Medical Information Only: This medication is not sold on this site. The information provided is for reference purposes only. Please consult your local physician or pharmacist for treatment.

Staladex 10.72 mg Implant (as leuprorelin acetate 11.25 mg): Clinical Particulars

 

Active ingredient: leuprorelin acetate

Medically reviewed by Min Clinic Staff | Updated: January 2026

1. Name of the medicinal product

Staladex 10.72 mg Implant

 

2. Qualitative and quantitative composition

Each implant contains 10.72 mg leuprorelin (as leuprorelin acetate 11.25 mg).

For the full list of excipients, see section 6.1.

 

3. Pharmaceutical form

Implant in a pre-filled syringe

White to off-white cylindrical rod (approximate dimensions: length 17.8 mm, diameter 1.5 mm)

 

4. Clinical particulars

4.1 Therapeutic indications

Staladex is used in men for the following indications:

For the treatment of hormone-dependent, advanced prostate cancer.

For the treatment of high risk, localized and locally advanced, hormone-dependent prostate cancer in combination with radiotherapy.

 

4.2 Posology and method of administration

Posology

Administer one implant once every three months.

Method of administration

Staladex should be administered only by healthcare professionals.

Staladex is injected subcutaneously under the abdominal skin.

Animal study findings (thrombosis of small vessels distal to the administration site) indicate that accidental intra-arterial injection must be avoided.

Response to Leuprorelin therapy should be monitored by clinical parameters and by measuring prostate-specific antigen (PSA) serum levels. Clinical studies with leuprorelin acetate have shown that testosterone levels increased during the first 4 days of treatment in the majority of non-orchidectomised patients. They then decreased and reached castrate levels by 2-4 weeks. Once attained, castrate levels were maintained as long as drug therapy continued. If a patient's response appears to be sub-optimal, then it would be advisable to confirm that serum testosterone levels have reached or are remaining at castrate levels.

Treatment of prostate cancer patients with a gonadotropin releasing hormone (GnRH) analogue can be continued even after castration resistance has developed, ensuring compliance with relevant guidelines.

Treatment of advanced, hormone-dependent prostate cancer with Leuprorelin is usually a long-term treatment.

Clinical data have shown that 3 years of androgen deprivation therapy used concomitantly with and after radiotherapy is preferable to a 6-month course of androgen deprivation therapy in locally advanced, hormone-dependent prostate cancer (see also section 5.1). Medical guidelines recommend a 2- to 3-year course of androgen deprivation therapy for patients (T3 - T4) receiving radiotherapy.

 

4.3 Contraindications

• Hypersensitivity to leuprorelin or other GnRH analogues, to polylactic acid or to any of the implant excipients listed in section 6.1.

• Patients who previously underwent orchiectomy.

• As the sole treatment in prostate cancer patients with spinal cord compression or evidence of spinal metastases.

• In women or paediatric patients.

 

4.4 Special warnings and precautions for use

Transient testosterone flare:

As with other GnRH agonists, Leuprorelin causes a transient increase in serum concentrations of testosterone, dihydrotestosterone and acid phosphatase during the first week of treatment. Patients may experience worsening of symptoms or onset of new symptoms, including bone pain, neuropathy, haematuria, or ureteral or bladder outlet obstruction (see section 4.8). These symptoms usually subside on continuation of therapy.

Additional administration of an appropriate anti-androgen should be considered beginning 3 days prior to leuprorelin therapy and continuing for the first two to three weeks of treatment. This has been reported to prevent the sequelae of an initial rise in serum testosterone.

Following surgical castration, Leuprorelin does not lead to a further decrease in serum testosterone levels in male patients.

Therapeutic success should be monitored regularly (but particularly if there is evidence of progression despite appropriate treatment) by means of clinical examinations (digital rectal examination of the prostate, ultrasound, skeletal scintigraphy, computed tomography) and by checking phosphatases and/or PSA and serum testosterone.

