Dificid Drug Description: Detailed Datasheet
- Generic Name: fidaxomicin tablets for oral administration
- Brand Name: Dificid
side effects drug center dificid (fidaxomicin tablets for oral administration) drug
Drug Description
What is Dificid and how is it used?
Dificid is a prescription medicine used to treat the symptoms of Clostridioides difficile-Associated Diarrhea (CDAD). Dificid may be used alone or with other medications.
Dificid belongs to a class of drugs called Macrolides.
It is not known if Dificid is safe and effective in children younger than 6 months of age.
What are the possible side effects of Dificid?
Dificid may cause serious side effects including:
- hives,
- difficulty breathing,
- swelling of your face, lips, tongue, or throat,
- fever,
- chills,
- body aches,
- flu symptoms,
- sores in your mouth and throat,
- pale skin,
- lightheadedness,
- shortness of breath,
- rapid heart rate,
- trouble concentrating,
- black, bloody or tarry stools,
- coughing up blood, and
- vomit that looks like coffee grounds
Get medical help right away, if you have any of the symptoms listed above.
The most common side effects of Dificid include:
- nausea,
- vomiting,
- stomach pain,
- bloating,
- gas,
- mild rash, and
- itching
Tell the doctor if you have any side effect that bothers you or that does not go away.
These are not all the possible side effects of Dificid. For more information, ask your doctor or pharmacist.
Call your doctor for medical advice about side effects. You may report side effects to FDA at 1-800-FDA-1088.
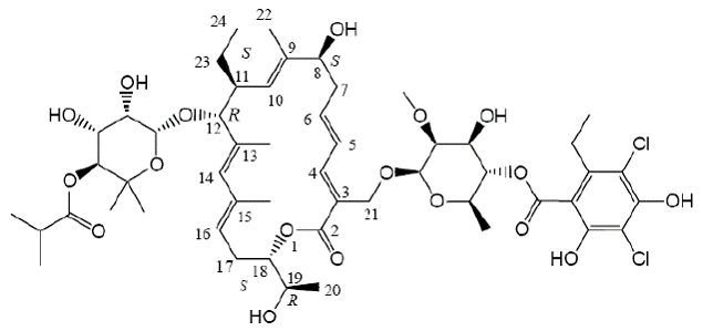
DESCRIPTION
DIFICID (fidaxomicin) is a macrolide antibacterial drug for oral administration. Its CAS chemical name is Oxacyclooctadeca-3,5,9,13,15-pentaen-2-one, 3-[[[6-deoxy-4-O-(3,5-dichloro-2-ethyl-4,6-dihydroxybenzoyl)-2-Omethyl- β-D- mannopyranosyl]oxy]methyl]-12-[[6-deoxy-5-C-methyl-4-O-(2-methyl-1-oxopropyl)-β-D-lyxohexopyranosyl] oxy]-11-ethyl-8 -hydroxy-18-[(1R)-1-hydroxyethyl]-9,13,15-trimethyl-,(3E,5E,8S,9E,11S,12R,13E,15E,18S)-. The structural formula of fidaxomicin is shown in Figure 1.
Figure 1: Structural Formula of Fidaxomicin
![]() |
DIFICID tablets (200 mg) are film-coated and contain the following inactive ingredients: microcrystalline cellulose, pregelatinized starch, hydroxypropyl cellulose, butylated hydroxytoluene, sodium starch glycolate, magnesium stearate, polyvinyl alcohol, titanium dioxide, talc, polyethylene glycol, and lecithin (soy).
Indications & Dosage
INDICATIONS
Clostridium Difficile-Associated Diarrhea
DIFICID is a macrolide antibacterial drug indicated in adults (≥18 years of age) for treatment of Clostridium difficile-associated diarrhea (CDAD).
Usage
To reduce the development of drug-resistant bacteria and maintain the effectiveness of DIFICID and other antibacterial drugs, DIFICID should be used only to treat infections that are proven or strongly suspected to be caused by Clostridium difficile. When culture and susceptibility information are available, they should be considered in selecting or modifying antibacterial therapy. In the absence of such data, local epidemiology and susceptibility patterns may contribute to the empiric selection of therapy.
DOSAGE AND ADMINISTRATION
The recommended dose is one 200 mg DIFICID tablet orally twice daily for 10 days with or without food.
