation In Patients With Hyperthyroidism
Beta adrenergic blockers may mask certain clinical signs of hyperthyroidism, such as tachycardia. Abrupt withdrawal of a beta adrenergic blocker may precipitate a thyroid storm. Therefore, in patients with hyperthyroidism discontinue DUTOPROL gradually.
Reduced Effectiveness Of Epinephrine In Treating Anaphylaxis
Beta adrenergic blocker-treated patients treated with epinephrine for a severe anaphylactic reaction may be less responsive to the typical doses of epinephrine. In these patients, consider other medications.
Acute Myopia And Secondary Angle-Closure Glaucoma
Hydrochlorothiazide, a sulfonamide, can cause acute transient myopia and acute angle-closure glaucoma (idiosyncratic reactions). Symptoms include acute onset of decreased visual acuity or ocular pain and typically occur within hours to weeks of hydrochlorothiazide initiation. Risk factors for developing acute angle-closure glaucoma may include a history of sulfonamide or penicillin allergy.
Untreated acute angle-closure glaucoma can lead to permanent vision loss. Given that DUTOPROL contains hydrochlorothiazide, if these symptoms occur, discontinue DUTOPROL. Consider prompt medical or surgical treatment if the intraocular pressure remains uncontrolled.
Exacerbation Of Systemic Lupus Erythematosus
Hydrochlorothiazide can exacerbate or activate systemic lupus erythematosus.
Nonclinical Toxicology
Carcinogenesis, Mutagenesis, Impairment Of Fertility
Metoprolol/Hydrochlorothiazide
Carcinogenicity and mutagenicity studies have not been conducted with combinations of metoprolol and hydrochlorothiazide.
A combination of metoprolol tartrate and hydrochlorothiazide produced no adverse effects on the fertility and reproductive performance of male and female rats at doses of up to 200/50 mg/kg/day [about 10 and 20 times the maximum recommended human dose (MRHD) of metoprolol and hydrochlorothiazide, respectively, on a mg/m² basis].
Metoprolol
Long-term studies in animals have been conducted to evaluate the carcinogenic potential of metoprolol tartrate. In 2-year studies in rats at oral dosage levels of up to 800 mg/kg/day (41 times, on a mg/m² basis, the daily dose of 200 mg for a 60-kg patient), there was no increase in the development of spontaneously occurring benign or malignant neoplasms of any type. The only histologic changes that appeared to be drug related were an increased incidence of generally mild focal accumulation of foamy macrophages in pulmonary alveoli and a slight increase in biliary hyperplasia. In a 21-month study in Swiss albino mice at three oral dosage levels of up to 750 mg/kg/day (about 18 times, on a mg/m² basis, the daily dose of 200 mg for a 60-kg patient), benign lung tumors (small adenomas) occurred more frequently in female mice receiving the highest dose than in untreated control animals. There was no increase in malignant or total (benign plus malignant) lung tumors, nor in the overall incidence of tumors or malignant tumors. This 21-month study was repeated in CD-1 mice, and no statistically or biologically significant differences were observed between treated and control mice of either sex for any type of tumor.
All genotoxicity tests performed with metoprolol tartrate (a dominant lethal study in mice, chromosomal studies in somatic cells, a Salmonella/mammalian-microsome mutagenicity test, and a nucleus anomaly test in somatic interphase nuclei) and metoprolol succinate (a Salmonella/mammalian-microsome mutagenicity test) were negative.
No evidence of impaired fertility was observed in a study of metoprolol tartrate performed in rats at doses up to 22 times, on a mg/m² basis, the daily dose of 200 mg in a 60 kg patient.
Hydrochlorothiazide
Two-year feeding studies in mice and rats uncovered no evidence of a carcinogenic potential of hydrochlorothiazide in female mice at doses of up to 600 mg/kg/day (about 120 times the MRHD of 25 mg/day) or in male and female rats at doses of up to 100 mg/kg/day (about 40 times the MRHD). However, there was equivocal evidence of hepatocarcinogenicity in male mice.
Hydrochlorothiazide was not genotoxic in the Ames bacterial mutagenicity test or the in vitro Chinese Hamster Ovary (CHO) test for chromosomal aberrations. Nor was it genotoxic in vivo in assays using mouse germinal cell chromosomes, Chinese hamster bone marrow chromosomes, and the Drosophila sex-linked recessive lethal trait gene. Positive results were obtained in the in vitro CHO Sister Chromatid Exchange (clastogenicity) test, the Mouse Lymphoma Cell (mutagenicity) assay and the Aspergillus nidulans non-disjunction assay.