Cases of ureteral obstruction and spinal cord compression, which may contribute to paralysis with or without fatal complications, have been reported with GnRH agonists. If spinal cord compression or renal impairment develops, standard treatment of these complications should be instituted.

Patients with vertebral and/or brain metastases as well as patients with urinary tract obstruction should be closely monitored during the first few weeks of therapy.

Patients with hypertension should be carefully monitored.

Bone density:

Decreased bone density has been reported in the medical literature in men who have had orchiectomy or who have been treated with GnRH agonists (see section 4.8).

Anti-androgen therapy significantly increases the risk for fractures owing to osteoporosis. Only limited data is available on this issue. Fractures owing to osteoporosis were observed in 5% of patients following 22 months of pharmacological androgen deprivation therapy and in 4% of patients following 5 to 10 years of treatment. The risk for fractures owing to osteoporosis is generally higher than the risk for pathological fractures.

Apart from long lasting testosterone deficiency, increased age, smoking and consumption of alcoholic beverages, obesity and insufficient exercise may have an influence on the development of osteoporosis.

Pituitary apoplexy:

During post-marketing surveillance, rare cases of pituitary apoplexy (a clinical syndrome secondary to infarction of the pituitary gland) have been reported after the administration of GnRH-agonists, with a majority occurring within 2 weeks of the first dose, and some within the first hour. In these cases, pituitary apoplexy was presented as sudden headache, vomiting, visual changes, ophthalmoplegia, altered mental status, and sometimes cardiovascular collapse. Immediate medical attention is required.

Depression

There is an increased risk of incident depression (which may be serious) in patients undergoing treatment with GnRH agonists, such as leuprorelin. Patients should be informed of this risk and treated as appropriate if symptoms occur.

Convulsions

There have been post-marketing reports of convulsions observed in patients treated with leuprorelin acetate and these events have been reported in both children and adults with or without a history of epilepsy, seizure disorders or risk factors for seizures.

The use of Leuprorelin can produce positive results in doping tests.

Metabolic changes and cardiovascular risk:

Epidemiological data have shown that treatment with GnRH analogues is associated with changes in metabolism (reduction in glucose tolerance or aggravation of pre- existing diabetes mellitus) and may result in an increased risk of cardiovascular diseases. However, prospective data did not confirm the link between treatment with GnRH analogues and an increase in cardiovascular mortality. Patients with diabetes and those at increased risk of metabolic or cardiovascular diseases should be appropriately monitored during treatment with Staladex.

Androgen deprivation therapy may prolong the QT interval.

In patients with a history of or risk factors for QT interval prolongation and in patients receiving concomitant medicinal products known to prolong the QT interval (see section 4.5) physicians should carefully assess the benefit/risk ratio including the potential for developing torsade de pointes prior to initiating therapy with Staladex.

Hepatic dysfunction:

Hepatic dysfunction and jaundice with elevated liver enzyme levels have been reported with the use of leuprorelin acetate. Therefore, close observation should be made and appropriate measures taken if necessary.

Injection site abscesses

Abscesses at the injection site occur rarely. In one report of an abscess at the injection site, the absorption of leuprorelin from the depot appeared to be decreased. It is therefore advised to determine testosterone levels in such cases.

 

4.5 Interaction with other medicinal products and other forms of interaction

No pharmacokinetic drug-drug interaction studies have been performed with Staladex. There have been no reports of any interactions of leuprorelin acetate with other medicinal products

As androgen deprivation therapy may prolong the QT interval, the concomitant use of Staladex with other medicinal products known to prolong the QT interval or medicinal products with the potential for developing torsade de pointes, such as class IA (e.g. quinidine, disopyramide) or class III (e.g. amiodarone, sotalol, dofetilide, ibutilide) antiarrhythmic medicinal products, methadone, moxifloxacin, antipsychotics and other medicinal products, should be carefully evaluated (see section 4.4).