HOW SUPPLIED
Dosage Forms And Strengths
200 mg white to off-white film-coated, oblong tablets; each tablet is debossed with “FDX” on one side and “200” on the other side.
Storage And Handling
DIFICID® tablets are white to off-white film-coated, oblong tablets containing 200 mg of fidaxomicin; each tablet is debossed with “FDX” on one side and “200” on the other side.
DIFICID tablets are supplied as bottles of 20 tablets (NDC 52015-080-01).
Storage
Storage: 20°-25°C (68°-77°F); excursions permitted to 15° -30°C (59° -86°F). See USP controlled room temperature.
Manufactured by: Patheon Inc. Mississauga, Ontario, L5N 7K9, Canada. Manufactured for: Merck Sharp & Dohme Corp., a subsidiary of MERCK & CO., INC., White house Station, NJ 08889, USA. Revised: Mar 2019
Side Effects & Drug Interactions
SIDE EFFECTS
Clinical Trials Experience
Because clinical trials are conducted under widely varying conditions, adverse reaction rates observed in the clinical trials of a drug cannot be directly compared to rates in the clinical trials of another drug and may not reflect the rates observed in practice.
The safety of DIFICID 200 mg tablets taken twice a day for 10 days was evaluated in 564 patients with CDAD in two active-comparator controlled trials with 86.7% of patients receiving a full course of treatment.
Thirty-three patients receiving DIFICID (5.9%) withdrew from trials as a result of adverse reactions (AR). The types of AR resulting in withdrawal from the study varied considerably. Vomiting was the primary adverse reaction leading to discontinuation of dosing; this occurred at an incidence of 0.5% in both the fidaxomicin and vancomycin patients in Phase 3 studies.
Table 1: Selected Adverse Reactions with an Incidence
of ≥2% Reported in DIFICID Patients in Controlled
| System Organ Class Preferred Term |
DIFICID (N=564) n (%) |
Vancomycin (N=583) n (%) |
| Blood and Lymphatic System Disorders | ||
| Anemia | 14 (2%) | 12 (2%) |
| Neutropenia | 14 (2%) | 6 (1%) |
| Gastrointestinal Disorders | ||
| Nausea | 62 (11%) | 66 (11%) |
| Vomiting | 41 (7%) | 37 (6%) |
| Abdominal Pain | 33 (6%) | 23 (4%) |
| Gastrointestinal Hemorrhage | 20 (4%) | 12 (2%) |
The following adverse reactions were reported in <2% of patients taking DIFICID tablets in controlled trials:
Gastrointestinal Disorders: abdominal distension, abdominal tenderness, dyspepsia, dysphagia, flatulence, intestinal obstruction, megacolon
Investigations: increased blood alkaline phosphatase, decreased blood bicarbonate, increased hepatic enzymes, decreased platelet count
Metabolism and Nutrition Disorders: hyperglycemia, metabolic acidosis
Skin and Subcutaneous Tissue Disorders: drug eruption, pruritus, rash
Post Marketing Experience
Adverse reactions reported in the post marketing setting arise from a population of unknown size and are voluntary in nature. As such, reliability in estimating their frequency or in establishing a causal relationship to drug exposure is not always possible.
Hypersensitivity reactions (dyspnea, angioedema, rash, and pruritus) have been reported.
DRUG INTERACTIONS
Fidaxomicin and its main metabolite, OP-1118, are substrates of the efflux transporter, P-glycoprotein (P-gp), which is expressed in the gastrointestinal tract.
Cyclosporine
Cyclosporine is an inhibitor of multiple transporters, including P-gp. When cyclosporine was co-administered with DIFICID, plasma concentrations of fidaxomicin and OP-1118 were significantly increased but remained in the ng/mL range [see CLINICAL PHARMACOLOGY]. Concentrations of fidaxomicin and OP-1118 may also be decreased at the site of action (i.e., gastrointestinal tract) via P-gp inhibition; however, concomitant P-gp inhibitor use had no attributable effect on safety or treatment outcome of fidaxomicin-treated patients in controlled clinical trials. Based on these results, fidaxomicin may be co-administered with P-gp inhibitors and no dose adjustment is recommended.
Warnings & Precautions
WARNINGS
Included as part of the PRECAUTIONS section.
