Medical Information Only: This medication is not sold on this site. The information provided is for reference purposes only. Please consult your local physician or pharmacist for treatment.

Insulin lispro Sanofi 100 units/ml solution for injection in: Clinical Particulars

 

Active ingredient: insulin lispro

Medically reviewed by Min Clinic Staff | Updated: January 2026

 This medicinal product is subject to additional monitoring. This will allow quick identification of new safety information. Healthcare professionals are asked to report any suspected adverse reactions. See section 4.8 for how to report adverse reactions.

 

1. Name of the medicinal product

Insulin lispro Sanofi 100 units/ml solution for injection in vial

Insulin lispro Sanofi 100 units/ml solution for injection in cartridge

Insulin lispro Sanofi 100 units/ml solution for injection in a pre-filled pen

 

2. Qualitative and quantitative composition

One ml solution contains 100 units (equivalent to 3.5 mg) insulin lispro*.

Insulin lispro Sanofi 100 units/ml solution for injection in vial

Each vial contains 10 ml equivalent to 1,000 units insulin lispro.

Insulin lispro Sanofi 100 units/ml solution for injection in cartridge

Each cartridge contains 3 ml equivalent to 300 units insulin lispro.

Insulin lispro Sanofi 100 units/ml solution for injection in a pre-filled pen

Each pre-filled pen contains 3 ml equivalent to 300 units insulin lispro.

Each pre-filled pen delivers 1-80 units in steps of 1 unit.

* produced in E.coli by recombinant DNA technology

For the full list of excipients, see section 6.1.

 

3. Pharmaceutical form

Insulin lispro Sanofi 100 units /ml solution for injection in vial

Solution for injection (injection).

Insulin lispro Sanofi 100 units /ml solution for injection in cartridge

Solution for injection (injection).

Insulin lispro Sanofi 100 units /ml solution for injection in a pre-filled pen

Solution for injection (injection) SoloStar.

Clear, colourless, aqueous solution.

 

4. Clinical particulars

4.1 Therapeutic indications

For the treatment of adults and children with diabetes mellitus who require insulin for the maintenance of normal glucose homeostasis. Insulin lispro Sanofi is also indicated for the initial stabilisation of diabetes mellitus.

 

4.2 Posology and method of administration

Posology

The dosage should be determined by the physician, according to the requirement of the patient.

Insulin lispro may be given shortly before meals. When necessary insulin lispro can be given soon after meals.

Insulin lispro Sanofi takes effect rapidly and has a shorter duration of activity (2 to 5 hours) given subcutaneously as compared with regular insulin. This rapid onset of activity allows an Insulin lispro Sanofi injection (or, in the case of administration by continuous subcutaneous infusion, an Insulin lispro Sanofi bolus) to be given very close to mealtime. The time course of action of any insulin may vary considerably in different individuals or at different times in the same individual. The faster onset of action compared to soluble human insulin is maintained regardless of injection site. As with all insulin preparations, the duration of action of Insulin lispro Sanofi is dependent on dose, site of injection, blood supply, temperature, and physical activity.

Insulin lispro Sanofi can be used in conjunction with a longer-acting insulin or oral sulphonylurea medicinal products, on the advice of a physician.

Insulin lispro Sanofi (insulin lispro 100 units/ml) and another insulin lispro medicinal product (200 units/ml) in a pre-filled pen

Insulin lispro in a pre-filled pen is available in two strengths. For both, the needed dose is dialled in units.

The number of units is shown in the dose window of the pen regardless of strength and no dose conversion should be done when transferring a patient to a new strength or to another insulin lispro

pre-filled pen with a different dose step.

Special populations

Renal impairment

Insulin requirements may be reduced in the presence of renal impairment.

Hepatic impairment

Insulin requirements may be reduced in patients with hepatic impairment due to reduced capacity for gluconeogenesis and reduced insulin breakdown; however, in patients with chronic hepatic impairment, an increase in insulin resistance may lead to increased insulin requirements.