 

4.6 Fertility, pregnancy and lactation

Staladex is not indicated for use in women and is generally contraindicated during pregnancy and lactation.

 

4.7 Effects on ability to drive and use machines

No studies on the effects of Leuprorelin on the ability to drive and use machines have been performed. However, the ability to drive and use machines may be impaired due to visual disturbances and dizziness.

Fatigue is common, particularly during initiation of therapy, and may also be due to the underlying malignancy.

 

4.8 Undesirable effects

Initially, patients typically experience a brief increase in serum testosterone levels, which may temporarily worsen some of the symptoms of disease (development of or increase in bone pain, urinary obstruction and its consequences, spinal cord compression, muscle weakness in the legs, lymphoedema). This increase in symptoms usually subsides spontaneously without discontinuation of Staladex.

Sex hormone deprivation may give rise to adverse reactions. The reported frequencies of adverse reactions are based on the following categories: very common (≥1/10), common (≥1/100 to <1/10), uncommon (≥1/1,000 to <1/100), rare (≥1/10,000 to <1/1,000), very rare (<1/10,000), not known (cannot be estimated from the available data).

Table 1. Undesirable effects

Blood and lymphatic system disorders

Not known

Anaemia, thrombocytopaenia, leucopenia

Immune system disorders

Uncommon

Systemic allergic reactions (fever, pruritus, eosinophilia, rash)

Very rare

Anaphylactic reactions

Metabolism and nutrition disorders

Common

Decreased appetite, increased appetite

Rare

Change in diabetic control (increase or decrease in blood glucose levels)

Not known

Lipids abnormal

Psychiatric disorders

Common

Depression, sleep disorders, mood swings

Nervous system disorders

Common

Headache, paraesthesia

Rare

Dizziness, transient dysgeusia

Very rare

As with other medicinal products in this drug class, pituitary apoplexy has very rarely been reported following initial administration of leuprorelin acetate in patients with pituitary adenoma.

Not known

Seizures

Eye disorders

Not known

Visual impairment

Cardiac disorders

Not known

QT interval prolonged (see sections 4.4 and 4.5), palpitations

Vascular disorders

Very common

Hot flushes

Rare

Changes in blood pressure (hypertension or hypotension)

Not known

Pulmonary embolism

Gastrointestinal disorders

Common

Nausea/vomiting

Uncommon

Diarrhoea

Hepatobiliary disorders

Common

Increases in LDH, transaminases, gamma-GT and alkaline phosphatase, which may, however, be manifestations of the underlying disease.

Not known

Jaundice

Skin and subcutaneous tissue disorders

Uncommon

Dry skin and/or mucous membranes, night sweats

Rare

Alopecia

Musculoskeletal and connective tissue disorders

Very common

Bone pain

Common

Joint and/or back pain, muscle weakness

Not known

Bone demineralisation (see section 4.4)

Renal and urinary disorders

Common

Nocturia, dysuria, pollakiuria

Uncommon

Urinary tract obstruction

Reproductive system and breast disorders

Very common

Reduction in or loss of libido and erectile dysfunction, reduction in the size of the testicles

Common

Gynaecomastia

Uncommon

Testicular pain

Respiratory, thoracic and mediastinal disorders

Not known

Interstitial lung disease

General disorders and administration site conditions

Very common

Increased sweating, injection site reactions such as erythema, pain, oedema, pruritus, which have usually resolved also with continued treatment.

Common

Fatigue, peripheral oedema

Investigations

Very common

Weight gain

Common

Weight loss

Special notes:

It is advisable the response to Leuprorelin therapy is monitored by measuring serum concentrations of testosterone 28 days after each injection carried out and before each re-administration of Staladex and additionally on the basis of other laboratory tests like acid phosphatase and PSA. For example, testosterone levels show an initial surge upon initiation of therapy, only to decrease thereafter over a period of two weeks. After two to four weeks, testosterone concentrations reach levels similar to those observed following bilateral orchiectomy and remain at that level throughout the treatment period.