PRECAUTIONS
Lack of Effectiveness For Infections Other Than C. difficile-Associated Diarrhea
DIFICID should only be used for the treatment of C. difficile-associated diarrhea. DIFICID is not effective for treatment of other types of infections due to minimal systemic absorption of fidaxomicin.
Hypersensitivity Reactions
Acute hypersensitivity reactions, including dyspnea, rash pruritus, and angioedema of the mouth, throat, and face have been reported with fidaxomicin. If a severe hypersensitivity reaction occurs, DIFICID® should be discontinued and appropriate therapy should be instituted.
Some patients with hypersensitivity reactions also reported a history of allergy to other macrolides. Physicians prescribing DIFICID to patients with a known macrolide allergy should be aware of the possibility of hypersensitivity reactions.
Development Of Drug-Resistant Bacteria
Prescribing DIFICID in the absence of a proven or strongly suspected C. difficile infection is unlikely to provide benefit to the patient and increases the risk of the development of drug-resistant bacteria.
Nonclinical Toxicology
Carcinogenesis, Mutagenesis, Impairment Of Fertility
Long-term carcinogenicity studies have not been conducted to evaluate the carcinogenic potential of fidaxomicin.
Neither fidaxomicin nor OP-1118 was mutagenic in the Ames assay. Fidaxomicin was also negative in the rat micronucleus assay. However, fidaxomicin was clastogenic in Chinese hamster ovary cells.
Fidaxomicin did not affect the fertility of male and female rats at intravenous doses of 6.3 mg/kg. The exposure (AUC0-t) was approximately 100 times that in humans.
Use In Specific Populations
Pregnancy
Risk Summary
The limited available data on use of DIFICID in pregnant women are insufficient to inform any drug-associated risk for major birth defects, miscarriage or adverse maternal or fetal outcomes. Embryo-fetal reproduction studies in rats and rabbits dosed intravenously during organogenesis revealed no evidence of harm to the fetus at fidaxomicin and OP-1118 (its main metabolite) exposures 65-fold or higher than the clinical exposure at the DIFICID recommended dose [see Data].
The estimated background risk of major birth defects and miscarriage for the indicated populations is unknown. All pregnancies have a background risk of birth defect, loss, or other adverse outcomes. In the U.S. general population, the estimated background risk of major birth defects and miscarriage in clinically recognized pregnancies is 2 to 4% and 15 to 20%, respectively.
Data
Animal Data
In pregnant rats, fidaxomicin was administered intravenously at doses of 4, 8, and 15 mg/kg/day from gestation day 6 through 17 (during the period of organogenesis). No embryo/fetal effects were noted in this study at exposures (AUC) 193-fold higher for fidaxomicin, and 65-fold higher for OP-1118 than the clinical exposure at the DIFICID recommended dose.
In pregnant rabbits, fidaxomicin was administered intravenously at doses of 2, 4, and 7.5 mg/kg/day from gestation day 6 through 18 (during the period of organogenesis). No embryo/fetal effects were noted in this study at exposures 66-fold higher for fidaxomicin, and 245-fold higher for OP-1118 than the clinical exposure at the DIFICID recommended dose.
Lactation
Risk Summary
There is no information on the presence of fidaxomicin or its main metabolite, OP-1118, in human milk, the effects on the breastfed infant, or the effects on milk production. The developmental and health benefits of breastfeeding should be considered along with the mother's clinical need for DIFICID and any potential adverse effects on the breastfed infant from DIFICID or from the underlying maternal condition.
Pediatric Use
The safety and effectiveness of DIFICID in patients <18 years of age have not been established.
Geriatric Use
Of the total number of patients in controlled trials of DIFICID®, 50% were 65 years of age and over, while 31% were 75 and over. No overall differences in safety or effectiveness of fidaxomicin compared to vancomycin were observed between these subjects and younger subjects.
In controlled trials, elderly patients (≥65 years of age) had higher plasma concentrations of fidaxomicin and its main metabolite, OP-1118, versus non-elderly patients (<65 years of age) [see CLINICAL PHARMACOLOGY]. However, greater exposures in elderly patients were not considered to be clinically significant. No dose adjustment is recommended for elderly patients.