Paediatric population

Insulin lispro Sanofi can be used in adolescents and children (see section 5.1).

Method of administration

Insulin lispro Sanofi solution for injection should be given by subcutaneous injection or by continuous subcutaneous infusion pump (see section 4.2) and may, although not recommended, also be given by intramuscular injection.

If necessary, Insulin lispro Sanofi may also be administered intravenously, for example; for the control of blood glucose levels during ketoacidosis, acute illnesses or during intra and post operative periods.

Insulin lispro Sanofi 100 units/ml solution for injection in a cartridge

Insulin lispro Sanofi 100 units/ml in cartridges is only suitable for subcutaneous injections from a reusable pen. If administration by syringe, intravenous injection or infusion pump is necessary, a vial should be used (see section 4.4). For further details on handling, see section 6.6.

Insulin lispro Sanofi 100 units/ml solution for injection in a pre-filled pen

Insulin lispro Sanofi 100 units/ml in pre-filled pen is only suitable for subcutaneous injections. If administration by syringe, intravenous injection or infusion pump is necessary, a vial should be used (see section 4.4).

Subcutaneous administration of Insulin lispro Sanofi

Subcutaneous administration should be in the upper arms, thighs, buttocks, or abdomen. Injection sites should always be rotated within the same region in order to reduce the risk of lipodystrophy and cutaneous amyloidosis (see section 4.4 and 4.8).

When administered subcutaneously care should be taken when injecting Insulin lispro Sanofi to ensure that a blood vessel has not been entered. After injection, the site of injection should not be massaged. Patients must be educated to use the proper injection techniques.

Use of Insulin lispro Sanofi in an insulin infusion pump

Insulin lispro Sanofi 100 units/ml solution for injection in vial

Only certain CE-marked insulin infusion pumps may be used to infuse insulin lispro. Before infusing insulin lispro, the manufacturer's instructions should be studied to ascertain the suitability or otherwise for the particular pump. Read and follow the instructions that accompany the infusion pump. Use the correct reservoir and catheter for the pump. The infusion set (tubing and cannula) should be changed in accordance with the instructions in the product information supplied with the infusion set. In the event of a hypoglycaemic episode, the infusion should be stopped until the episode is resolved. If repeated or severe low blood glucose levels occur, notify your health care professional and consider the need to reduce or stop your insulin infusion. A pump malfunction or obstruction of the infusion set can result in a rapid rise in glucose levels. If an interruption to insulin flow is suspected, follow the instructions in the product literature and if appropriate, notify your health care professional. When used with an insulin infusion pump, Insulin lispro Sanofi should not be mixed with any other insulin.

Intravenous administration of Insulin lispro Sanofi

Insulin lispro Sanofi 100 units/ml solution for injection in vial

Intravenous injection of insulin lispro should be carried out following normal clinical practice for intravenous injections, for example by an intravenous bolus or by an infusion system. Frequent monitoring of the blood glucose levels is required.

Infusion systems at concentrations from 0.1 units/ml to 1.0 units/ml insulin lispro in 0.9% sodium chloride or 5% dextrose are stable at room temperature for 48 hours. It is recommended that the system is primed before starting the infusion to the patient.

 

4.3 Contraindications

Hypersensitivity to insulin lispro or to any of the excipients listed in section 6.1.

Hypoglycaemia.

 

4.4 Special warnings and precautions for use

Traceability

In order to improve the traceability of biological medicinal products, the name and the batch number of the administered product should be clearly recorded.

Transferring a patient to another type or brand of insulin

Transferring a patient to another type or brand of insulin should be done under strict medical supervision. Changes in strength, brand (manufacturer), type (regular, NPH, lente, etc.), species (animal, human, human insulin analogue), and/or method of manufacture (recombinant DNA versus animal-source insulin) may result in the need for a change in dosage. For fast-acting insulins, any patient also on basal insulin must optimise dosage of both insulins to obtain glucose control across the whole day, particularly nocturnal/fasting glucose control.