Hydrochlorothiazide had no adverse effects on the fertility of mice and rats of either sex in studies wherein these species were exposed, via their diet, to doses of up to 100 and 4 mg/kg/day (about 20 and 1.6 times the MRHD, on a mg/m² basis), respectively, prior to mating and throughout gestation.
Use In Specific Populations
Pregnancy
Pregnancy Category C
Metoprolol /Hydrochlorothiazide
Oral administration of metoprolol tartrate/hydrochlorothiazide combinations to pregnant rats during organogenesis at doses up to 200/50 mg/kg/day (10 and 20 times the MRHD for metoprolol and hydrochlorothiazide, respectively) or to pregnant rabbits at doses up to 25/6.25 mg/kg/day (about 2.5 and 5 times the MRHD for metoprolol and hydrochlorothiazide, respectively) produced no teratogenic effects. A 200/50 mg/kg/day metoprolol tartrate/hydrochlorothiazide combination administered to rats from mid-late gestation through lactation produced increased post-implantation loss and decreased neonatal survival.
Metoprolol
There are no adequate and well-controlled studies of metoprolol in pregnant women. Metoprolol tartrate has been shown to increase post-implantation loss and decrease neonatal survival in rats at doses up to 22 times, on a mg/m² basis, the daily dose of 200 mg in a 60-kg patient. Distribution studies in mice confirm exposure of the fetus when metoprolol tartrate is administered to the pregnant animal. These studies have revealed no evidence of impaired fertility or teratogenicity. Because animal reproduction studies are not always predictive of human response, use this drug during pregnancy only if clearly needed.
Hydrochlorothiazide
The use of thiazide diuretics in pregnant women requires that the anticipated benefit be weighed against possible hazards to the fetus. These hazards include fetal or neonatal jaundice, pancreatitis, thrombocytopenia, and possibly other adverse reactions, which have occurred in the adult. Hydrochlorothiazide administered to pregnant mice and rats during organogenesis at doses up to 3000 and 1000 mg/kg/day (600 and 400 times the MRHD), respectively, produced no harm to the fetus. Thiazides cross the placental barrier and appear in the cord blood.
Nursing Mothers
Metoprolol is excreted in breast milk in very small quantities. An infant consuming 1 liter of breast milk daily would receive a dose of less than 1 mg of metoprolol. Thiazide diuretics appear in human milk. Consider possible infant exposure when DUTOPROL is administered to a nursing woman.
Pediatric Use
Safety and effectiveness in pediatric patients have not been established.
Geriatric Use
Of the 849 subjects randomized to treatment with both metoprolol succinate extended release and hydrochlorothiazide in a factorial clinical study, 129 (15%) were 65 and over, while 16 (2%) were 75 and over. No overall differences in safety or effectiveness were observed between these subjects and younger subjects. Greater sensitivity of some older individuals cannot be ruled out. In addition, patients 70 to 84 years of age were studied in two clinical outcome trials (n=3025), which included a treatment regimen of a thiazide diuretic or beta adrenergic blocker (metoprolol succinate extended release, atenolol or pindolol) or their combination have not identified differences in responses between the elderly and younger patients.
Hydrochlorothiazide is known to be substantially excreted by the kidney, and the risk of toxic reactions to this drug may be greater in patients with impaired renal function.
Use In Patients With Hepatic Impairment
Hydrochlorothiazide
Minor alterations of fluid and electrolyte balance may precipitate hepatic coma in patients with impaired hepatic function or progressive liver disease.
Use In Patients With Renal Impairment
Safety and effectiveness of DUTOPROL in patients with severe renal impairment (CrCL≤30 ml/min) have not been established. No dose adjustment is required in patients with moderate renal impairment (CrCL 30-60 ml/min).
Overdosage & Contraindications
OVERDOSE
Signs And Symptoms
The most frequently observed signs expected with overdosage of a beta adrenergic blocker are bradycardia and bradyarrhythmia, hypotension, heart failure, cardiac conduction disturbances and bronchospasm.