Overdosage & Contraindications
OVERDOSE
No cases of acute overdose have been reported in humans. No drug-related adverse effects were seen in dogs dosed with fidaxomicin tablets at 9600 mg/day (over 100 times the human dose, scaled by weight) for 3 months.
CONTRAINDICATIONS
DIFICID is contraindicated in patients who have known hypersensitivity to fidaxomicin or any other ingredient in DIFICID [see WARNINGS AND PRECAUTIONS].
Clinical Pharmacology
Mechanism Of Action
Fidaxomicin is an antibacterial drug [see Microbiology].
Pharmacodynamics
Fidaxomicin acts locally in the gastrointestinal tract on C. difficile. In a dose-ranging trial (N=48) of fidaxomicin using 50 mg, 100 mg, and 200 mg twice daily for 10 days, a dose-response relationship was observed for efficacy.
Pharmacokinetics
The pharmacokinetic parameters of fidaxomicin and its main metabolite OP-1118 following a single dose of 200 mg in healthy adult males (N=14) are summarized in Table 2.
Table 2: Mean (± Standard Deviation) Pharmacokinetic
Parameters of Fidaxomicin 200 mg in Healthy Adult Males
| Parameter | Fidaxomicin | OP-1118 | ||
| N | Value | N | Value | |
| Cmax (ng/mL) | 14 | 5.20 ± 2.81 | 14 | 12.0 ± 6.06 |
| Tmax (h)* | 14 | 2.00 (1.00-5.00) | 14 | 1.02 (1.00-5.00) |
| AUC0.t (ng-h/mL) | 14 | 48.3 ± 18.4 | 14 | 103 ± 39.4 |
| AUC0-∞ (ng-h/mL) | 9 | 62.9 ± 19.5 | 10 | 118 ± 43.3 |
| t½ (h) | 9 | 11.7 ± 4.80 | 10 | 11.2 ± 3.01 |
| * Tmax, reported as median (range). Cmax, maximum observed concentration; Tmax, time to maximum observed concentration; AUC0-t, area under the concentration-time curve from time 0 to the last measured concentration; AUC0-∞, area under the concentration-time curve from time 0 to infinity; t½, elimination half-life |
||||
Absorption
Fidaxomicin has minimal systemic absorption following oral administration, with plasma concentrations of fidaxomicin and OP-1118 in the ng/mL range at the therapeutic dose. In fidaxomicin-treated patients from controlled trials, plasma concentrations of fidaxomicin and OP-1118 obtained within the Tmax window (1-5 hours) were approximately 2- to 6-fold higher than Cmax values in healthy adults. Following administration of DIFICID 200 mg twice daily for 10 days, OP-1118 plasma concentrations within the Tmax window were approximately 50%-80% higher than on Day 1, while concentrations of fidaxomicin were similar on Days 1 and 10.
In a food-effect study involving administration of DIFICID to healthy adults (N=28) with a high-fat meal versus under fasting conditions, Cmax of fidaxomicin and OP-1118 decreased by 21.5% and 33.4%, respectively, while AUC0-t remained unchanged. This decrease in Cmax is not considered clinically significant, and thus, DIFICID may be administered with or without food.
Distribution
Fidaxomicin is mainly confined to the gastrointestinal tract following oral administration. In selected patients (N=8) treated with DIFICID 200 mg twice daily for 10 days from controlled trials, fecal concentrations of fidaxomicin and OP-1118 obtained within 24 hours of the last dose ranged from 639-2710 μg /g and 213-1210 μg /g, respectively. In contrast, plasma concentrations of fidaxomicin and OP-1118 within the Tmax window (1-5 hours) ranged 2-179 ng/mL and 10-829 ng/mL, respectively.
Metabolism
Fidaxomicin is primarily transformed by hydrolysis at the isobutyryl ester to form its main and microbiologically active metabolite, OP-1118. Metabolism of fidaxomicin and formation of OP-1118 are not dependent on cytochrome P450 (CYP) enzymes.
At the therapeutic dose, OP-1118 was the predominant circulating compound in healthy adults, followed by fidaxomicin.
Excretion
Fidaxomicin is mainly excreted in feces. In one trial of healthy adults (N=11), more than 92% of the dose was recovered in the stool as fidaxomicin and OP-1118 following single doses of 200 mg and 300 mg. In another trial of healthy adults (N=6), 0.59% of the dose was recovered in urine as OP-1118 only following a single dose of 200 mg.