An increase in acid phosphatase levels may be seen in the initial phase of treatment and is transient in nature. Acid phosphatase usually returns to normal levels or near- normal levels after a few weeks.

Abscesses at the injection site occur rarely. In one report of an abscess at the injection site, the absorption of leuprorelin from the depot appeared to be decreased. It is therefore advised to determine testosterone levels in such cases.

Reporting of suspected adverse reactions

Reporting suspected adverse reactions after authorisation of the medicinal product is important. It allows continued monitoring of the benefit/risk balance of the medicinal product. Healthcare professionals are asked to report any suspected adverse reactions via the Yellow Card Scheme at www.mhra.gov.uk/yellowcard or search for MHRA Yellow Card in the Google Play or Apple App Store.

 

4.9 Overdose

No symptoms of intoxication have been observed to date.

Even when administering doses of up to 20 mg leuprorelin acetate per day for two years ( the dose levels used in early clinical studies), no other or new adverse reactions differing from those seen after daily administration of 1 mg or three- monthly administration of 11.25 mg were observed.

 

5. Pharmacological properties

5.1 Pharmacodynamic properties

Pharmacotherapeutic group: GnRH analogues, ATC code: L02AE02

Leuprorelin acetate, the active substance of Staladex, is a synthetic analogue of the naturally occurring hypothalamic releasing factor GnRH, which controls the release of the gonadotropic hormones LH (luteinising hormone) and FSH (follicle-stimulating hormone) from the anterior lobe of the pituitary gland. These hormones in turn stimulate gonadal steroid synthesis.

Unlike physiological GnRH, which is released in a pulsatile manner from the hypothalamus, leuprorelin acetate – also known as GnRH agonist – blocks pituitary GnRH receptors continuously during long-term therapeutic use and, after initial short- term stimulation, causes their desensitisation (down regulation).

Men

As a result, there is reversible pituitary suppression of gonadotropin release with a subsequent drop in testosterone concentrations in men, which in turn influences the growth of carcinomatous prostate tissue which is normally stimulated by dihydrotestosterone, formed by the reduction of testosterone in prostate cells.

Continuous administration of leuprorelin acetate leads to a decrease in the number and/or sensitivity (down regulation) of pituitary receptors and consequently to a decrease in LH, FSH and DHT levels. This causes testosterone concentrations to be reduced to castration levels.

An anti-androgenic effect and growth inhibition of prostatic carcinomas have also been demonstrated in animal studies.

Experimental and clinical studies have shown that three-monthly treatment with leuprorelin acetate inhibits the release of gonadotropin after initial stimulation.

In men, subcutaneous administration of leuprorelin acetate causes an initial increase in LH and FSH, characterised by a transient increase in testosterone and dihydrotestosterone levels.

In isolated cases, an associated short-term symptomatic aggravation of the disease has been observed in the first three weeks; consideration should therefore be given to adjuvant anti-androgen therapy in men with prostate cancer.

In contrast, long-term treatment with leuprorelin acetate causes a decrease in LH and FSH concentrations in all patients; in men, androgen concentrations similar to those seen following bilateral orchiectomy are reached. These changes usually appear two to three weeks after the start of therapy and are maintained throughout the treatment period. This is also the reason why leuprorelin acetate can be used to test the hormone sensitivity of prostate cancer and the potential therapeutic value of orchiectomy.

Orchiectomy may be replaced with three-monthly administration of leuprorelin acetate in selected cases. So far, it has been possible to maintain castrate testosterone levels following continuous administration of leuprorelin acetate for five years.