With thiazide diuretics, acute intoxication is rare. The most prominent feature of overdose is acute loss of fluid, electrolytes and magnesium. Signs and symptoms of overdose may include hypotension, dizziness, muscle cramps, renal impairment or failure, and sedation/ impairment of consciousness. Altered laboratory findings can also occur (e.g. hypokalemia, hypomagnesaemia, hyponatremia, hypochloremia, alkalosis, increased BUN).
Management
Care should be provided at a facility that can provide appropriate supporting measures, monitoring and supervision as treatment is symptomatic and supportive and there is no specific antidote. Limited data suggest that neither metoprolol nor hydrochlorothiazide is dialyzable. If justified, gastric lavage and/or activated charcoal can be administered.
Based on the expected pharmacologic actions and recommendations for other beta adrenergic blockers and hydrochlorothiazide, the following measures should be considered when clinically warranted.
Bradycardia and conduction disturbances: Use atropine, adrenergic-stimulating drugs or pacemaker.
Hypotension, acute heart failure, and shock: Treat with suitable volume expansion, injection of glucagon (if necessary, followed by an intravenous infusion of glucagon), intravenous administration of adrenergic drugs such as dobutamine, with α1 receptor agonistic drugs added in the presence of vasodilation.
Bronchospasm: Can usually be reversed by bronchodilators.
CONTRAINDICATIONS
DUTOPROL is contraindicated in patients with:
- Cardiogenic shock or decompensated heart failure.
- Sinus bradycardia, sick sinus syndrome, and greater than first-degree block unless a permanent pacemaker is in place.
- Anuria
- Hypersensitivity to metoprolol succinate or hydrochlorothiazide or to other sulfonamide-derived drugs.
Clinical Pharmacology
Mechanism Of Action
The mechanism of the antihypertensive effects of beta adrenergic blockers has not been elucidated. However, several possible mechanisms have been proposed: (1) competitive antagonism of catecholamines at peripheral (especially cardiac) adrenergic neuron sites, leading to decreased cardiac output; (2) a central effect leading to reduced sympathetic outflow to the periphery; and (3) suppression of renin activity.
The mechanism of the antihypertensive effect of thiazide diuretics is unknown.
Pharmacodynamics
Metoprolol
Clinical pharmacology studies have confirmed the beta adrenergic blocker activity of metoprolol, as shown by (1) reduction in heart rate and cardiac output at rest and upon exercise, (2) reduction of systolic blood pressure upon exercise, (3) inhibition of isoproterenol-induced tachycardia, and (4) reduction of reflex orthostatic tachycardia.
Metoprolol is a beta1-selective (cardioselective) adrenergic receptor blocker. This preferential effect is not absolute, however, and at higher plasma concentrations, metoprolol also inhibits beta2Âadrenoreceptors, chiefly located in the bronchial and vascular musculature. Metoprolol has no intrinsic sympathomimetic activity, and membrane-stabilizing activity is detectable only at plasma concentrations much greater than required for beta-blockade. Animal and human experiments indicate that metoprolol slows the sinus rate and decreases AV nodal conduction.
The relative beta1-selectivity of metoprolol is demonstrated by the following: (1) In healthy subjects, metoprolol is unable to reverse the beta2-mediated vasodilating effects of epinephrine. This contrasts with the effect of nonselective beta-blockers, which completely reverse the vasodilating effects of epinephrine. (2) In asthmatic patients, metoprolol reduces FEV1 and FVC significantly less than a nonselective beta-blocker, propranolol, at equivalent beta1-receptor blocking doses.
The relationship between plasma metoprolol levels and reduction in exercise heart rate is independent of the pharmaceutical formulation. Using an Emax model, the maximum effect is a 30% reduction in exercise heart rate, which is attributed to beta1-blockade. Beta1-blocking effects in the range of 30– 80% of the maximal effect (approximately 8–23% reduction in exercise heart rate) correspond to metoprolol plasma concentrations from 30-540 nmol/L. The relative beta1-selectivity of metoprolol diminishes and blockade of beta2-adrenoceptors increases at higher plasma concentrations above 300 nmol/L.
Although beta-adrenergic receptor blockade is useful in the treatment of hypertension there are situations in which sympathetic stimulation is vital. In patients with severely damaged hearts, adequate ventricular function may depend on sympathetic drive. In the presence of AV block, beta-blockade may prevent the necessary facilitating effect of sympathetic activity on conduction. Beta2Âadrenergic blockade results in passive bronchial constriction by interfering with endogenous adrenergic bronchodilator activity in patients subject to bronchospasm and may also interfere with exogenous bronchodilators in such patients.