Specific Populations
Geriatric
In controlled trials of patients treated with DIFICID® 200 mg twice daily for 10 days, mean and median values of fidaxomicin and OP-1118 plasma concentrations within the Tmax window (1-5 hours) were approximately 2- to 4- fold higher in elderly patients ( ≥ 65 years of age) versus non-elderly patients ( < 65 years of age). Despite greater exposures in elderly patients, fidaxomicin and OP-1118 plasma concentrations remained in the ng/mL range [see Use in Specific Populations].
Gender
Plasma concentrations of fidaxomicin and OP-1118 within the Tmax window (1-5 hours) did not vary by gender in patients treated with DIFICID 200 mg twice daily for 10 days from controlled trials. No dose adjustment is recommended based on gender.
Renal Impairment
In controlled trials of patients treated with DIFICID 200 mg twice daily for 10 days, plasma concentrations of fidaxomicin and OP-1118 within the Tmax window (1-5 hours) did not vary by severity of renal impairment (based on creatinine clearance) between mild (51-79 mL/min), moderate (31-50 mL/min), and severe ( ≤ 30 mL/min) categories. No dose adjustment is recommended based on renal function.
Hepatic Impairment
The impact of hepatic impairment on the pharmacokinetics of fidaxomicin has not been evaluated. Because fidaxomicin and OP-1118 do not appear to undergo significant hepatic metabolism, elimination of fidaxomicin and OP-1118 is not expected to be significantly affected by hepatic impairment.
Drug Interactions
In vivo studies were conducted to evaluate intestinal drug-drug interactions of fidaxomicin as a P-gp substrate, P-gp inhibitor, and inhibitor of major CYP enzymes expressed in the gastrointestinal tract (CYP3A4, CYP2C9, and CYP2C19).
Table 3 summarizes the impact of a co-administered drug (P-gp inhibitor) on the pharmacokinetics of fidaxomicin [see DRUG INTERACTIONS].
Table 3: Pharmacokinetic Parameters of Fidaxomicin and
OP-1118 in the Presence of a Co-Administered Drug
| Parameter | Cyclosporine 200 mg + Fidaxomicin 200 mg* (N=14) |
Fidaxomicin 200 mg Alone (N=14) |
Mean Ratio of Parameters With/Without Co-Administered Drug (90% CI †) No Effect = 1.00 | ||
| N | Mean | N | Mean | ||
| Fidaxomicin | |||||
| Cmax (ng/mL) | 14 | 19.4 | 14 | 4.67 | 4.15 (3.23-5.32) |
| AUC0-∞ (ng-h/mL) | 8 | 114 | 9 | 59.5 | 1.92 (1.39-2.64) |
| OP-1118 | |||||
| Cmax (ng/mL) | 14 | 100 | 14 | 10.6 | 9.51 (6.93-13.05) |
| AUC0-∞ (ng-h/mL) | 12 | 438 | 10 | 106 | 4.11 (3.06-5.53) |
| * Cyclosporine was administered 1 hour before
fidaxomicin. † CI - confidence interval |
|||||
Fidaxomicin had no significant impact on the pharmacokinetics of the following co-administered drugs: digoxin (P-gp substrate), midazolam (CYP3A4 substrate), warfarin (CYP2C9 substrate), and omeprazole (CYP2C19 substrate). No dose adjustment is warranted when fidaxomicin is co-administered with substrates of P-gp or CYP enzymes.
Microbiology
Spectrum of Activity
Fidaxomicin is a fermentation product obtained from the Actinomycete Dactylosporangium aurantiacum. In vitro, fidaxomicin is active primarily against species of clostridia, including Clostridium difficile.
Mechanism of Action
Fidaxomicin is bactericidal against C. difficile in vitro, inhibiting RNA synthesis by RNA polymerases.
Mechanism of Decreased Susceptibility to Fidaxomicin
In vitro studies indicate a low frequency of spontaneous resistance to fidaxomicin in C. difficile (ranging from < 1.4 × 10-9 to 12.8 × 10-9). A specific mutation (Val-ll43-Gly) in the beta subunit of RNA polymerase is associated with reduced susceptibility to fidaxomicin. This mutation was created in the laboratory and seen during clinical trials in a C. difficile isolate obtained from a subject treated with DIFICID who had recurrence of CDAD. The C. difficile isolate from the treated subject went from a fidaxomicin baseline minimal inhibitory concentration (MIC) of 0.06 μg/mL to 16 μg/mL.