Clinical efficacy

A phase 3 multicentre, randomised study of leuprorelin acetate evaluated 263 patients with stage T3 - T4 or pT3, N0, M0 locally advanced prostate cancer. 133 patients received a combination of radiotherapy plus long-term androgen deprivation therapy for 3 years, and 130 patients received 3 years' of androgen deprivation therapy with leuprorelin acetate alone.

Based on ASTRO (Phoenix) criteria, the 5-year progression-free survival was 60.9% (64.7%) in the combination therapy group compared to 8.5% (15.4%) in the group receiving hormone therapy alone [p=0.0001; (p=0.0005)]. Based on ASTRO criteria, the progression risk was 3.8-fold greater in the group receiving hormone therapy alone (95% CI [2.17; 6.49]).

The median clinical or biochemical progression-free survival, as defined by ASTRO, was 641 days (95% CI [626; 812]) in the group receiving ADT alone versus 2,804 days (95% CI [2,090; -]; p<0.0001) in the combination therapy group. There were additional statistically significant differences in locoregional progression [HR 3.6 (95% CI [1..9; 6.8]; p<0.0001)], metastatic progression (p<0.018) and metastasis- free survival (p=0.018) for the combination therapy group versus the group receiving androgen deprivation therapy alone.

The results of this study showed that 3 years of androgen deprivation therapy with leuprorelin acetate in combination with radiotherapy was superior to 3 years of androgen deprivation therapy with leuprorelin acetate alone.

Evidence for the indication of high-risk localized prostate cancer is based on published studies of radiotherapy combined with GnRH analogues, including leuprorelin acetate. Clinical data from five published studies were analyzed (EORTC 22863, RTOG 85-31, RTOG 92-02, RTOG 8610, and D'Amico et al., JAMA, 2004), which all demonstrate a benefit for the combination of GnRH analogue with radiotherapy. Clear differentiation of the respective study populations for the indications locally advanced prostate cancer and high-risk localized prostate cancer was not possible in the published studies.

Clinical data have shown that radiotherapy followed by 3 years of androgen deprivation therapy is preferable to radiotherapy followed by 6 months of androgen deprivation therapy.

The recommended duration of androgen deprivation therapy in medical guidelines for T3-T4 patients receiving radiotherapy is 2-3 years.

Clinical studies in patients with metastatic, castration-resistant prostate cancer have shown a benefit from additional dosing with drugs such as androgen synthesis inhibitors (e.g. abiraterone acetate), anti-androgens (e..g. enzalutamide), taxanes (e.g. docetaxel or cabazitaxel) or radiotherapeutics (e.g. radium-223) in addition to GnRH agonists such as leuprorelin acetate.

 

5.2 Pharmacokinetic properties

Release

Following injection of the implant, the active substance, leuprorelin acetate, is released continuously over a period of 3 months. The polymers are absorbed like surgical suture material.

Resorption

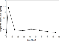
Figure 1 presents the leuprorelin plasma levels in male patients after s.c. injection of Staladex (single application). After 3 days plasma levels of 2.39 ± 1.15 ng/mL are measured. Measurable leuprorelin plasma levels are available over the whole application period.

Figure 1: Leuprorelin plasma levels [ng/mL] after s.c. application of Staladex in male patients

Distribution and elimination

The volume of distribution of leuprorelin in men is 36 l, and total clearance is 139.6 ml/min (determined when using leuprorelin acetate as a depot formulation).

Repeated dosing produces a sustained reduction in the testosterone concentration to castration levels, without the testosterone concentration showing the transient rise seen after the first injection.

Patients with renal/hepatic impairment

Leuprorelin levels in patients with renal and/or hepatic impairment were similar to those measured in patients with normal kidney and/or liver function. Some patients with chronic kidney disease showed higher leuprorelin serum levels. However, this observation appears to have no clinical significance.

Bioavailability

The relative bioavailability after 84 days for Staladex is 84.6 %, calculated based on comparison with the AUC of an intravenous injection of 1 mg leuprorelin acetate.