Patients must be instructed to perform continuous rotation of the injection site to reduce the risk of developing lipodystrophy and cutaneous amyloidosis. There is a potential risk of delayed insulin absorption and worsened glycaemic control following insulin injections at sites with these reactions. A sudden change in the injection site to an unaffected area has been reported to result in hypoglycaemia. Blood glucose monitoring is recommended after the change in the injection site, and dose adjustment of antidiabetic medications may be considered.

Hypoglycaemia or hyperglycaemia

Conditions which may make the early warning symptoms of hypoglycaemia different or less pronounced include long duration of diabetes, intensified insulin therapy, diabetic nerve disease or medications such as beta-blockers.

A few patients who have experienced hypoglycaemic reactions after transfer from animal-source insulin to human insulin have reported that the early warning symptoms of hypoglycaemia were less pronounced or different from those experienced with their previous insulin. Uncorrected hypoglycaemic or hyperglycaemic reactions can cause loss of consciousness, coma, or death.

The use of dosages which are inadequate or discontinuation of treatment, especially in insulin-dependent diabetics, may lead to hyperglycaemia and diabetic ketoacidosis; conditions which are potentially lethal.

Insulin requirements and dosage adjustment

Insulin requirements may be increased during illness or emotional disturbances.

Adjustment of dosage may also be necessary if patients undertake increased physical activity or change their usual diet. Exercise taken immediately after a meal may increase the risk of hypoglycaemia. A consequence of the pharmacodynamics of rapid-acting insulin analogues is that if hypoglycaemia occurs, it may occur earlier after an injection when compared with soluble human insulin.

Combination of Insulin lispro Sanofi with pioglitazone

Cases of cardiac failure have been reported when pioglitazone was used in combination with insulin, especially in patients with risk factors for development of cardiac heart failure. This should be kept in mind, if treatment with the combination of pioglitazone and Insulin lispro Sanofi is considered. If the combination is used, patients should be observed for signs and symptoms of heart failure, weight gain and oedema. Pioglitazone should be discontinued, if any deterioration in cardiac symptoms occurs.

Avoidance of medication errors when using Insulin lispro Sanofi

Patients must be instructed to always check the insulin label before each injection to avoid accidental mix-ups between Insulin lispro Sanofi and other insulin products.

Insulin lispro Sanofi 100 units/mL solution in a pre-filled pen

Patients must visually verify the dialled units on the dose counter of the pen. Therefore, the requirement for patients to self-inject is that they can read the dose counter on the pen. Patients who are blind or have poor vision must be instructed to always get help/assistance from another person who has good vision and is trained in using the insulin device.

Instructions for use and handling

Insulin lispro Sanofi 100 units/ml solution for injection in vial

The shorter-acting Insulin lispro Sanofi should be drawn into the syringe first, to prevent contamination of the vial by the longer-acting insulin. Mixing of the insulins ahead of time or just before the injection should be on advice of the physician. However, a consistent routine must be followed.

For further details on handling, see section 6.6.

Insulin lispro Sanofi 100 units/ml solution for injection in cartridge

Insulin lispro Sanofi 100 units/ml in cartridges is only suitable for subcutaneous injections from a reusable pen. If administration by syringe, intravenous injection or infusion pump is necessary, a vial should be used.

The Insulin lispro Sanofi cartridges should only be used with the following pens:

- JuniorSTAR which delivers Insulin lispro Sanofi in 0.5 unit dose increments

- Tactipen, AllStar and AllStar PRO which all deliver Insulin lispro Sanofi in 1 unit dose increments.

These cartridges should not be used with any other reusable pen as the dosing accuracy has only been established with the listed pens (see section 4.2 and 6.6).

Not all of these pens may be marketed in each country.

To prevent the possible transmission of disease, each cartridge must be used by one patient only, even if the needle on the delivery device is changed.