Hydrochlorothiazide
Hydrochlorothiazide is a thiazide diuretic. Thiazides affect the renal tubular mechanisms of electrolyte reabsorption, directly increasing excretion of sodium and chloride in approximately equimolar amounts. Indirectly, the diuretic action of hydrochlorothiazide reduces plasma volume, with consequent increases in plasma renin activity, increases in aldosterone secretion, increases in urinary potassium loss, and decreases in serum potassium.
After oral administration of hydrochlorothiazide, diuresis begins within 2 hours, peaks in about 4 hours and lasts about 6 to 12 hours.
Pharmacokinetics
Metoprolol/Hydrochlorothiazide
After single oral doses of DUTOPROL, plasma levels of metoprolol and of hydrochlorothiazide are similar to levels obtained after single doses of TOPROL XL and hydrochlorothiazide. Peak plasma concentrations (Cmax) of metoprolol and hydrochlorothiazide occur within 10-12 hours and 2 hours of dose intake, respectively.
The rate and extent of absorption of metoprolol/ hydrochlorothiazide are similar in the fasting state and after a high-fat meal after administration of DUTOPROL.
Metoprolol
Absorption of metoprolol is complete following oral administration. The absolute bioavailability of metoprolol after oral administration of immediate release metoprolol is estimated to be about 50% because of pre-systemic metabolism. Plasma levels achieved are highly variable after oral administration of immediate release metoprolol.
Metoprolol is known to cross the blood brain barrier following oral administration and CSF concentrations close to that observed in plasma have been reported. About 12% of the drug is bound to human serum albumin.
Metoprolol is primarily metabolized by CYP2D6. Metoprolol is a racemic mixture of R-and SÂenantiomers, and when administered orally, it exhibits stereoselective metabolism that is dependent on oxidation phenotype. CYP2D6 is absent (poor metabolizers) in about 8% of Caucasians and about 2% of most other populations. CYP2D6 can be inhibited by a number of drugs. Concomitant use with CYP2D6 inhibitors or administration of metoprolol in poor metabolizers will increase blood levels of metoprolol several-fold, decreasing metoprolol's cardioselectivity [see DRUG INTERACTIONS].
Elimination is mainly by biotransformation in the liver, and the plasma half-life ranges from approximately 3 to 7 hours. Less than 5% of an oral dose and 10% of an intravenous dose of metoprolol is recovered unchanged in the urine; the rest is excreted by the kidneys as metabolites that appear to have no beta blocking activity.
The systemic availability and half-life of metoprolol in patients with renal failure do not differ to a clinically significant degree from those in healthy subjects.
Metoprolol Succinate Extended Release
The metoprolol component of DUTOPROL is bioequivalent to TOPROL-XL. In comparison to immediate release metoprolol, the plasma metoprolol levels following administration of TOPROL-XL are characterized by lower peaks, longer time to peak and significantly lower peak to trough variation (PTT ratio). The peak plasma levels following once-daily administration of TOPROL-XL average one-fourth to one-half the peak plasma levels obtained following a corresponding dose of immediate release metoprolol, administered once daily or in divided doses. At steady state the average bioavailability of metoprolol following administration of TOPROL-XL, across the dosage range of 50 to 400 mg once daily, was 77% relative to the corresponding single or divided doses of immediate release metoprolol. Nevertheless, over the 24-hour dosing interval, ß1-blockade is similar and dose-related [see CLINICAL PHARMACOLOGY].
Pharmacokinetic Drug Interactions
In healthy subjects with CYP2D6 extensive metabolizer phenotype, coadministration of quinidine 100 mg and immediate-release metoprolol 200 mg tripled the concentration of S-metoprolol and doubled the metoprolol elimination half-life. Coadministration of propafenone 150 mg t.i.d. with immediate-release metoprolol 50 mg t.i.d. resulted in two-to fiveÂfold increases in the steady-state concentration of metoprolol. These increases in plasma concentration would decrease the cardioselectivity of metoprolol.
Hydrochlorothiazide
The pharmacokinetics of hydrochlorothiazide is dose proportional in the range of 12.5 to 75 mg.