 

5.3 Preclinical safety data

Acute toxicity (LD50 )

The acute toxicity of the depot formulation was studied in male and female mice and rats by four routes (IP, IM, SC, PO). No deaths were observed up to doses of 2,000 or 5,000 mg leuprorelin acetate.

Repeated dose toxicity

Chronic toxicity studies were carried out in rats and dogs for 13 weeks (subcutaneous or intramuscular injection of up to 8 mg leuprorelin acetate/kg body weight per week) and for 12 months (subcutaneous administration of up to 32 mg leuprorelin acetate/kg body weight per month).

All dose levels (the lowest dose tested was 0.8 mg leuprorelin acetate/kg body weight per month) were associated with local skin lesions at the injection site and atrophic changes in the reproductive organs. Rats showed vacuoles in liver cells and in renal tubular epithelial cells at all dose levels. The observed reproductive organ changes are explained by the endocrinological effect of the substance.

Carcinogenicity, mutagenicity, effect on fertility

Carcinogenicity

Two-year carcinogenicity studies were carried out in rats and mice. Rats showed a dose-related increase in pituitary adenomas. These findings were seen in rats after daily subcutaneous dosing with doses ranging from 0.6 to 4 mg for 24 months. Mice developed no pituitary adenomas at a dose of 60 mg/kg/day for two years.

Mutagenicity

In vitro and in vivo assays of leuprorelin acetate performed to detect gene and chromosomal mutations produced no evidence of a mutagenic potential.

Fertility

Studies in sexually mature female rats dosed twice daily with leuprorelin acetate 10 μg SC for 14 days or 40 μg SC for 13 days showed increased organ weights of the uterus and ovaries, increased hormone levels and the appearance of fresh corpora lutea following discontinuation of the substance.

Three-month studies in immature female and male rats with continuous (200 μg/kg body weight/day) or intermittent (0.8 or 2.4 mg/kg body weight/month) administration showed normal reproductive behaviour in the post-treatment recovery period. The F1 generation showed no abnormalities. The reproductive behaviour of the F1 generation was not studied.

Clinical and pharmacological studies in men have shown that suppression of fertility was fully reversible within not more than 24 weeks after discontinuation of continuous dosing with leuprorelin acetate.

Reproductive toxicity

Studies in rats and rabbits have produced no evidence of teratogenic potential. Embryotoxic/embryolethal effects were observed in rabbits at doses greater than 0.24 μg/kg.

 

6. Pharmaceutical particulars

6.1 List of excipients

Polylactic acid

Poly(D,L-lactide-co-glycolide) (1:1)

 

6.2 Incompatibilities

Not applicable.

 

6.3 Shelf life

4 years.

The pre-filled syringe must be used immediately after opening the sterile pouch.

 

6.4 Special precautions for storage

Do not store above 30°C. Store the pre-filled syringe in the unopened original package.

 

6.5 Nature and contents of container

Plastic pre-filled syringe (with depot chamber) with stainless steel plunger and needle. The pre-filled syringe is packaged together with a desiccant in a sealed sterile plastic/aluminium foil laminate pouch.

Pack sizes (each also as hospital pack):

1 pre-filled syringe containing 1 implant

2 pre-filled syringes each containing 1 implant

4 pre-filled syringes each containing 1 implant

Bundle packs (each also as hospital pack):

2 (2x1) pre-filled syringes each containing 1 implant

4 (2x2) pre-filled syringes each containing 1 implant

4 (4x1) pre-filled syringes each containing 1 implant

Not all pack sizes may be marketed.

 

6.6 Special precautions for disposal and other handling

No special requirements.

 

7. Marketing authorisation holder

Amdeepcha Limited,

85 Yarmouth Road

Blofield

Norwich

United Kingdom

 

8. Marketing authorisation number

PL 19255/0016

 

9. Date of first authorisation/renewal of the authorisation

03/04/2019

 

10. Date of revision of the text

06/11/2020