Insulin lispro Sanofi 100 units/ml solution for injection in a pre-filled pen

Insulin lispro Sanofi 100 units/ml in a pre-filled pen is only suitable for subcutaneous injections. If administration by syringe, intravenous injection or infusion pump is necessary, a vial should be used. To prevent the possible transmission of disease, each pen must be used by one patient only, even if the needle is changed.

Excipients

This medicinal product contains less than 1 mmol sodium (23 mg) per dose, i.e., essentially “sodium-free”.

 

4.5 Interaction with other medicinal products and other forms of interaction

Insulin requirements may be increased by medicinal products with hyperglycaemic activity, such as oral contraceptives, corticosteroids, or thyroid replacement therapy, danazol, beta2 stimulants (such as ritodrine, salbutamol, terbutaline).

Insulin requirements may be reduced in the presence of medicinal products with hypoglycaemic activity, such as oral hypoglycaemics, salicylates (for example, acetylsalicylic acid), sulpha antibiotics, certain antidepressants (monoamine oxidase inhibitors, selective serotonin reuptake inhibitors), certain angiotensin converting enzyme inhibitors (captopril, enalapril), angiotensin II receptor blockers, beta-blockers, octreotide or alcohol.

The physician should be consulted when using other medicinal products in addition to Insulin lispro Sanofi (see section 4.4).

 

4.6 Fertility, pregnancy and lactation

Pregnancy

Data on a large number of exposed pregnancies do not indicate any adverse effect of insulin lispro on pregnancy or on the health of the foetus/newborn.

It is essential to maintain good control of the insulin-treated (insulin-dependent or gestational diabetes) patient throughout pregnancy. Insulin requirements usually fall during the first trimester and increase during the second and third trimesters. Patients with diabetes should be advised to inform their doctor if they are pregnant or are contemplating pregnancy. Careful monitoring of glucose control, as well as general health, is essential in pregnant patients with diabetes.

Breast-feeding

Patients with diabetes who are breast-feeding may require adjustments in insulin dose, diet or both.

Fertility

Insulin lispro did not induce fertility impairment in animal studies (see section 5.3).

 

4.7 Effects on ability to drive and use machines

The patient's ability to concentrate and react may be impaired as a result of hypoglycaemia. This may constitute a risk in situations where these abilities are of special importance (e.g. driving a car or using machines).

Patients should be advised to take precautions to avoid hypoglycaemia whilst driving, this is particularly important in those who have reduced or absent awareness of the warning signs of hypoglycaemia or have frequent episodes of hypoglycaemia. The advisability of driving should be considered in these circumstances.

 

4.8 Undesirable effects

Summary of the safety profile

Hypoglycaemia is the most frequent adverse reaction of insulin therapy that a patient with diabetes may suffer. Severe hypoglycaemia may lead to loss of consciousness, and in extreme cases, death. No specific frequency for hypoglycaemia is presented, since hypoglycaemia is a result of both the insulin dose and other factors e.g. a patient`s level of diet and exercise.

Tabulated list of adverse reactions

The following related adverse reactions from clinical investigations are listed below by system organ class and in order of decreasing incidence (very common: ≥1/10; common: ≥1/100 to <1/10; uncommon: ≥1/1,000 to <1/100; rare: ≥1/10,000 to <1/1,000; very rare: <1/10,000) and not known (cannot be estimated from the available data).

Within each frequency grouping, adverse reactions are presented in order of decreasing seriousness.

MedDRA system organ classes

Common

Uncommon

Rare

Not known

Immune system disorders

Local allergy

X

Systemic allergy

X

Skin and subcutaneous tissue disorders

Lipodystrophy

X

Cutaneous amyloidosis

X

Description of selected adverse reactions

Local allergy

Local allergy in patients is common. Redness, swelling, and itching can occur at the site of insulin injection. This condition usually resolves in a few days to a few weeks. In some instances, this condition may be related to factors other than insulin, such as irritants in the skin cleansing agent or poor injection technique.