The estimated absolute bioavailability of hydrochlorothiazide after oral administration is about 70%. Peak plasma hydrochlorothiazide concentrations (Cmax) are reached within 2 to 5 hours after oral administration. There is no clinically significant effect of food on the bioavailability of hydrochlorothiazide.
Hydrochlorothiazide binds to albumin (40 to 70%) and distributes into erythrocytes. Following oral administration, plasma hydrochlorothiazide concentrations decline bi-exponentially, with a mean distribution half-life of about 2 hours and an elimination half-life of about 10 hours.
About 70% of an orally administered dose of hydrochlorothiazide is eliminated in the urine as unchanged drug.
Pharmacokinetic Drug Interactions
Absorption of hydrochlorothiazide is impaired in the presence of ionic exchange resins. Single doses of either cholestyramine or colestipol resins bind the hydrochlorothiazide and reduce its absorption from the gastrointestinal tract by up to 85% and 43%, respectively.
Clinical Studies
A randomized, double-blind, placebo-controlled, 8-week, factorial study (Study 1) (N=1571) evaluated the antihypertensive effects of various doses (given once daily) of metoprolol succinate extended release (25, 50, 100 and 200 mg) and hydrochlorothiazide (6.25, 12.5 and 25 mg), and 9 of their combinations. The trial established that metoprolol succinate extended release and hydrochlorothiazide both contributed to the antihypertensive effect, as measured by the change from baseline to week 8 in sitting diastolic (p= 0.0015) and systolic (p=0.0006) blood pressure. The predicted values for the drugs’ effects are shown in Table 1.
Table 1: Placebo-corrected Change from Baseline* in SBP/DBP at Week 8 in Study 1
| Metoprolol | ||||||
| 0 mg | mg 5 C4 | 50 mg | 100 mg | 200 mg | ||
| HCTZ | 0 mg | 0/0 | -2.0/-1.4 | -3.7/-2.6 | -6.1/-4.5 | -7.0/-6.1 |
| 6.25 mg | -3.5/-1.9 | -5.5/-3.3 | -7.2/-4.5 | -9.6/-6.4 | -10.5/-8.0t | |
| 12.5 mg | -5.9/-3.3 | -7.9/-4.7 | -9.6/-5.9 | -12.0/-7.8 | -12.9/-9.3 | |
| 25 mg | -7.7/-4.3 | -9.7/-5.7† | -11.4/-6.9† | -13.8/-8.8 | -14.7/-10.4 | |
| *Predicted values from a least-squares quadratic regression model. †These doses were not studied. SBP = systolic blood pressure; DBP = diastolic blood pressure | ||||||
Blood pressure declines were apparent within 2 weeks and were maintained throughout the 8-week study. The blood pressure lowering effect 24 hours post-dosing retained approximately 96% of the peak effect (6 hours post-dosing). The antihypertensive effect was similar regardless of age or gender, and the blood pressure response to the metoprolol succinate extended release and hydrochlorothiazide combination appears similar in black and non-black patients.
Medication Guide
PATIENT INFORMATION
Avoid Abrupt Discontinuation
Advise patients to take DUTOPROL regularly and continuously, as directed. If a dose is missed, instruct the patient to take only the next scheduled dose (without doubling the dose). Instruct patients not to interrupt or discontinue DUTOPROL without consulting a healthcare provider. [See BOXED WARNING and WARNINGS AND PRECAUTIONS].
Non-melanoma Skin Cancer
Instruct patients taking hydrochlorothiazide to protect skin from the sun and undergo regular skin cancer screening.
Bronchospasm
Inform patients that beta adrenergic blockers can cause bronchospasm and to inform their healthcare providers if they start to wheeze or have difficulty breathing. [See WARNINGS AND PRECAUTIONS]
Electrolyte Changes
Inform patients that they may need blood tests to monitor their serum electrolytes. [See WARNINGS AND PRECAUTIONS].
Acute Myopia And Secondary Angle-Closure Glaucoma
Inform patients to report decreased visual acuity or ocular pain and to stop DUTOPROL and contact their healthcare provider right away if these symptoms occur. [See WARNINGS AND PRECAUTIONS].
Hypersensitivity Reaction
Instruct patients that hypersensitivity reactions to DUTOPROL may occur. [See CONTRAINDICATIONS].
Lithium Toxicity
Instruct patients to inform other doctors that they are taking a diuretic. [See DRUG INTERACTIONS].
All trademarks are under exclusive licence to Amdipharm Limited.