Cross-Resistance/Synergy/Post-Antibiotic Effect
Fidaxomicin demonstrates no in vitro cross-resistance with other classes of antibacterial drugs. Fidaxomicin and its main metabolite OP-1118 do not exhibit any antagonistic interaction with other classes of antibacterial drugs. In vitro synergistic interactions of fidaxomicin and OP-1118 have been observed in vitro with rifampin and rifaximin against C. difficile (FIC values ≤ 0.5). Fidaxomicin demonstrates a post-antibiotic effect vs. C. difficile of 6-10 hrs.
Susceptibility Testing
The clinical microbiology laboratory should provide cumulative results of the in vitro susceptibility test results for antimicrobial drugs used in local hospitals and practice areas to the physician as periodic reports that describe the susceptibility profile of nosocomial and community-acquired pathogens. These reports should aid the physician in selecting appropriate antimicrobial drug therapy.
Dilution Techniques
Quantitative anaerobic in vitro methods can be used to determine the MIC of fidaxomicin needed to inhibit the growth of the C. difficile isolates. The MIC provides an estimate of the susceptibility of C. difficile isolate to fidaxomicin. The MIC should be determined using standardized procedures.{1} Standardized methods are based on an agar dilution method or equivalent with standardized inoculum concentrations and standardized concentration of fidaxomicin powder.
Susceptibility Test Interpretive Criteria
In vitro susceptibility test interpretive criteria for fidaxomicin have not been determined. The relation of the in vitro fidaxomicin MIC to clinical efficacy of fidaxomicin against C. difficile isolates can be monitored using in vitro susceptibility results obtained from standardized anaerobe susceptibility testing methods.
Quality Control Parameters for Susceptibility Testing
In vitro susceptibility test quality control parameters were developed for fidaxomicin so that laboratories determining the susceptibility of C. difficile isolates to fidaxomicin can ascertain whether the susceptibility test is performing correctly. Standardized dilution techniques require the use of laboratory control microorganisms to monitor the technical aspects of the laboratory procedures. Standardized fidaxomicin powder should provide the MIC with the indicated quality control strain shown in Table 4.
Table 4: Acceptable Quality Control Ranges for
Fidaxomicin
| Microorganism | MIC Range (μg/mL) |
| C. difficile (ATCC 700057) | 0.03-0.25 |
Clinical Studies
In two randomized, double-blinded trials, a non-inferiority design was utilized to demonstrate the efficacy of DIFICID® (200 mg twice daily for 10 days) compared to vancomycin (125 mg four times daily for 10 days) in adults with Clostridium difficile-associated diarrhea (CDAD).
Enrolled patients were 18 years of age or older, and received no more than 24 hours of pretreatment with vancomycin or metronidazole. CDAD was defined by > 3 unformed bowel movements (or > 200 mL of unformed stool for subjects having rectal collection devices) in the 24 hours before randomization, and presence of either C. difficile toxin A or B in the stool within 48 hours of randomization. Enrolled patients had either no prior CDAD history or only one prior CDAD episode in the past three months. Subjects with life-threatening/fulminant infection, hypotension, septic shock, peritoneal signs, significant dehydration, or toxic megacolon were excluded.
The demographic profile and baseline CDAD characteristics of enrolled subjects were similar in the two trials. Patients had a median age of 64 years, were mainly white (90%), female (58%), and inpatients (63%). The median number of bowel movements per day was 6, and 37% of subjects had severe CDAD (defined as 10 or more unformed bowel movements per day or WBC ≥ 15000/mm³). Diarrhea alone was reported in 45% of patients and 84% of subjects had no prior CDAD episode.
The primary efficacy endpoint was the clinical response rate at the end of treatment, based upon improvement in diarrhea or other symptoms such that, in the investigator's judgment, further CDAD treatment was not needed. An additional efficacy endpoint was sustained clinical response 25 days after the end of treatment. Sustained response was evaluated only for patients who were clinical successes at the end of treatment. Sustained response was defined as clinical response at the end of treatment, and survival without proven or suspected CDAD recurrence through 25 days beyond the end of treatment.