Systemic allergy

Systemic allergy, which is rare but potentially more serious, is a generalised allergy to insulin. It may cause a rash over the whole body, shortness of breath, wheezing, reduction in blood pressure, fast pulse, or sweating. Severe cases of generalised allergy may be life-threatening.

Skin and subcutaneous tissue disorders

Lipodystrophy and cutaneous amyloidosis may occur at the injection site and delay local insulin absorption. Continuous rotation of the injection site within the given injection area may help to reduce or prevent these reactions (see section 4.4).

Oedema

Cases of oedema have been reported with insulin therapy, particularly if previous poor metabolic control is improved by intensified insulin therapy.

Reporting of suspected adverse reactions

Reporting suspected adverse reactions after authorisation of the medicinal product is important. It allows continued monitoring of the benefit/risk balance of the medicinal product. Healthcare professionals are asked to report any suspected adverse reactions via Yellow Card Scheme at: www.mhra.gov.uk/yellowcard or search for MHRA Yellow Card in the Google Play or Apple App Store.

 

4.9 Overdose

Insulins have no specific overdose definitions because serum glucose concentrations are a result of complex interactions between insulin levels, glucose availability and other metabolic processes. Hypoglycaemia may occur as a result of an excess of insulin activity relative to food intake and energy expenditure.

Hypoglycaemia may be associated with listlessness, confusion, palpitations, headache, sweating and vomiting.

Mild hypoglycaemic episodes will respond to oral administration of glucose or other sugar or saccharated products.

Correction of moderately severe hypoglycaemia can be accomplished by intramuscular or subcutaneous administration of glucagon, followed by oral carbohydrate when the patient recovers sufficiently. Patients who fail to respond to glucagon must be given glucose solution intravenously.

If the patient is comatose, glucagon should be administered intramuscularly or subcutaneously. However, glucose solution must be given intravenously if glucagon is not available or if the patient fails to respond to glucagon. The patient should be given a meal as soon as consciousness is recovered.

Sustained carbohydrate intake and observation may be necessary because hypoglycaemia may recur after apparent clinical recovery.

 

5. Pharmacological properties

5.1 Pharmacodynamic properties

Pharmacotherapeutic group: Drugs used in diabetes, insulins and analogues for injection, fast-acting,

ATC code: A10AB04

Insulin lispro Sanofi is a biosimilar medicinal product. Detailed information is available on the website of the European Medicines Agency http://www.ema.europa.eu

The primary activity of insulin lispro is the regulation of glucose metabolism.

In addition, insulins have several anabolic and anti-catabolic actions on a variety of different tissues. Within muscle tissue this includes increasing glycogen, fatty acid, glycerol and protein synthesis and amino acid uptake, while decreasing glycogenolysis, gluconeogenesis, ketogenesis, lipolysis, protein catabolism and amino acid output.

Insulin lispro has a rapid onset of action (approximately 15 minutes), thus allowing it to be given closer to a meal (within zero to 15 minutes of the meal) when compared to regular insulin (30 to 45 minutes before). Insulin lispro takes effect rapidly and has a shorter duration of activity (2 to 5 hours) when compared to regular insulin.

Clinical trials in patients with type 1 and type 2 diabetes have demonstrated reduced postprandial hyperglycaemia with insulin lispro compared to soluble human insulin.

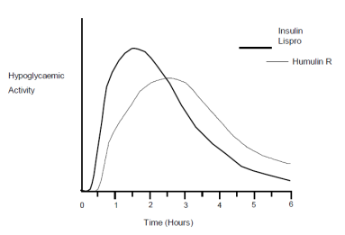
As with all insulin preparations, the time course of insulin lispro action may vary in different individuals or at different times in the same individual and is dependent on dose, site of injection, blood supply, temperature and physical activity. The typical activity profile following subcutaneous injection is illustrated below.