The results for clinical response at the end of treatment in both trials, shown in Table 5, indicate that DIFICID is non-inferior to vancomycin based on the 95% confidence interval (CI) lower limit being greater than the noninferiority margin of -10%.
The results for sustained clinical response at the end of the follow-up period, also shown in Table 5, indicate that DIFICID is superior to vancomycin on this endpoint. Since clinical success at the end of treatment and mortality rates were similar across treatment arms (approximately 6% in each group), differences in sustained clinical response were due to lower rates of proven or suspected CDAD during the follow-up period in DIFICID patients.
Table 5: Clinical Response Rates at End-of-Treatment
and Sustained Response at 25 days Post-Treatment
| Clinical Response at End of Treatment | Sustained Response at 25 days Post Treatment | |||||
| DIFICID % (N) | Vancomycin % (N) | Difference (95% CI)* | DIFICID % (N) | Vancomycin % (N) | Difference (95% CI)* | |
| Trial 1 | 88% | 86% | 2.6% | 70% | 57% | 12.7% |
| (N=289) | (N=307) | (-2.9%, 8.0%) | (N=289) | (N=307) | (4.4%, 20.9%) | |
| Trial 2 | 88% | 87% | 1.0% | 72% | 57% | 14.6% |
| (N=253) | (N=256) | (-4.8%, 6.8%) | (N=253) | (N=256) | (5.8%, 23.3%) | |
| * Confidence interval (CI) was derived using Wilson's score method. Approximately 5%-9% of the data in each trial and treatment arm were missing sustained response information and were imputed using multiple imputation method. | ||||||
Restriction Endonuclease Analysis (REA) was used to identify C. difficile baseline isolates in the BI group, isolates associated with increasing rates and severity of CDAD in the US in the years prior to the clinical trials. Similar rates of clinical response at the end of treatment and proven or suspected CDAD during the follow-up period were seen in fidaxomicin-treated and vancomycin-treated patients infected with a BI isolate. However, DIFICID did not demonstrate superiority in sustained clinical response when compared with vancomycin (Table 6).
Table 6: Sustained Clinical Response at 25 Days after
Treatment by C. difficile REA Group at Baseline
| Trial 1 | |||
| Initial C. difficile Group | DIFICID n/N (%) | Vancomycin n/N (%) | Difference (95% CI)* |
| BI Isolates | 44/76 (58%) | 52/82 (63%) | -5.5% (-20.3%, 9.5%) |
| Non-BI Isolates | 105/126 (83%) | 87/131 (66%) | 16.9% (6.3%, 27.0%) |
| Trial 2 | |||
| Initial C. difficile Group | DIFICID n/N (%) | Vancomycin n/N (%) | Difference (95% CI)* |
| BI Isolates | 42/65 (65%) | 31/60 (52%) | 12.9% (-4.2%, 29.2%) |
| Non-BI Isolates | 109/131 (83%) | 77/121 (64%) | 19.6% (8.7%, 30.0%) |
| * Interaction test between the effect on sustained response rate and BI versus non-BI isolates using logistic regression (p-values: trial 1:0.009; trial 2: 0.29). Approximately 25% of the mITT population were missing data for REA group. Confidence intervals (CI) were derived using Wilson's score method. | |||
REFERENCES
1. Clinical and Laboratory Standards Institute (CLSI). Methods for Antimicrobial Susceptibility Testing of Anaerobic Bacteria; Approved Standard - 7th edition. CLSI document M11-A7. CLSI, 940 West Valley Rd., Suite 1400, Wayne, PA 19087-1898, 2007.
Medication Guide
PATIENT INFORMATION
Administration With Food
Patients should be informed that DIFICID tablets may be taken with or without food.
Antibacterial Resistance
Patients should be counseled that antibacterial drugs, including DIFICID should only be used to treat bacterial infections. They do not treat viral infections (e.g., the common cold). When DIFICID is prescribed to treat a C. difficile infection, patients should be told that, although it is common to feel better early in the course of therapy, the medication should be taken exactly as directed. Skipping doses or not completing the full course of therapy may (1) decrease the effectiveness of the immediate treatment and (2) increase the likelihood that bacteria will develop resistance and will not be treatable by DIFICID or other antibacterial drugs in the future.