The above representation reflects the relative amount of glucose over time required to maintain the subject's whole blood glucose concentrations near fasting levels and is an indicator of the effect of these insulins on glucose metabolism over time.

Clinical trials have been performed in children (61 patients aged 2 to 11) and children and adolescents (481 patients aged 9 to 19 years), comparing insulin lispro to human soluble insulin. The pharmacodynamic profile of insulin lispro in children is similar to that seen in adults.

When used in subcutaneous infusion pumps, treatment with insulin lispro has been shown to result in lower glycosylated haemoglobin levels compared to soluble insulin. In a double-blind, crossover study, the reduction in glycosylated haemoglobin levels after 12 weeks dosing was 0.37 percentage points with insulin lispro, compared to 0.03 percentage points for soluble insulin (p = 0.004).

In patients with type 2 diabetes on maximum doses of sulphonyl urea agents, studies have shown that the addition of insulin lispro significantly reduces HbA1c compared to sulphonyl urea alone. The reduction of HbA1c would also be expected with other insulin products e.g. soluble or isophane insulins.

Clinical trials in patients with type 1 and type 2 diabetes have demonstrated a reduced number of episodes of nocturnal hypoglycaemia with insulin lispro compared to soluble human insulin. In some studies, reduction of nocturnal hypoglycaemia was associated with increased episodes of daytime hypoglycaemia.

The glucodynamic response to insulin lispro is not affected by renal or hepatic function impairment. Glucodynamic differences between insulin lispro and soluble human insulin, as measured during a glucose clamp procedure, were maintained over a wide range of renal function.

Insulin lispro has been shown to be equipotent to human insulin on a molar basis but its effect is more rapid and of a shorter duration.

 

5.2 Pharmacokinetic properties

The pharmacokinetics of insulin lispro reflect a compound that is rapidly absorbed, and achieves peak blood levels 30 to 70 minutes following subcutaneous injection. When considering the clinical relevance of these kinetics, it is more appropriate to examine the glucose utilisation curves (as discussed in section 5.1).

Insulin lispro maintains more rapid absorption when compared to soluble human insulin in patients with renal impairment. In patients with type 2 diabetes over a wide range of renal function the pharmacokinetic differences between insulin lispro and soluble human insulin were generally maintained and shown to be independent of renal function. Insulin lispro maintains more rapid absorption and elimination when compared to soluble human insulin in patients with hepatic impairment.

 

5.3 Preclinical safety data

In in vitro tests, including binding to insulin receptor sites and effects on growing cells, insulin lispro behaved in a manner that closely resembled human insulin. Studies also demonstrate that the dissociation of binding to the insulin receptor of insulin lispro is equivalent to human insulin. Acute, one month and twelve month toxicology studies produced no significant toxicity findings.

Insulin lispro did not induce fertility impairment, embryotoxicity or teratogenicity in animal studies.

 

6. Pharmaceutical particulars

6.1 List of excipients

Metacresol

Glycerol

Disodium hydrogen phosphate heptahydrate

Zinc oxide

Water for injections

Hydrochloric acid (for pH adjustment)

Sodium hydroxide(for pH adjustment).

 

6.2 Incompatibilities

The medicinal product should not be mixed with insulins produced by other manufacturers or with animal insulin preparations.

Insulin lispro Sanofi 100 units/ml solution for injection in vial

This medicinal product must not be mixed with other medicinal products except those mentioned in section 6.6.

 

6.3 Shelf life

Before first use

3 years.

After first use

Dispose of after 4 weeks.

 

6.4 Special precautions for storage

Insulin lispro Sanofi 100 units/ml solution for injection in vial

Store in a refrigerator (2°C - 8°C). Do not freeze.

Keep the vial in the outer carton in order to protect from light.

After first use

Store below 30°C. Do not refrigerate.

Keep the vial in the outer carton in order to protect from light.

Insulin lispro Sanofi 100 units/ml solution for injection in cartridge

Store in a refrigerator (2°C - 8°C). Do not freeze.

Keep the cartridge in the outer carton in order to protect from light.

After first use

Store below 30°C and protect from direct heat and light. Do not refrigerate.

The pen with the inserted cartridge should not be stored with the needle attached.

Insulin lispro Sanofi 100 units/ml solution for injection in a pre-filled pen

Store in a refrigerator (2°C - 8°C). Do not freeze.

Keep the pre-filled pen in the outer carton in order to protect from light.

After first use

Store below 30°C. Do not refrigerate.

The pre-filled pen should not be stored with the needle attached.

The pen cap must be put back on the pen after each injection in order to protect from light.

 

6.5 Nature and contents of container

Insulin lispro Sanofi 100 units/ml solution for injection in vial

Type I colourless glass vial with a flanged cap (aluminium) with a sealing disk (chlorobutyl rubber) and a tear-off cap (polypropylene) containing 10 ml of solution.

Pack sizes: 1 or 5 vials.

Not all packs sizes may be marketed.

Insulin lispro Sanofi 100 units/ml solution for injection in cartridge

Type 1 colourless glass cartridge with a black plunger (bromobutyl rubber) and a flanged cap (aluminium) with a sealing disk (laminate of isoprene and bromobutyl rubber). Each cartridge contains 3 ml of solution.

Pack sizes: 5 or 10 cartridges

Not all packs sizes may be marketed.

Insulin lispro Sanofi 100 units/ml solution for injection in a pre-filled pen

Type 1 colourless glass cartridge with a black plunger (bromobutyl rubber) and a flanged cap (aluminium) with a sealing disk (laminate of isoprene and bromobutyl rubber) sealed in a disposable pen injector (SoloStar). Each pre-filled pen contains 3 ml of solution.

Pack sizes: 1, 3, 5 or 10 pre-filled pens.

Not all pack sizes may be marketed.

Needles are not included in the pack.

 

6.6 Special precautions for disposal and other handling

Any unused product or waste material should be disposed of in accordance with local requirements.

Insulin lispro Sanofi 100 units/ml solution for injection in vial

Instructions for use and handling

The vial is to be used in conjunction with an appropriate syringe (100 units markings).

Preparing a dose

Inspect the Insulin lispro Sanofi solution. It should be clear and colourless. Do not use the medicinal product if it appears cloudy, thickened, or slightly coloured or if solid particles are visible.

If the therapeutic regimen requires the injection of basal insulin and Insulin lispro Sanofi at the same time, the two can be mixed in the syringe. If mixing insulins, see section “Mixing Insulin lispro Sanofi with longer-acting human insulins” below and section 6.2.

1. Wash your hands.

2. If using a new vial, flip off the plastic protective cap, but do not remove the stopper.

3. Draw air into the syringe equal to the prescribed Insulin lispro Sanofi dose. Wipe the top of the vial with an alcohol swab. Put the needle through the rubber top of the Insulin lispro Sanofi vial and inject the air into the vial.

4. Turn the vial and syringe upside down. Hold the vial and syringe firmly in one hand.

5. Making sure the tip of the needle is in the Insulin lispro Sanofi, withdraw the correct dose into the syringe.

6. Before removing the needle from the vial, check the syringe for air bubbles that reduce the amount of Insulin lispro Sanofi in it. If bubbles are present, hold the syringe straight up and tap its side until the bubbles float to the top. Push them out with the plunger and withdraw the correct dose.

7. Remove the needle from the vial and lay the syringe down so that the needle does not touch anything.

Mixing Insulin lispro Sanofi with longer-acting human insulins (see section 6.2)

1. Insulin lispro Sanofi should be mixed with longer-acting human insulins only on the advice of a doctor. Insulin in vials must not be mixed with insulin in cartridges.

2. Draw air into the syringe equal to the amount of longer-acting insulin being taken. Insert the needle into the longer-acting insulin vial and inject the air. Withdraw the needle.

3. Now inject air into the Insulin lispro Sanofi vial in the same manner, but do not withdraw the needle.

4. Turn the vial and syringe upside down.

5. Making sure the tip of the needle is in the Insulin lispro Sanofi; withdraw the correct dose of Insulin lispro Sanofi into the syringe.

6. Before removing the needle from the vial, check the syringe for air bubbles that reduce the amount of Insulin lispro Sanofi in it. If bubbles are present, hold the syringe straight up and tap its side until the bubbles float to the top. Push them out with the plunger and withdraw the correct dose.

7. Remove the needle from the vial of Insulin lispro Sanofi and insert it into the vial of the longer-acting insulin. Turn the vial and syringe upside down. Hold the vial and syringe firmly in one hand and shake gently. Making sure the tip of the needle is in the insulin, withdraw the dose of longer-acting insulin.

8. Withdraw the needle and lay the syringe down so that the needle does not touch anything.

Injecting a dose

1. Choose a site for injection.

2. Clean the skin as instructed.

3. Stabilise the skin by spreading it or pinching up a large area. Insert the needle and inject as instructed.

4. Pull the needle out and apply gentle pressure over the injection site for several seconds. Do not rub the area.

5. Dispose of the syringe and needle safely.

6. Use of the injection sites should be rotated so that the same is not used more than approximately once a month.

Insulin lispro Sanofi 100 units/ml solution for injection in cartridge

Instructions for use and handling

Insulin lispro Sanofi 100 units/ml in a cartridge is only suitable for subcutaneous injections from a reusable pen. If administration by syringe, intravenous injection or infusion pump is necessary, a vial should be used. To prevent the possible transmission of disease, each cartridge must be used by one patient only, even if the needle on the delivery device is changed.

Insulin lispro Sanofi cartridges are to be used with JuniorSTAR, Tactipen, AllStar or AllStar PRO pens as recommended in the user manual (see section 4.2 and 4.4).

Preparing a dose

Inspect the Insulin lispro Sanofi solution. It should be clear and colourless. Do not use the medicinal product if it appears cloudy, thickened, or slightly coloured or if solid particles are visible.

The following is a general description. The manufacturer's instructions with each individual pen must be followed for loading the cartridge, attaching the needle and administering the insulin injection

Injecting a dose

1. Wash your hands.

2. Choose a site for injection.

3. Clean the skin as instructed.

4. Remove outer needle cap.

5. Stabilise the skin by spreading it or pinching up a large area. Insert the needle as instructed.

6. Press the knob.

7. Pull the needle out and apply gentle pressure over the injection site for several seconds. Do not rub the area.

8. Using the outer needle cap, unscrew the needle and dispose of it safely.

9. Use of injection sites should be rotated so that the same site is not used more than approximately once a month.

Insulin lispro Sanofi 100 units/ml solution for injection in a pre-filled pen (SoloStar)

Instructions for use and handling

Insulin lispro Sanofi 100 units/ml in a pre-filled pen is only suitable for subcutaneous injections. If administration by syringe, intravenous injection or infusion pump is necessary, a vial should be used. To prevent the possible transmission of disease, each pen must be used by one patient only, even if the needle is changed.

Inspect the Insulin lispro Sanofi solution. It should be clear and colourless. Do not use it if it appears cloudy, thickened, or slightly coloured or if solid particles are visible.

Before using the pre-filled pen, the user manual included in the package leaflet must be read carefully. The pre-filled pen has to be used as recommended in the user manual.

 

7. Marketing authorisation holder

sanofi-aventis groupe

54 rue La Boétie

F - 75008 Paris

France

 

8. Marketing authorisation number

EU/1/17/1203/001-008

 

9. Date of first authorisation/renewal of the authorisation

Date of first authorisation: 19 july 2017

 

10. Date of revision of the text

10 August 2020

Detailed information on this medicinal product is available on the website of the European Medicines Agency http://www.ema.europa.eu.